Experimental Investigation of the Dynamic Tensile Properties of Naturally Saturated Rocks Using the Coupled Static–Dynamic Flattened Brazilian Disc Method
Abstract
:1. Introduction
2. Methodology
2.1. Testing Apparatus
2.2. The Coupled Static–Dynamic FBD Test Method
2.3. Specimen Preparation and Test Scheme
3. Experimental Results
3.1. Dynamic Force Equilibrium
3.2. Central Crack Initiation
3.3. Influence of Loading Rate on the Dynamic Tensile Strength
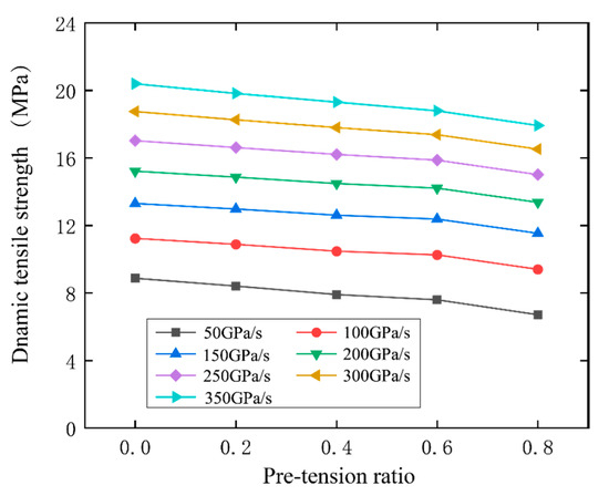
3.4. Influence of Pre-Tension on the Dynamic Tensile Strength
4. Discussion
4.1. Comparison of the Dynamic Tensile Strength between Natural and Naturally Saturated Sandstone
4.2. Micromechanism of Dynamic Tensile Strength Reduction Induced by Water Effects
5. Conclusions
Author Contributions
Funding
Data Availability Statement
Acknowledgments
Conflicts of Interest
References
- Xiao, P.; Zheng, J.; Dou, B.; Tian, H.; Cui, G.; Kashif, M. Mechanical behaviors of granite after thermal shock with different cooling rates. Energies 2021, 14, 3721. [Google Scholar] [CrossRef]
- Du, H.; Dai, F.; Xu, Y.; Yan, Z.; Wei, M. Mechanical Responses and failure mechanism of hydrostatically pressurized rocks under combined compression-shear impacting. Int. J. Mech. Sci. 2020, 165, 105219. [Google Scholar] [CrossRef]
- Xiong, F.; Zhu, C.; Jiang, Q. A novel procedure for coupled simulation of thermal and fluid flow models for rough-walled rock fractures. Energies 2021, 14, 951. [Google Scholar] [CrossRef]
- Liu, Y.; Dai, F.; Fan, P.; Xu, N.; Dong, L. Experimental investigation of the influence of joint geometric configurations on the mechanical properties of intermittent jointed rock models under cyclic uniaxial compression. Rock Mech. Rock Eng. 2017, 50, 1453–1471. [Google Scholar] [CrossRef]
- Wong, L.N.Y.; Maruvanchery, V.; Liu, G. Water effects on rock strength and stiffness degradation. Acta Geotech. 2016, 11, 713–737. [Google Scholar] [CrossRef]
- Jiang, R.; Dai, F.; Liu, Y.; Li, A. Fast marching method for microseismic source location in cavern-containing rockmass: Performance analysis and engineering application. Engineering 2021, 7, 1023–1034. [Google Scholar] [CrossRef]
- Feng, P.; Dai, F.; Liu, Y.; Xu, N.; Du, H. Coupled effects of static-dynamic strain rates on the mechanical and fracturing behaviors of rock-like specimens containing two unparallel fissures. Eng. Fract. Mech. 2019, 207, 237–253. [Google Scholar] [CrossRef]
- Liu, Y.; Dai, F. A damage constitutive model for intermittent jointed rocks under cyclic uniaxial compression. Int. J. Rock Mech. Min. 2018, 103, 289–301. [Google Scholar] [CrossRef]
- Liu, Y.; Dai, F.; Feng, P.; Xu, N. Mechanical behavior of intermittent jointed rocks under random cyclic compression with different loading parameters. Soil Dyn. Earthq. Eng. 2018, 113, 12–24. [Google Scholar] [CrossRef]
- Dang, W.; Wu, W.; Konietzky, H.; Qian, J. Effect of shear-induced aperture evolution on fluid flow in rock fractures. Comput. Geotech. 2019, 114, 103152. [Google Scholar] [CrossRef]
- Zhao, Z.; Yang, J.; Zhang, D.; Peng, H. Effects of wetting and cyclic wetting–drying on tensile strength of sandstone with a low clay mineral content. Rock Mech. Rock Eng. 2017, 50, 485–491. [Google Scholar] [CrossRef]
- Zhao, Z.; Yang, J.; Zhou, D.; Chen, Y. Experimental investigation on the wetting-induced weakening of sandstone joints. Eng. Geol. 2017, 225, 61–67. [Google Scholar] [CrossRef]
