Far Wake and Its Relation to Aerodynamic Efficiency
Abstract
1. Introduction
2. Algebraic Models
2.1. The Momentum Deficit Model
2.2. The Reynolds Stress Model
3. Previous Experimental Work
4. Experimental Setup
4.1. Test Matrix
4.2. SD7003 and AR 4 Flat Plate Test Setup
5. SD 7003 Results
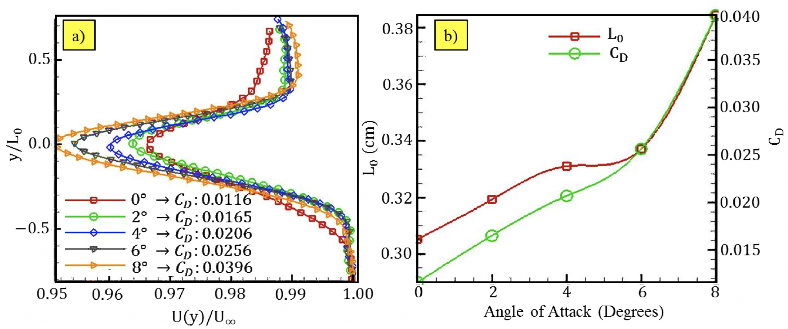
5.1. Streamwise Velocity ()
5.2. Reynolds Stress
5.3. SD7003 Momentum Deficit Match Using Momentum Deficit Model
5.4. Comparison of Experimental SD7003 Wake Reynolds Stress and Reynolds Stress Model
5.5. SD7003 RMS Variation
6. AR 4 Flat Plate Results
6.1. Streamwise Velocity Variation
6.2. Reynolds Stress Variation
6.3. AR 4 Flat Plate Momentum Deficit Match Using Momentum Deficit Model
6.4. Comparison of Experimental SD7003 Wake Reynolds Stress and Reynolds Stress Model
6.5. RMS Variation in the Wake of AR 4 Flat Plate
7. Conclusions
- A surprising correlation between the aerodynamic efficiency/on-body flow characteristics and the mean and turbulent characteristics of the wake 10 chord lengths downstream of the wing was found independent of the wing dimensionality (2D or 3D). Despite the violent mixing of the wake, the performance information of the wing is preserved in the wake even after 10 chord lengths downstream. Therefore, the wake is not only unique as discovered by Wygnanski et al. [8], but it also contains detailed information as far as 10 chord lengths downstream of the wing that can be used to reveal the performance information of the wing. This result was concluded from the correlation between the drag coefficient/aerodynamic efficiency, momentum, displacement thickness of the SD7003 wall-to-wall model and the wake half-width, momentum deficit, peak Reynolds stress, streamwise, and cross-stream RMS profiles of the wake at 10 chord lengths downstream. All of these profiles indicated a high gradient from to angles of attack.
- The inclusion of the empirical factor gave the capability for the momentum deficit and Reynolds stress models to match with the experimental data, especially for modeling wake profiles with similar drag coefficients such as spanwise momentum and Reynolds stress profiles. Even though is an empirical factor, its variation with angle of attack resembles the variation of turbulence levels, which indicates that it could be considered as a surrogate for eddy viscosity. This result was concluded from the correlation between the spanwise variation of found from the momentum deficit and Reynolds stress models and the streamwise and cross-stream variation of RMS in the wake of the AR 4 flat plate.
