The Effect of Pure Oxygenated Biofuels on Efficiency and Emissions in a Gasoline Optimised DISI Engine
Abstract
1. Introduction
2. Materials and Methods
2.1. Experimental Setup
Test Fuels
2.2. Methodology
2.3. Data Acquisition and Analysis
2.3.1. Calculation of Engine Efficiency and Engine Performance Parameters
2.3.2. Heat Release Analysis and Estimation of Combustion Phasing and Duration
2.3.3. Energy Balance Calculation
2.3.4. Estimation of Laminar Flame Speed
3. Results and Analysis
3.1. Speed Sweeps at Low and Mid Load Conditions
3.1.1. Engine Efficiency and Engine Performance
3.1.2. Combustion Phasing and Duration
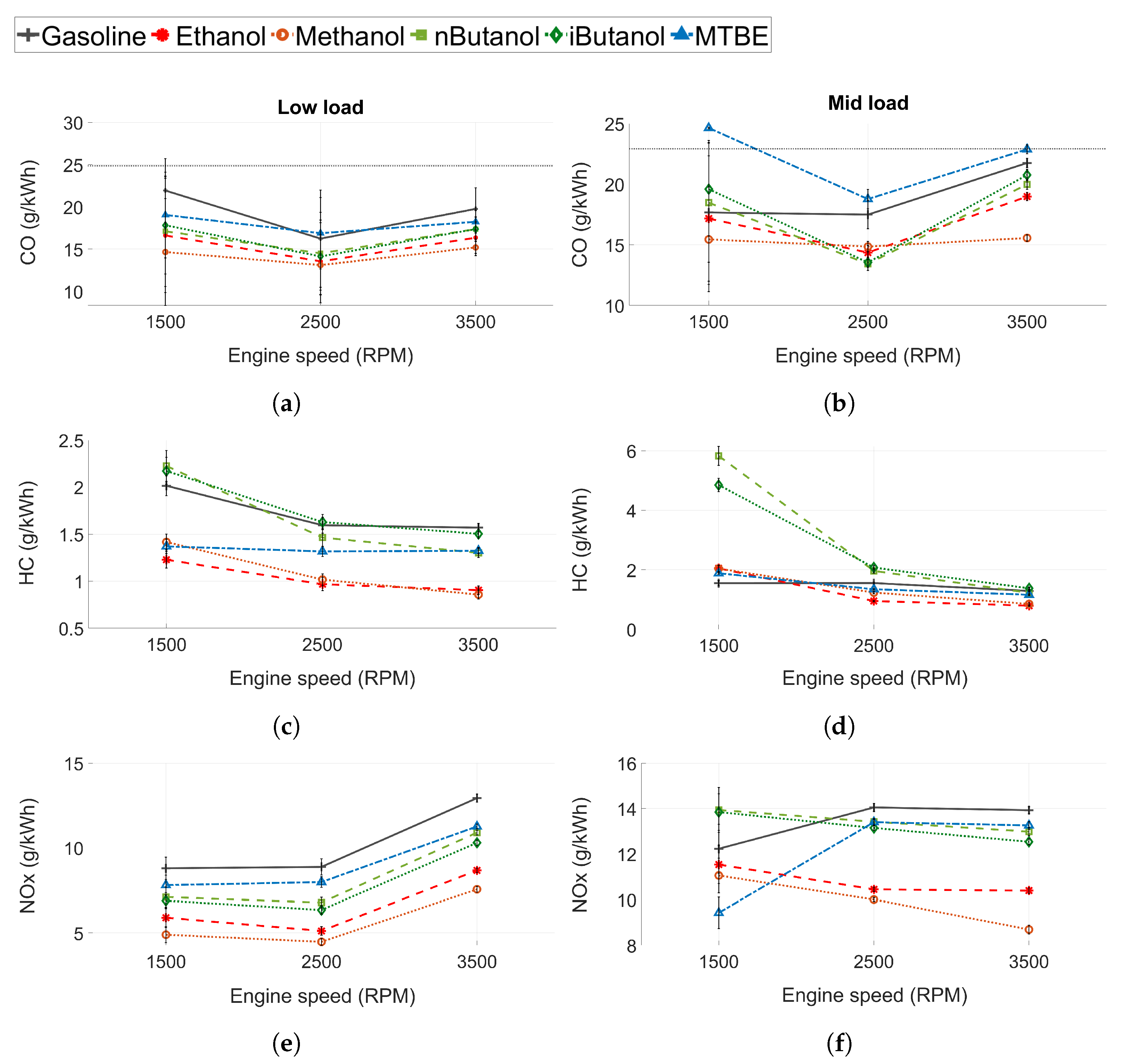
3.1.3. Engine Emissions
3.1.4. Carbon Monoxide Emissions
3.1.5. Unburned Hydrocarbon Emissions
3.1.6. Nitrogen Oxide Emissions
3.1.7. Particle Emissions
3.2. Combustion Propagation at Low Load Conditions
3.2.1. Efficiency and Engine Performance Parameters at Constant CA50
3.2.2. Heat Release Analysis and Energy Balance at Constant CA50
3.2.3. Combustion Phasing and Duration for Different CA50
4. Discussion
5. Conclusions
- The oxygenated biofuels exhibit increased efficiency at both knock-limited and non-knock-limited engine conditions without any engine or control optimisation.
