A Novel Mathematical Model Considering Real Gas PVT Behavior to Estimate Inflow Performance Relationship of Gas Well Production
Abstract
1. Introduction
2. Model Description
2.1. General Assumptions
- The reservoir is disk shaped, with its center at the wellbore, and it is a homogeneous and isotropic formation with uniform thickness. The upper and lower boundaries of the reservoir are closed, and the supply boundary pressure is constant at Pe.
- The formation has the same permeability and porosity. Both properties are stress-sensitive.
- The only flowing phase is gas phase with unsteady state.
- The well completion method is open hole completion.
- Gravitational forces are negligible.
2.2. Mathematical Model of Radial Flow in Gas Reservoir
3. Solving Method of the Mathematical Model
4. Results and Discussion
4.1. Model Validation
4.2. Effect of Reservoir Permeability
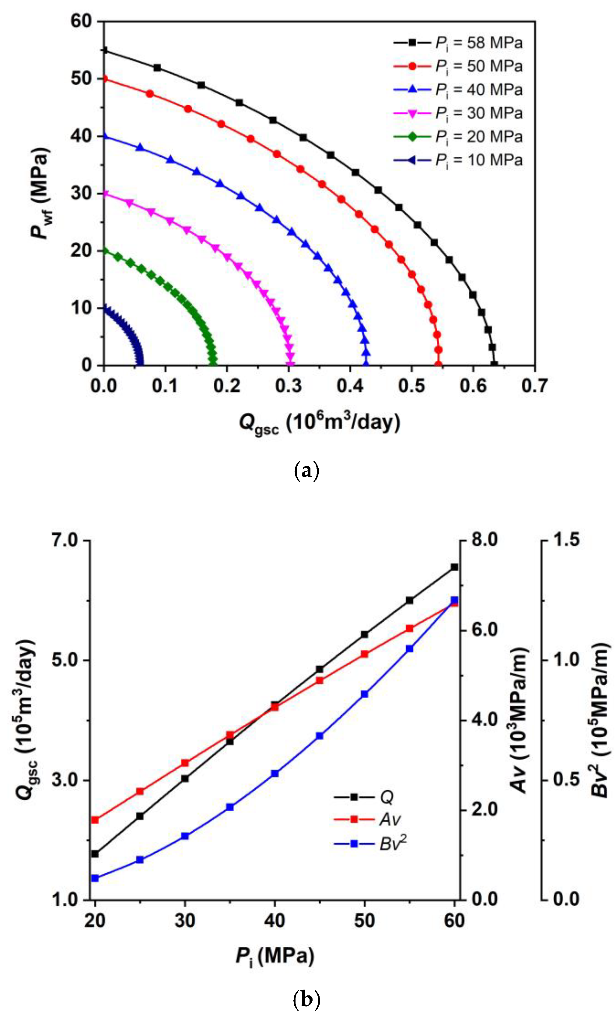
4.3. Effect of Original Reservoir Pressure
4.4. Effect of Initial Gas Saturation
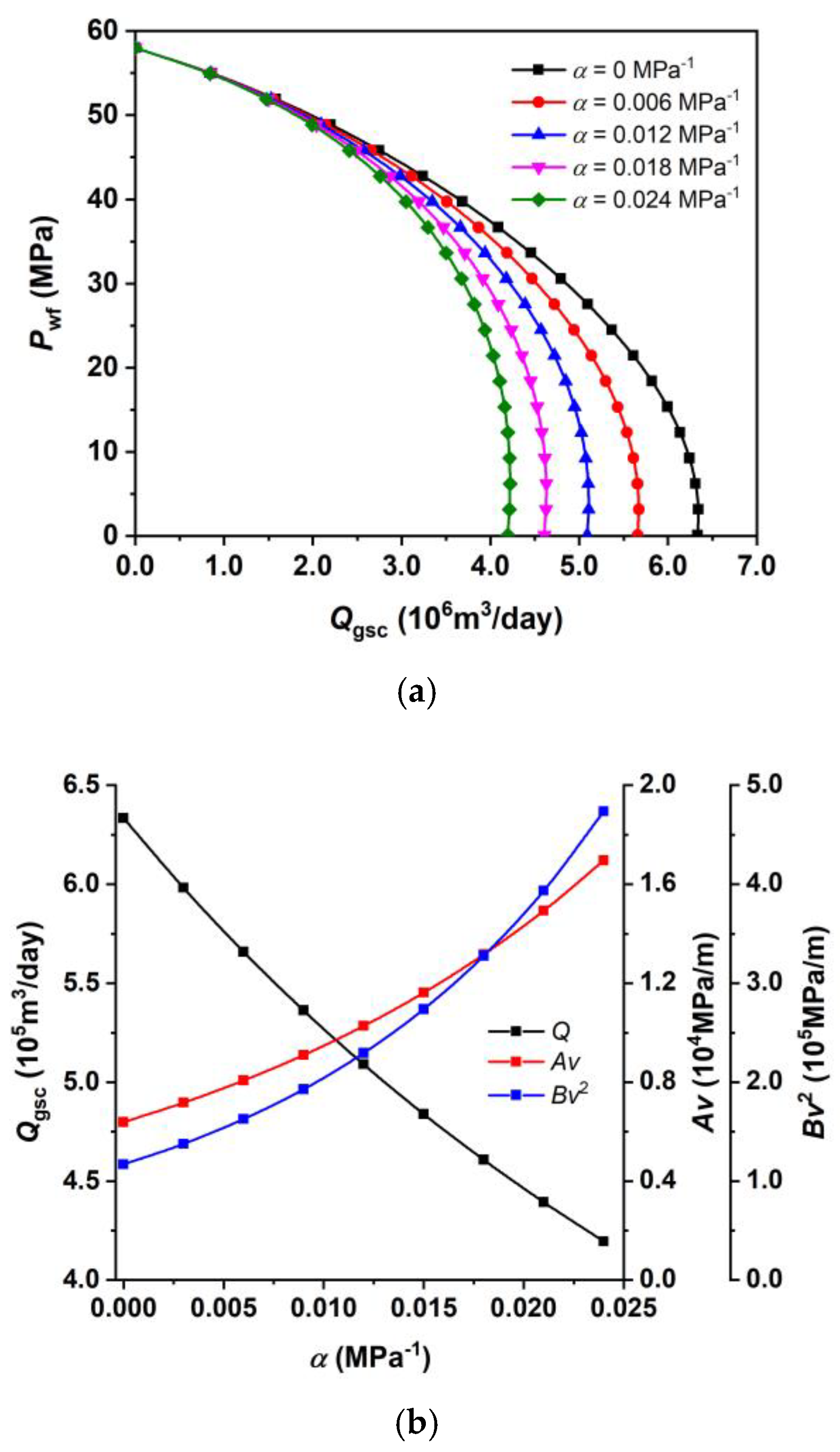