- Koudelka, P.; Fila, T.; Rada, V.; Zlamal, P.; Sleichrt, J.; Vopalensky, M.; Kumpova, I.; Benes, P.; Vavrik, D.; Vavro, L.; et al. In-situ X-ray differential micro-tomography for investigation of water-weakening in quasi-brittle materials subjected to four-point bending. Materials 2020, 13, 1405. [Google Scholar] [CrossRef] [PubMed] [Green Version]
- Liu, Y.; Dai, F.; Dong, L.; Xu, N.; Feng, P. Experimental investigation on the fatigue mechanical properties of intermittently jointed rock models under cyclic uniaxial compression with different loading parameters. Rock Mech. Rock Eng. 2018, 51, 47–68. [Google Scholar] [CrossRef]
- Wei, M.; Dai, F.; Xu, N.; Zhao, T. Stress intensity factors and fracture process zones of ISRM-suggested chevron notched specimens for mode I fracture toughness testing of rocks. Eng. Fract. Mech. 2016, 168, 174–189. [Google Scholar] [CrossRef]
- Guo, R.; Ren, H.; Zhang, L.; Long, Z.; Jiang, X.; Wu, X.; Wang, H. Direct dynamic tensile study of concrete materials based on mesoscale model. Int. J. Impact Eng. 2020, 143, 103598. [Google Scholar] [CrossRef]
- Li, D.; Wong, L.N.Y. The Brazilian disc test for rock mechanics applications: Review and new insights. Rock Mech. Rock Eng. 2013, 46, 269–287. [Google Scholar] [CrossRef]
- Imani, M.; Nejati, H.R.; Goshtasbi, K. Dynamic response and failure mechanism of Brazilian disk specimens at high strain rate. Soil Dyn. Earthq. Eng. 2017, 100, 261–269. [Google Scholar] [CrossRef]
- Zhao, S.; Zhang, Q.; Lesiuk, G. Dynamic crack propagation and fracture behavior of pre-cracked specimens under impact loading by split Hopkinson pressure bar. Adv. Mater. Sci. Eng. 2019, 2019, 1–11. [Google Scholar] [CrossRef] [Green Version]
- Yan, Z.; Dai, F.; Liu, Y.; Wei, M.; You, W. New insights into the fracture mechanism of flattened Brazilian disc specimen using digital image correlation. Eng. Fract. Mech. 2021, 252, 107810. [Google Scholar] [CrossRef]
- Liu, Y.; Dai, F.; Xu, N.; Zhao, T. Cyclic flattened Brazilian disc tests for measuring the tensile fatigue properties of brittle rocks. Rev. Sci. Instrum. 2017, 88, 083902. [Google Scholar] [CrossRef] [PubMed]
- Shi, X.; Liu, D.A.; Yao, W.; Shi, Y.; Tang, T.; Wang, B.; Han, W. Investigation of the anisotropy of black shale in dynamic tensile strength. Arab. J. Geosci. 2018, 11, 1–11. [Google Scholar] [CrossRef]
- Suggested ISRM. Method for determining tensile strength of rock material. Int. J. Rock Mech. Min. Sci. Geomech. Abstr. 1978, 15, 99–103. [Google Scholar] [CrossRef]
- Swab, J.J.; Yu, J.; Gamble, R.; Kilczewski, S. Analysis of the diametral compression method for determining the tensile strength of transparent magnesium aluminate spinel. Int. J. Fract. 2011, 172, 187–192. [Google Scholar] [CrossRef]
- Wong, L.N.Y.; Zou, C.; Cheng, Y. Fracturing and failure behavior of Carrara marble in quasi-static and dynamic Brazilian disc tests. Rock Mech. Rock Eng. 2014, 47, 1117–1133. [Google Scholar] [CrossRef]
- Wang, Q.; Jia, X.; Kou, S.; Zhang, Z.; Lindqvist, P.A. The flattened Brazilian disc specimen used for testing elastic modulus, tensile strength and fracture toughness of brittle rocks: Analytical and numerical results. Int. J. Rock Mech. Min. 2004, 41, 245–253. [Google Scholar] [CrossRef]
- Wang, Q.; Li, W.; Song, X. A method for testing dynamic tensile strength and elastic modulus of rock materials using SHPB. Pure Appl. Geophys. 2006, 163, 1091–1100. [Google Scholar] [CrossRef]