- Due to increased charge cooling of the alcohols, there is a decrease in heat loss and exhaust temperature compared to gasoline.
- Methanol exhibits significantly increased burn rates compared to the other fuels. This is probably attributed to increased laminar flame speed and higher injection pressures.
- The laminar flame speed seems to have more of an impact during initial flame development (CA010). At the later stages of combustion, in-cylinder turbulence and injection pressure affect flame propagation more.
- The oxygenated fuels, especially methanol and ethanol, decrease emissions of CO, HC and NOx compared to gasoline.
- Gasoline emits the lowest levels of PM and PN emissions.
- N-butanol and iso-butanol show increased levels of particle emissions compared to the other fuels. The low volatility of these fuels leads to high levels of fuel impingement and pool fires. At high load, this also increases HC- and CO emissions. The effect is more pronounced at low speed conditions.
Author Contributions
Funding
Institutional Review Board Statement
Informed Consent Statement
Data Availability Statement
Acknowledgments
Conflicts of Interest
Abbreviations
| Ratio of specific heats | |
| Combustion efficiency | |
| Standard deviation | |
| Excess air ratio | |
| A | Area |
| AFR | Air-fuel ratio |
| aTDC | After top dead centre |
| B | Engine bore |
| bTDC | Before top dead centre |
| CA | Crank angle |
| CA010 | Flame development angle |
| CA1050 | Initial burn rate |
| CA1090 | Combustion duration |
| CA50 | Combustion phasing |
| CA5090 | Late burn rate |
| CAD | Crank angle degree |
| CO | Carbon monoxide |
| COV | Coefficient of variance |
| Specific heat capacity | |
| CPC | Condensation particle counter |
| CR | Compression ratio |
| DISI | Direct-injected spark-ignited |
| DVPE | Dry vapour pressure equivalent |
| ECU | Engine control unit |
| EGR | Exhaust gas recirculation |
| FID | Flame ionisation detector |
| FS | Full scale (uncertainty) |
| GPF | Gasoline particulate filter |
| HC | Hydrocarbon |
| HD | Heavy duty |
| HOV | Heat of vaporisation |
| ICE | Internal combustion engine |
| IMEP | Indicated mean effective pressure |
| ITE | Indicated thermal efficiency |
| KLSA | knock-limited spark advance |
| LHV | Lower heating value |
| Air mass flow | |
| MER | Molar expansion ratio |
| MBT | Maximum brake torque |
| MFB | Mass fraction burned |
| Fuel mass flow | |
| MON | Motor octane number |
| MSS | Micro soot sensor |
| MTBE | Methy tert-butyl ether |
| N | Engine speed |
| NASA | National Aeronautics and Space Administration |
| NI | National Instruments |
| NOx | Nitrogen oxide |
| NTC | Negative temperature coefficient |
| O/C | Oxygen to carbon ratio |
| p | In-cylinder pressure |
| PFI | Port fuel injection |
| Injection pressure | |
| PM | Particle (soot) mass |
| Motoring pressure | |
| PN | Particle number |
| P | Net indicated power |
| Combustion energy loss | |
| Exhaust gas loss | |
| Lower heating value | |
| Coefficient of determination | |
| RPM | Revolution per minute |
| ROHR | Rate of heat release |
| RON | Research octane number |
| SI | Spark-ignited |
| Laminar flame speed | |
| SOC | Start of combustion |
| Piston speed | |
| ST | Spark timing |
| T | In-cylinder temperature |
| Exhaust gas temperature | |
| Wall temperature | |
| TWC | Three-way catalyst |
| V | In-cylinder volume |
| Displacement volume |
References