4.5. Effect of Stress Sensitivity Coefficient
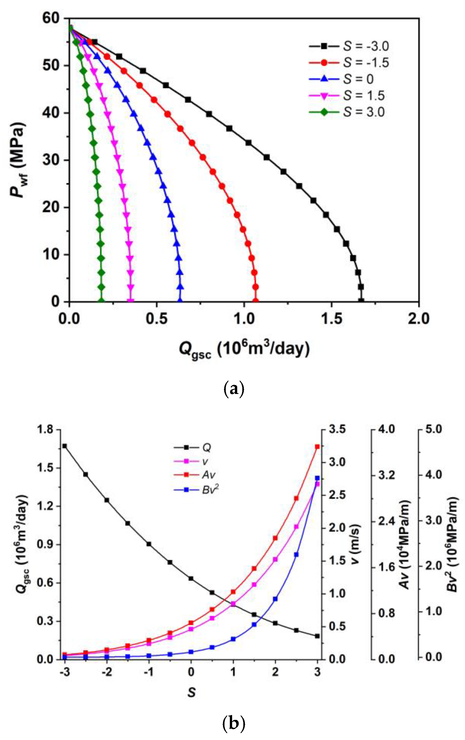
4.6. Effect of Skin Factor
5. Field Application
6. Conclusions
- A novel mathematical model considering real gas PVT behavior is developed to accurately estimate the inflow performance relationship of gas well production.
- For gas flow equations, the errors caused by traditional linearization methods and empirical formulas lead to the underestimation of gas well productivity.
- The results show that more than 90% of the energy in the flow field is consumed by inertial forces, which leads to significant high-velocity non-Darcy effects in the gas reservoir.
- The reservoir permeability, original reservoir pressure, stress sensitivity coefficient, and skin factor have a great impact on the IPR of gas reservoir production.
- This model predicts gas IPR curves with excellent accuracy and high efficiency. The high-precision gas well inflow performance relationship lays a solid foundation for dynamic production analysis, rational proration, and intelligent development of gas fields.