- Chen, R.; Dai, F.; Qin, J.; Lu, F. Flattened Brazilian disc method for determining the dynamic tensile stress-strain curve of low strength brittle solids. Exp. Mech. 2016, 53, 1153–1159. [Google Scholar] [CrossRef]
- Liu, Y.; Dai, F.; Xu, N.; Zhao, T.; Feng, P. Experimental and numerical investigation on the tensile fatigue properties of rocks using the cyclic flattened Brazilian disc method. Soil Dyn. Earthq. Eng. 2018, 105, 68–82. [Google Scholar] [CrossRef]
- Zhou, Z.; Li, X.; Zou, Y.; Jiang, Y.; Li, G. Dynamic Brazilian tests of granite under coupled static and dynamic loads. Rock Mech. Rock Eng. 2014, 47, 495–505. [Google Scholar] [CrossRef]
- Wu, B.; Chen, R.; Xia, K. Dynamic tensile failure of rocks under static pre-tension. Int. J. Rock Mech. Min. 2015, 80, 12–18. [Google Scholar] [CrossRef]
- Pei, P.; Dai, F.; Liu, Y.; Wei, M. Dynamic tensile behavior of rocks under static pre-tension using the flattened Brazilian disc method. Int. J. Rock Mech. Min. 2020, 126, 104208. [Google Scholar] [CrossRef]
- Liu, Y.; Dai, F. A review of experimental and theoretical research on the deformation and failure behavior of rocks under cyclic loads. J. Rock Mech. Geotech. Eng. 2021. [Google Scholar] [CrossRef]
- Zhao, Z.; Guo, T.; Ning, Z.; Dou, Z.; Dai, F.; Yang, Q. Numerical modeling of stability of fractured reservoir bank slopes subjected to water-rock interactions. Rock Mech. Rock Eng. 2018, 51, 2517–2531. [Google Scholar] [CrossRef]
- Du, H.; Dai, F.; Liu, Y.; Xu, Y.; Wei, M. Dynamic response and failure mechanism of hydrostatically pressurized rocks subjected to high loading rate impacting. Soil Dyn. Earthq. Eng. 2020, 129, 105927. [Google Scholar] [CrossRef]
- Yan, Z.; Dai, F.; Liu, Y.; Du, H.; Luo, J. Dynamic strength and cracking behaviors of single-flawed rock subjected to coupled static–dynamic compression. Rock Mech. Rock Eng. 2020, 53, 4289–4298. [Google Scholar] [CrossRef]
- Zhou, X.; Wang, Y.; Zhang, J.; Liu, F. Fracturing behavior study of three-flawed specimens by uniaxial compression and 3D digital image correlation: Sensitivity to brittleness. Rock Mech. Rock Eng. 2019, 52, 691–718. [Google Scholar] [CrossRef]
- Guo, J.; Feng, G.; Qi, T.; Wang, P.; Yang, J.; Li, Z.; Bai, J.; Du, X.; Wang, Z. Dynamic mechanical behavior of dry and water saturated igneous rock with acoustic emission monitoring. Shock. Vib. 2018, 2018, 2348394. [Google Scholar] [CrossRef] [Green Version]
- Kahraman, S. The correlations between the saturated and dry P-wave velocity of rocks. Ultrasonics 2007, 46, 341–348. [Google Scholar] [CrossRef]
- Wang, S.; Li, H.; Wang, W.; Li, D.; Yang, W. Experimental study on strength, acoustic emission, and energy dissipation of coal under naturally and forcedly saturated conditions. Adv. Civ. Eng. 2018, 2018, 1049802. [Google Scholar] [CrossRef]
- Dai, F.; Xia, K. Loading Rate Dependence of tensile strength anisotropy of barre granite. Pure Appl. Geophys. 2010, 167, 1419–1432. [Google Scholar] [CrossRef]
- Zhou, Z.; Cai, X.; Ma, D.; Chen, L.; Wang, S.; Tan, L. Dynamic tensile properties of sandstone subjected to wetting and drying cycles. Constr. Build. Mater. 2018, 182, 215–232. [Google Scholar] [CrossRef]
- Wang, Y.; Zhou, X.; Kou, M. Three-dimensional numerical study on the failure characteristics of intermittent fissures under compressive-shear loads. Acta Geotech. 2019, 14, 1161–1193. [Google Scholar] [CrossRef]
- Rossi, P. A physical phenomenon which can explain the mechanical behavior of concrete under high strain rates. Mater. Struct. 1991, 24, 422–424. [Google Scholar] [CrossRef]