- Brownstein, A.M. (Ed.) History and Legislation. In Renewable Motor Fuels; Elsevier Inc.: Amsterdam, The Netherlands, 2015; Chapter 1; pp. 1–8. [Google Scholar] [CrossRef]
- Pearson, R.J.; Turner, J.W.G. Renewable Fuels: An Automotive Perspective. In Comprehensive Renewable Energy; Sayigh, A., Ed.; Elsevier: Amsterdam, The Netherlands, 2012; pp. 305–342. [Google Scholar] [CrossRef]
- Bergthorson, J.M.; Thomson, M.J. A review of the combustion and emissions properties of advanced transportation biofuels and their impact on existing and future engines. Renew. Sustain. Energy Rev. 2014, 42, 1393–1417. [Google Scholar] [CrossRef]
- Arce-Alejandro, R.; Villegas-Alcaraz, J.F.; Gómez-Castro, F.I.; Juárez-Trujillo, L.; Sánchez-Ramírez, E.; Carrera-Rodríguez, M.; Morales-Rodríguez, R. Performance of a gasoline engine powered by a mixture of ethanol and n-butanol. Clean Technol. Environ. Policy 2018, 20, 1929–1937. [Google Scholar] [CrossRef]
- Wang, C.; Herreros, J.M.; Jiang, C.; Sahu, A.; Xu, H. Engine Thermal Efficiency Gain and Well-to-Wheel Greenhouse Gas Savings When Using Bioethanol as a Gasoline-Blending Component in Future Spark-Ignition Engines: A China Case Study. Energy Fuels 2018, 32, 1724–1732. [Google Scholar] [CrossRef]
- Yusoff, M.N.A.M.; Zulkifli, N.W.M.; Masum, B.M.; Masjuki, H.H. Feasibility of bioethanol and biobutanol as transportation fuel in spark-ignition engine: A review. RSC Adv. 2015, 5, 100184–100211. [Google Scholar] [CrossRef]
- Sarathy, M.; Oßwald, P.; Hansen, N.; Kohse-Höinghaus, K. Alcohol combustion chemistry. Prog. Energy Combust. Sci. 2014, 44, 40–102. [Google Scholar] [CrossRef]
- Kalghatgi, G.; Stone, R. Fuel Requirements of spark ignition engines. Proc. Inst. Mech. Eng. Part D J. Automob. Eng. 2017. [Google Scholar] [CrossRef]
- Sileghem, L.; Huylebroeck, T.; den Bulcke, A.; Vancoillie, J.; Verhelst, S. Performance and Emissions of a SI Engine using Methanol-Water Blends; SAE Technical Papers; SAE International: Warrendale, PA, USA, 2013. [Google Scholar] [CrossRef]
- Westbrook, C.K. Biofuels Combustion. Annu. Rev. Phys. Chem. 2013, 64, 201–219. [Google Scholar] [CrossRef]
- Turner, J.; Lewis, A.; Akehurst, S.; Brace, C.J.; Verhelst, S.; Vancoillie, J.; Sileghem, L.; Leach, F.C.; Ewards, P.P. Alcohol Fuels for Spark-Ignition Engines: Performance, Efficiency and Emission Effects at Mid to High Blend Rates for Ternary Mixtures. Energies 2020, 13, 6390. [Google Scholar] [CrossRef]
- Larsson, T.; Erlandsson, A.C.; Stenlåås, O. Future Fuels for DISI Engines: A Review on Oxygenated, Liquid Biofuels; SAE Technical Papers; SAE International: Warrendale, PA, USA, 2019. [Google Scholar] [CrossRef]
- Moulijn, J.A.; Makkee, M.; van Diepen, A.E. Biotechnology. In Chemical Process Technology, 2nd ed.; Wiley: Hoboken, NJ, USA, 2013; pp. 423–452. [Google Scholar]
- Dabelstein, W.; Reglitzky, A.; Schütze, A.; Reders, K. Automotive Fuels. In Ullmann’s Encyclopedia of Industrial Chemistry; American Cancer Society: Atlanta, GA, USA, 2007. [Google Scholar] [CrossRef]
- Sileghem, L.; Ickes, A.; Wallner, T.; Verhelst, S. Experimental Investigation of a DISI Production Engine Fuelled with Methanol, Ethanol, Butanol and ISO-Stoichiometric Alcohol Blends; SAE Technical Papers; SAE International: Warrendale, PA, USA, 2015. [Google Scholar] [CrossRef]
- Rosell, M.; Lacorte, S.; Barceló, D. Analysis, occurrence and fate of MTBE in the aquatic environment over the past decade. Trends Anal. Chem. TRAC 2006, 25, 1016–1029. [Google Scholar] [CrossRef]