Author Contributions
Funding
Acknowledgments
Conflicts of Interest
References
- Wygnanski, I.; Champagne, F.; Marasli, B. On the large-scale structures in two-dimensional, small-deficit, turbulent wakes. J. Fluid Mech. 1986, 168, 31–71. [Google Scholar] [CrossRef]
- Townsend, A.A. The Structure of Turbulent Shear Flow; Cambridge University Press: Cambridge, UK, 1980. [Google Scholar]
- George, W.K. The self-preservation of turbulent flows and its relation to initial conditions and coherent structures. In Advance in Turbulance; Hemisphere Publishing Corporation: London, UK, 1989; pp. 39–73. [Google Scholar]
- George, W.K.; Gibson, M.M. The self-preservation of homogeneous shear flow turbulence. Exp. Fluids 1992, 13, 229–238. [Google Scholar] [CrossRef]
- Meunier, P.; Spedding, G. Stratified propelled wakes. J. Fluid Mech. 2006, 552, 229–256. [Google Scholar] [CrossRef]
- Ganci, G.; Altman, A.; Rodewald, J. Identification of Aircraft by their Unique Turbulent Wake Signature: Experimental Validation. In Proceedings of the 50th AIAA Aerospace Sciences Meeting including the New Horizons Forum and Aerospace Exposition, Nashville, TN, USA, 9–12 January 2012; p. 66. [Google Scholar] [CrossRef]
- Catalano, P.; Tognaccini, R. Large eddy simulations of the flow around the SD7003 airfoil. In Proceedings of the AIMETA Conference, Bologna, Italy, 12–15 September 2011. [Google Scholar]
- Betz, A. Bin Verfahren zur Direkten Ermittlung des Profilwiderstandes. ZFM 1925, 16, 42–44. [Google Scholar]
- Maskell, E.C. Progress towards a Method for the Measurement of the Components of the Drag of a Wing of Finite Span; Royal Aircraft Establishment: Farnborough, UK, 1972. [Google Scholar]
- El-Refaee, M.M. Calculation of all drag components for 3-D bodies in wind tunnel flows. A boundary element-wake approach. Appl. Sci. Res. 1995, 55, 119–139. [Google Scholar] [CrossRef]
- Selig, M.S.; McGranahan, B.D. Wind tunnel aerodynamic tests of six airfoils for use on small wind turbines. J. Sol. Energy Eng. 2004, 126, 986–1001. [Google Scholar] [CrossRef]
- Goett, H.J. Experimental Investigation of the Momentum Method for Determining Profile Drag; NACA Report No: 660; US Government Printing Office: Washington, DC, USA, 1939. [Google Scholar]
- Doetsch, H. Profilwiderstandsmessungen im grossen Windkanal der DVL. Luftfahrtforsch. Bd 1937, 14, 173–178. [Google Scholar]
- Radespiel, R.; Windte, J.; Scholz, U. Numerical and experimental flow analysis of moving airfoils with laminar separation bubbles. AIAA J. 2007, 45, 1346–1356. [Google Scholar] [CrossRef][Green Version]
- Gunasekaran, S.; Aaron, A. Is There a Relationship Between the Wingtip Vortex and the Shear Layer? In Proceedings of the 54th AIAA Aerospace Sciences Meeting, San Diego, CA, USA, 4–6 January 2016; p. 1068. [Google Scholar] [CrossRef]
- Phillips, W.R.C.; Graham, J.A.H. Reynolds-stress measurements in a turbulent trailing vortex. J. Fluid Mech. 1984, 147, 353–371. [Google Scholar] [CrossRef]























| Model | Interrogation Location (b/2) | ||
|---|---|---|---|
| SD7003 Wall-to-Wall | 6, 8, 10, 20 | 2, 4, 6, 8 | 0.5 |
| AR 4 Flat Plate | 4 | 4 | 0.50, 0.67, 0.83, 1.00 |
| Parameter | AR 4 Flat Plate | SD 7003 |
|---|---|---|
| Aspect Ratio | 4 | Wall-to-Wall |
| Mean Aerodynamic Chord (cm) | 7.62 | 15.24 |
| Wingspan (cm) | 30.4 (12″) | 45.7 |
| Surface Area (cm) | 232 | 697 |
| Reynolds Number | 32,000 | 64,000 |
| Downstream Interrogation Distance (c) | 10 | 10 |
Publisher’s Note: MDPI stays neutral with regard to jurisdictional claims in published maps and institutional affiliations. |
© 2021 by the authors. Licensee MDPI, Basel, Switzerland. This article is an open access article distributed under the terms and conditions of the Creative Commons Attribution (CC BY) license (https://creativecommons.org/licenses/by/4.0/).
Share and Cite
Gunasekaran, S.; Altman, A. Far Wake and Its Relation to Aerodynamic Efficiency. Energies 2021, 14, 3641. https://doi.org/10.3390/en14123641
Gunasekaran S, Altman A. Far Wake and Its Relation to Aerodynamic Efficiency. Energies. 2021; 14(12):3641. https://doi.org/10.3390/en14123641
Chicago/Turabian StyleGunasekaran, Sidaard, and Aaron Altman. 2021. "Far Wake and Its Relation to Aerodynamic Efficiency" Energies 14, no. 12: 3641. https://doi.org/10.3390/en14123641
APA StyleGunasekaran, S., & Altman, A. (2021). Far Wake and Its Relation to Aerodynamic Efficiency. Energies, 14(12), 3641. https://doi.org/10.3390/en14123641