- Zheng, D.; Li, Q. An explanation for rate effect of concrete strength based on fracture toughness including free water viscosity. Eng. Fract. Mech. 2004, 71, 2319–2327. [Google Scholar] [CrossRef]











| Specimen No. | Peak Force (KN) | Tensile Strength (MPa) |
|---|---|---|
| S-1 | 35.41 | 5.62 |
| S-2 | 34.01 | 5.40 |
| S-3 | 36.49 | 5.79 |
| S-4 | 33.54 | 5.32 |
| S-5 | 35.05 | 5.56 |
| Average | 34.9 | 5.5 |
| Pre-Tension Ratio | Specimen No. | Loading Rate (GPa/s) | Dynamic Tensile Strength (MPa) |
|---|---|---|---|
| 0.0 | SA-1 | 56.57 | 8.45 |
| SA-2 | 73.93 | 10.83 | |
| SA-3 | 95.23 | 11.59 | |
| SA-4 | 241.27 | 16.29 | |
| SA-5 | 138.96 | 13.67 | |
| SA-6 | 187.53 | 14.24 | |
| SA-7 | 210.43 | 15.73 | |
| SA-8 | 274.03 | 17.22 | |
| 0.2 | SB-1 | 54.97 | 7.90 |
| SB-2 | 81.80 | 11.14 | |
| SB-3 | 141.80 | 13.63 | |
| SB-4 | 202.47 | 15.51 | |
| SB-5 | 207.32 | 15.00 | |
| SB-6 | 249.47 | 16.52 | |
| SB-7 | 342.58 | 18.73 | |
| SB-8 | 318.16 | 17.95 | |
| 0.4 | SC-1 | 54.36 | 7.51 |
| SC-2 | 102.41 | 11.06 | |
| SC-3 | 154.50 | 13.53 | |
| SC-4 | 176.01 | 14.26 | |
| SC-5 | 128.61 | 12.72 | |
| SC-6 | 283.03 | 16.56 | |
| SC-7 | 330.01 | 17.47 | |
| SC-8 | 251.10 | 15.81 | |
| 0.6 | SD-1 | 54.02 | 7.05 |
| SD-2 | 67.31 | 9.44 | |
| SD-3 | 124.20 | 11.79 | |
| SD-4 | 208.41 | 14.37 | |
| SD-5 | 210.74 | 14.83 | |
| SD-6 | 177.22 | 14.13 | |
| SD-7 | 300.60 | 16.54 | |
| SD-8 | 258.68 | 15.61 | |
| 0.8 | SE-1 | 58.37 | 6.73 |
| SE-2 | 109.05 | 10.40 | |
| SE-3 | 157.40 | 12.56 | |
| SE-4 | 211.20 | 14.25 | |
| SE-5 | 226.02 | 14.46 | |
| SE-6 | 198.81 | 13.34 | |
| SE-7 | 333.09 | 16.31 | |
| SE-8 | 283.24 | 15.39 |
| Pre-Tension Ratio | Upper Limit of Rate Effect Difference (%) | Lower Limit of Rate Effect Difference (%) |
|---|---|---|
| 0.0 | 7.40 | 0.78 |
| 0.2 | 9.09 | 1.51 |
| 0.4 | 8.36 | 0.39 |
| 0.6 | 7.99 | 0.75 |
| 0.8 | 17.14 | 2.25 |
Publisher’s Note: MDPI stays neutral with regard to jurisdictional claims in published maps and institutional affiliations. |
© 2021 by the authors. Licensee MDPI, Basel, Switzerland. This article is an open access article distributed under the terms and conditions of the Creative Commons Attribution (CC BY) license (https://creativecommons.org/licenses/by/4.0/).
Share and Cite
Liu, X.; Dai, F.; Liu, Y.; Pei, P.; Yan, Z. Experimental Investigation of the Dynamic Tensile Properties of Naturally Saturated Rocks Using the Coupled Static–Dynamic Flattened Brazilian Disc Method. Energies 2021, 14, 4784. https://doi.org/10.3390/en14164784
Liu X, Dai F, Liu Y, Pei P, Yan Z. Experimental Investigation of the Dynamic Tensile Properties of Naturally Saturated Rocks Using the Coupled Static–Dynamic Flattened Brazilian Disc Method. Energies. 2021; 14(16):4784. https://doi.org/10.3390/en14164784
Chicago/Turabian StyleLiu, Xinying, Feng Dai, Yi Liu, Pengda Pei, and Zelin Yan. 2021. "Experimental Investigation of the Dynamic Tensile Properties of Naturally Saturated Rocks Using the Coupled Static–Dynamic Flattened Brazilian Disc Method" Energies 14, no. 16: 4784. https://doi.org/10.3390/en14164784
APA StyleLiu, X., Dai, F., Liu, Y., Pei, P., & Yan, Z. (2021). Experimental Investigation of the Dynamic Tensile Properties of Naturally Saturated Rocks Using the Coupled Static–Dynamic Flattened Brazilian Disc Method. Energies, 14(16), 4784. https://doi.org/10.3390/en14164784