- Schifter, I.; Gonzàlez, U.; Dìaz, L.; Gonzàlez-Macìas, C.; Mejìa-Centeno, I. Experimental and vehicle (on road) test investigations of spark-ignited engine performance and emissions using high concentration of MTBE as oxygenated additive. Fuel 2017, 187, 276–284. [Google Scholar] [CrossRef]
- Squillace, P.J.; Pankow, J.F.; Korte, N.E.; Zogorski, J.S. Review of the environmental behavior and fate of methyl tert-butyl ether. Environ. Toxicol. Chem. 1997, 16, 1836–1844. [Google Scholar] [CrossRef]
- Leach, F.; Knorsch, T.; Laidig, C.; Wiese, W. A Review of the Requirements for Injection Systems and the Effects of Fuel Quality on Particulate Emissions from GDI Engines. In Proceedings of the International Powertrains, Fuels & Lubricants Meeting, Heidelberg, Germany, 17–19 September 2018; SAE International: Warrendale, PA, USA, 2018. [Google Scholar] [CrossRef]
- Szybist, J.P.; Chakravathy, K.; Daw, C.S. Analysis of the Impact of Selected Fuel Thermochemical Properties on Internal Combustion Engine Efficiency. Energy Fuels 2012, 26, 2798–2810. [Google Scholar] [CrossRef]
- Singh, E.; Morganti, K.; Dibble, R. Knock and Pre-Ignition Limits on Utilization of Ethanol in Octane-on-Demand Concept; SAE Technical Papers; SAE International: Warrendale, PA, USA, 2019. [Google Scholar] [CrossRef]
- Turner, D.; Xu, H.; Cracknell, R.F.; Natarajan, V.; Chen, X. Combustion performance of bio-ethanol at various blend ratios in a gasoline direct injection engine. Fuel 2011, 90, 1999–2006. [Google Scholar] [CrossRef]
- Catapano, F.; Di Iorio, S.; Sementa, P.; Vaglieco, B.M. Characterization of Ethanol-Gasoline Blends Combustion Processes and Particle Emissions in a GDI/PFI Small Engine; SAE Technical Papers; SAE International: Warrendale, PA, USA, 2014. [Google Scholar] [CrossRef]
- Pischinger, S.; Günther, M.; Budak, O. Abnormal combustion phenomena with different fuels in a spark ignition engine with direct fuel injection. Combust. Flame 2017, 175, 123–137. [Google Scholar] [CrossRef]
- Wei, H.; Feng, D.; Pan, M.; Pan, J.; Rao, X.; Gao, D. Experimental investigation on the knocking combustion characteristics of n-butanol gasoline blends in a DISI engine. Appl. Energy 2016, 175, 346–355. [Google Scholar] [CrossRef]
- Wu, F.; Law, C.K. An experimental and mechanistic study on the laminar flame speed, Markstein length and flame chemistry of the butanol isomers. Combust. Flame 2013, 160, 2744–2756. [Google Scholar] [CrossRef]
- Broustail, G.; Seers, P.; Halter, F.; Moréac, G.; Mounaim-Rousselle, C. Experimental determination of laminar burning velocity for butanol and ethanol iso-octane blends. Fuel 2011, 90, 1–6. [Google Scholar] [CrossRef]
- Bogin, G.E., Jr.; Luecke, J.; Ratcliff, M.A.; Osecky, E.; Zigler, B.T. Effects of iso-octane/ethanol blend ratios on the observance of negative temperature coefficient behavior within the Ignition Quality Tester. Fuel 2016, 186, 82–90. [Google Scholar] [CrossRef]
- Cairns, A.; Stansfield, P.; Fraser, N.; Blaxill, H.; Gold Martin Rogerson, J.; Goodfellow, C. A Study of Gasoline-Alcohol Blended Fuels in an Advanced Turbocharged DISI Engine. SAE Int. J. Fuels Lubr. 2009, 2, 41–57. [Google Scholar] [CrossRef][Green Version]
- Yanowitz, J.; Christensen, E.; McCormick Robert, L. Utilization of Renewable Oxygenates as Gasoline Blending Components; Technical Report; National Renewable Energy Laboratory: Golden, CO, USA, 2011.
- Westphal, G.; Krahl, J.; Brüning, T.; Hallier, E.; Bünger, J. Ether oxygenate additives in gasoline reduce toxicity of exhausts. Toxicology 2010, 268, 198–203. [Google Scholar] [CrossRef]
- Masum, B.M.; Kalam, M.A.; Masjuki, H.H.; Palash, S.M.; Fattah, I.M.R. Performance and emission analysis of a multi cylinder gasoline engine operating at different alcohol gasoline blends. RSC Adv. 2014, 4, 27898–27904. [Google Scholar] [CrossRef]
- Schifter, I.; González, U.; González-Macías, C. Effects of ethanol, ethyl-tert-butyl ether and dimethyl-carbonate blends with gasoline on SI engine. Fuel 2016, 183, 253–261. [Google Scholar] [CrossRef]
- Brewster, S. Initial Development of a Turbo-Charged Direct Injection E100 Combustion System; SAE Technical Papers; SAE International: Warrendale, PA, USA, 2007. [Google Scholar] [CrossRef]
- Nakata, K.; Utsumi, S.; Ota, A.; Kawatake, K.; Kawai, T.; Tsunooka, T. The Effect of Ethanol Fuel on a Spark Ignition Engine; SAE Technical Papers; SAE International: Warrendale, PA, USA, 2006. [Google Scholar] [CrossRef]
- Mahendar, S.K.; Larsson, T.; Erlandsson, A.C. Alcohol lean burn in heavy duty engines: Achieving 25 bar IMEP with high efficiency in spark ignited operation. Int. J. Engine Res. 2020, 1468087420972897. [Google Scholar] [CrossRef]
- Szwaja, S.; Naber, J. Combustion of n-butanol in a spark-ignition IC engine. Fuel 2010, 89, 1573–1582. [Google Scholar] [CrossRef]
- Topgül, T. The effects of MTBE blends on engine performance and exhaust emissions in a spark ignition engine. Fuel Process. Technol. 2015, 138. [Google Scholar] [CrossRef]
- Masum, B.M.; Masjuki, H.H.; Kalam, M.A.; Palash, S.M.; Habibullah, M. Effect of alcohol–gasoline blends optimization on fuel properties, performance and emissions of a SI engine. J. Clean. Prod. 2015, 86, 230–237. [Google Scholar] [CrossRef]
- Anselmi, P.; Matrat, M.; Starck, L.; Duffour, F. Combustion characteristics of oxygenated fuels Ethanol-and Butanol-gasoline fuel blends, and their impact on performance, emissions and Soot Index. In Proceedings of the 2019 JSAE/SAE Powertrains, Fuels and Lubricants, Kyoto, Japan, 26–29 August 2019; SAE International: Warrendale, PA, USA, 2019. [Google Scholar] [CrossRef]
- Sandhu, N.S.; Yu, X.; Leblanc, S.; Zheng, M.; Ting, D.; Li, T. Combustion Characterization of Neat n-Butanol in an SI Engine. In Proceedings of the WCX SAE World Congress Experience, Detroit, Michigan, 5–7 April 2020; SAE International: Warrendale, PA, USA, 2020. [Google Scholar] [CrossRef]
- Di Iorio, S.; Lazzaro, M.; Sementa, P.; Vaglieco, B.M.; Catapano, F. Use of Renewable Oxygenated Fuels in Order to Reduce Particle Emissions from a GDI High Performance Engine; SAE International: Warrendale, PA, USA, 2011. [Google Scholar] [CrossRef]
- Karavalakis, G.; Short, D.; Vu, D.; Russell, R.L.; Asa-Awuku, A.; Jung, H.; Johnson, K.C.; Durbin, T.D. The impact of ethanol and iso-butanol blends on gaseous and particulate emissions from two passenger cars equipped with spray-guided and wall-guided direct injection SI (spark ignition) engines. Energy 2015, 82, 168–179. [Google Scholar] [CrossRef]
- Qin, J.; Li, X.; Pei, Y. Effects of Combustion Parameters and Lubricating Oil on Particulate Matter Emissions from a Turbo-Charged GDI Engine Fueled with Methanol/Gasoline Blends. In Proceedings of the SAE 2014 International Powertrain, Fuels & Lubricants Meeting, Birmingham, UK, 20–23 October 2014; SAE International: Warrendale, PA, USA, 2014. [Google Scholar] [CrossRef]
- Ferraro, F.; Russo, C.; Schmitz, R.; Hasse, C.; Sirignano, M. Experimental and numerical study on the effect of oxymethylene ether-3 (OME3) on soot particle formation. Fuel 2021, 286, 119353. [Google Scholar] [CrossRef]
- Wei, J.; Zeng, Y.; Pan, M.; Zhuang, Y.; Qiu, L.; Zhou, T.; Liu, Y. Morphology analysis of soot particles from a modern diesel engine fueled with different types of oxygenated fuels. Fuel 2020, 267, 117248. [Google Scholar] [CrossRef]
- Verma, P.; Jafari, M.; Rahman, S.A.; Pickering, E.; Stevanovic, S.; Dowell, A.; Brown, R.; Ristovski, Z. The impact of chemical composition of oxygenated fuels on morphology and nanostructure of soot particles. Fuel 2020, 259, 116167. [Google Scholar] [CrossRef]
- Chen, H.; Xu, M.; Zhang, G.; Zhang, M.; Zhang, Y. Investigation of Ethanol Spray From Different DI Injectors by Using Two-Dimensional Laser Induced Exciplex Fluorescence at Potential Cold-Start Condition. In Proceedings of the ASME 2010 Internal Combustion Engine Division Fall Technical Conference, San Antonio, TX, USA, 12–15 September 2010. [Google Scholar] [CrossRef]
- Bonatesta, F.; Chiappetta, E.; La Rocca, A. Part-load particulate matter from a GDI engine and the connection with combustion characteristics. Appl. Energy 2014, 124, 366–376. [Google Scholar] [CrossRef]
- Larsson, T.; K, A.P.; Olofsson, U.; Erlandsson, A. Undiluted Measurement of sub 10 nm Non-Volatile and Volatile Particle Emissions from a DISI Engine Fueled with Gasoline and Ethanol; SAE International: Warrendale, PA, USA, 2021. [Google Scholar] [CrossRef]
- Babazadeh Shayan, S.; Seyedpour, S.M.; Ommi, F. Effect of oxygenates blending with gasoline to improve fuel properties. CJME 2012, 25, 792–797. [Google Scholar] [CrossRef]
- Dekati. Dekati Diluter. 2020. Available online: https://dekatitechnologies.com/?gclid=EAIaIQobChMI5tWR3K688QIVmulRCh03ZwgYEAAYASAAEgKRivD_BwE (accessed on 10 December 2020).
- Heywood, J.B. Combustion in Spark-Ignition Engines. In Internal Combustion Engine Fundamentals, 2nd ed.; McGraw-Hill Education: New York, NY, USA, 1988. [Google Scholar]
- Heywood, J.B. Engine Design and Operating Parameters. In Internal Combustion Engine Fundamentals, 2nd ed.; McGraw-Hill Education: New York, NY, USA, 1988. [Google Scholar]
- Bengt, J. Engine Efficiency and pressures. In Combustion Engines Part I; Department of Energy Sciences; Lund University: Lund, Sweden, 2014. [Google Scholar]
- Wallner, T. Correlation Between Speciated Hydrocarbon Emissions and Flame Ionization Detector Response for Gasoline/Alcohol Blends. ASME J. Eng. Gas Turbines Power 2011, 133. [Google Scholar] [CrossRef]
- Burcat, A.; Ruscic, B. Third Millennium Ideal Gas and Condensed Phase Thermochemical Database for Combustion with Updates from Active Thermochemical Tables; Technical Report; U.S. Department of Energy: Oak Ridge, TN, USA, 2005. [CrossRef]
- Heywood, J.B. Engine Heat Transfer. In Internal Combustion Engine Fundamentals, 2nd ed.; McGraw-Hill Education: New York, NY, USA, 1988. [Google Scholar]
- Maurya, R.K. Combustion Characteristic Analysis. In Reciprocating Engine Combustion Diagnostics: In-Cylinder Pressure Measurement and Analysis; Springer International Publishing: Cham, Switzerland, 2019; pp. 281–359. [Google Scholar] [CrossRef]
- Sarathy, S.; Vranckx, S.; Yasunaga, K.; Mehl, M.; Oßwald, P.; Metcalfe, W.; Westbrook, C.; Pitz, W.; Kohse-Höinghaus, K.; Curran, H. A comprehensive chemical kinetic combustion model for the four butanol isomers. Combust. Flame 2012, 159, 2028–2055. [Google Scholar] [CrossRef]
- Mehl, M.; Pitz, W.J.; Westbrook, C.K.; Curran, H.J. Kinetic modeling of gasoline surrogate components and mixtures under engine conditions. Proc. Combust. Inst. 2011, 33, 193–200. [Google Scholar] [CrossRef]
- Daniel, R.; Tian, G.; Xu, H.; Shuai, S. Ignition timing sensitivities of oxygenated biofuels compared to gasoline in a direct-injection SI engine. Fuel 2012, 99, 72–82. [Google Scholar] [CrossRef]
- Veloo, P.S.; Egolfopoulos, F.N. Flame propagation of butanol isomers/air mixtures. Proc. Combust. Inst. 2011, 33, 987–993. [Google Scholar] [CrossRef]
- Veloo, P.S.; Wang, Y.L.; Egolfopoulos, F.N.; Westbrook, C.K. A comparative experimental and computational study of methanol, ethanol, and n-butanol flames. Combust. Flame 2010, 157, 1989–2004. [Google Scholar] [CrossRef]
- Sileghem, L.; Alekseev, V.; Vancoillie, J.; Nilsson, E.; Verhelst, S.; Konnov, A. Laminar burning velocities of primary reference fuels and simple alcohols. Fuel 2014, 115, 32–40. [Google Scholar] [CrossRef]
- Iodice, P.; Senatore, A.; Langella, G.; Amoresano, A. Effect of ethanol–gasoline blends on CO and HC emissions in last generation SI engines within the cold-start transient: An experimental investigation. Appl. Energy 2016, 179, 182–190. [Google Scholar] [CrossRef]
- Shahad, H.A.K.; Wabdan, S.K. Effect of Operating Conditions on Pollutants Concentration Emitted from a Spark Ignition Engine Fueled with Gasoline Bioethanol Blends. J. Renew. Energy 2015, 2015, 170896. [Google Scholar] [CrossRef]
- Bengt, J. Spark Ignition Engine Emissions. In Combustion Engines Part I; Department of Energy Sciences, Lund University: Lund, Sweden, 2014. [Google Scholar]
- Hua, Y.; Liu, F.; Qiu, L.; Qian, Y.; Meng, S. Numerical study of particle dynamics in laminar diffusion flames of gasoline blended with different alcohols. Fuel 2019, 257, 116065. [Google Scholar] [CrossRef]
- Wang, C.; Xu, H.; Herreros, J.M.; Wang, J.; Cracknell, R. Impact of fuel and injection system on particle emissions from a GDI engine. Appl. Energy 2014, 132, 178–191. [Google Scholar] [CrossRef]
- Raza, M.; Chen, L.; Leach, F.; Ding, S. A Review of Particulate Number (PN) Emissions from Gasoline Direct Injection (GDI) Engines and Their Control Techniques. Energies 2018, 6, 1417. [Google Scholar] [CrossRef]
- Nguyen, D.K.; Szybist, J.; Sileghem, L.; Verhelst, S. Effects of molar expansion ratio of fuels on engine efficiency. Fuel 2020, 263, 116743. [Google Scholar] [CrossRef]
- Yu, X.; Guo, Z.; He, L.; Dong, W.; Sun, P.; Shi, W.; Du, Y.; He, F. Effect of gasoline/n-butanol blends on gaseous and particle emissions from an SI direct injection engine. Fuel 2018, 229, 1–10. [Google Scholar] [CrossRef]











| Displacement volume | 1969 cc |
| Stroke | 93.2 mm |
| Bore | 82 mm |
| Connecting rod | 143.8 mm |
| Compression ratio | 10.3 |
| Number of cylinders | 4 (inline) |
| Peak power | 225 kW 5700 RPM |
| Fuel | RON | MON | DVPE (kPa) | LHV (MJ/kg) | Oxygen Content (w-%) |
|---|---|---|---|---|---|
| Gasoline | 93.7 | 84.9 | 52.5 | 42.8 | 0 |
| Ethanol | 107.2 | 89.5 | 16.5 | 26.8 | 34.7 |
| Methanol | 108 | 88.7 | 30.9 | 19.8 | 49.9 |
| n-butanol | 98 | 84.7 | <9.0 (2.3) | 32.6 | 21.6 |
| iso-butanol | 104.6 | 89.6 | <9.0 (1.8) | 32.3 | 21.6 |
| MTBE | 116 * | 101 * | 53.6 | 34.7 | 18.2 |
| Measurement | Sensor | Range | Uncertainty |
|---|---|---|---|
| (≤± % FS) | |||
| In-cylinder pressure | Kistler 6045A32420 | 0–250 bar | 0.4 |
| Inlet pressure | Kistler 4007D | 0–5 bar | 0.25 |
| CO | 0–7000 ppm | ||
| HC | Horiba MEXA 7100 | 0–5000 ppm | 2 |
| NOx | 0–5000 ppm | ||
| Lambda | Bosch O2-sensor LSU 4.9 | 0.65–∞ | 0.7 ( = 1) |
| Soot mass | AVL MSS | 0.001–50 mg/m | 0.12 |
| Particle number | TSI CPC3010 | ≥23 nm | 10 |
| Fuel | FID Correction Factor |
|---|---|
| Gasoline | 1 |
| Ethanol | 0.7 |
| Methanol | 0.4 |
| n-butanol | 0.84 |
| iso-butanol | 0.84 |
| MTBE | 0.92 |
Publisher’s Note: MDPI stays neutral with regard to jurisdictional claims in published maps and institutional affiliations. |
© 2021 by the authors. Licensee MDPI, Basel, Switzerland. This article is an open access article distributed under the terms and conditions of the Creative Commons Attribution (CC BY) license (https://creativecommons.org/licenses/by/4.0/).
Share and Cite
Larsson, T.; Mahendar, S.K.; Christiansen-Erlandsson, A.; Olofsson, U. The Effect of Pure Oxygenated Biofuels on Efficiency and Emissions in a Gasoline Optimised DISI Engine. Energies 2021, 14, 3908. https://doi.org/10.3390/en14133908
Larsson T, Mahendar SK, Christiansen-Erlandsson A, Olofsson U. The Effect of Pure Oxygenated Biofuels on Efficiency and Emissions in a Gasoline Optimised DISI Engine. Energies. 2021; 14(13):3908. https://doi.org/10.3390/en14133908
Chicago/Turabian StyleLarsson, Tara, Senthil Krishnan Mahendar, Anders Christiansen-Erlandsson, and Ulf Olofsson. 2021. "The Effect of Pure Oxygenated Biofuels on Efficiency and Emissions in a Gasoline Optimised DISI Engine" Energies 14, no. 13: 3908. https://doi.org/10.3390/en14133908
APA StyleLarsson, T., Mahendar, S. K., Christiansen-Erlandsson, A., & Olofsson, U. (2021). The Effect of Pure Oxygenated Biofuels on Efficiency and Emissions in a Gasoline Optimised DISI Engine. Energies, 14(13), 3908. https://doi.org/10.3390/en14133908