Author Contributions
Funding
Institutional Review Board Statement
Informed Consent Statement
Data Availability Statement
Acknowledgments
Conflicts of Interest
Nomenclature
| a | Viscosity flow coefficient, Pa·s/m2 |
| A | First-order coefficient of gas surface flow, 1018 kg/m6 |
| A1, A2 | Coefficients of the coefficient matrix, dimensionless |
| b | Inertial flow coefficient, Pa·s2/m3 |
| B | First-order coefficient of gas surface flow, 1018 kg·day/m9 |
| B1 | Coefficient of constant term, dimensionless |
| Cp | Compressibility of pore space of rock, MPa−1 |
| h | Reservoir thickness, m |
| K | Effective reservoir permeability, mD |
| Ko | Original reservoir permeability, mD |
| Krp | Relative permeability of phase, dimensionless |
| K0-h | Flowability coefficient, mD·m |
| P | Pressure, MPa |
| Pe | Original pressure, MPa |
| Pref | Reference pressure, MPa |
| Pwf | Bottom hole pressure, MPa |
| Qg | Gas flow rate at reservoir condition, m3/day |
| Qgsc | Gas flow rate at surface condition, m3/day |
| r | Radial distance, m |
| re | Supply boundary radius, m |
| rw | Well radius, m |
| S | Skin factor, dimensionless |
| Sp | Saturation of phase, dimensionless |
| Greek | |
| α | Stress sensitivity coefficient, MPa−1 |
| β | Forchheimer factor, m−1 |
| ϕ | Porosity, dimensionless |
| μg | Gas viscosity, mPa·s |
| vg | Gas velocity, m/day |
| ρg | Gas density in reservoir condition, g/cm3 |
| ρgsc | Gas density in standard condition, g/cm3 |
| Subscript | |
| g | Gas phase |
| gsc | Gas in standard condition |
References
- Muskat, M. The Flow of Homogeneous Fluids Through Porous Media. J. Geol. 1938, 46, 6. [Google Scholar] [CrossRef]
- Evinger, H.H.; Muskat, M. Calculation of Theoretical Productivity Factor. Trans. AIME 1942, 146, 126–139. [Google Scholar] [CrossRef]
- Gilbert, W.E. Flowing and gas-lift well performance. In Proceedings of the Drilling and Production Practice, Los Angeles, CA, USA, 1 January 1954. [Google Scholar]
- Weller, W.T. Reservoir Performance During Two-Phase Flow. J. Pet. Technol. 1966, 18, 240–246. [Google Scholar] [CrossRef]
- Vogel, J. Inflow Performance Relationships for Solution-Gas Drive Wells. J. Pet. Technol. 1968, 20, 83–92. [Google Scholar] [CrossRef]
- Standing, M.B. Inflow Performance Relationships for Damaged Wells Producing by Solution-Gas Drive. J. Pet. Technol. 1970, 22, 1399–1400. [Google Scholar] [CrossRef]
- Fetkovich, M.J. The isochronal testing of oil wells. In Proceedings of the Fall Meeting of the Society of Petroleum Engineers of AIME, Dallas, TX, USA, 30 September–3 October 1973. [Google Scholar]
- Klins, M.A.; Majcher, M.W. Inflow Performance Relationships for Damaged or Improved Wells Producing Under Solution-Gas Drive. J. Pet. Technol. 1992, 44, 1357–1363. [Google Scholar] [CrossRef]
- Sajedian, A.; Ebrahimi, M.; Jamialahmadi, M. Two-phase inflow performance relationship prediction using two artificial in-telligence techniques: Multi-layer perceptron versus genetic programming. Pet. Sci. Technol. 2012, 30, 1725–1736. [Google Scholar] [CrossRef]
- Dietz, D.N. Determination of Average Reservoir Pressure from Build-Up Surveys. J. Pet. Technol. 1965, 17, 955–959. [Google Scholar] [CrossRef]
- Economides, M.J.; Deimbacher, F.X.; Brand, C.W.; Heinemann, Z.E. Comprehensive simulation of horizontal well performance. SPE Form. Eval. 1997, 6, 418–426. [Google Scholar] [CrossRef]
- Aronofsky, J.S.; Jenkins, R. A Simplified Analysis of Unsteady Radial Gas Flow. J. Pet. Technol. 1954, 6, 23–28. [Google Scholar] [CrossRef]
- Jones, L.; Blount, E.; Glaze, O. Use of short term multiple rate flow tests to predict performance of wells having turbulence. In Proceedings of the SPE Annual Fall Technical Conference and Exhibition, New Orleans, LA, USA, 3–6 October 1976. [Google Scholar]
- Odeh, A. Pseudosteady-State Flow Equation and Productivity Index for a Well with Noncircular Drainage Area. J. Pet. Technol. 1978, 30, 1630–1632. [Google Scholar] [CrossRef]
- Tian, L.; Shen, Y.H.; Wang, S.J.; He, S.L. A new real-time gas well productivity evaluating method. Adv. Mater. Res. 2011, 433, 1078–1084. [Google Scholar] [CrossRef]
- Massmann, J.W. Applying Groundwater Flow Models in Vapor Extraction System Design. J. Environ. Eng. 1989, 115, 129–149. [Google Scholar] [CrossRef]
- Baehr, A.L.; Hult, M.F. Evaluation of Unsaturated Zone Air Permeability Through Pneumatic Tests. Water Resour. Res. 1991, 27, 2605–2617. [Google Scholar] [CrossRef]
- Guo, W.X. Analytical solution of transient radial air flow to an extraction well. J. Hydrol. 1997, 194, 1–14. [Google Scholar] [CrossRef]
- Di Giulio, D.C.; Varadhan, R. Development of Recommendations and Methods to Support Assessment of Soil Venting Perfor-mance and Closure. Ph.D. Thesis, The University of Arizona, Phoenix, AZ, USA, 2000. [Google Scholar]
- Raghavan, R. Well Test Analysis: Wells Producing by Solution Gas Drive. Soc. Pet. Eng. J. 1976, 16, 196–208. [Google Scholar] [CrossRef]
- Fevang, O. Gas Condensate Flow Behavior and Sampling. Ph.D. Thesis, Norges Tekniske Hogskole, Trondheim, Norway, 1995. [Google Scholar]
- Wang, Y.; Liu, H.; Zhou, Y. Development of a deep learning-based model for the entire production process of steam-assisted gravity drainage (SAGD). Fuel 2021, 287, 119565. [Google Scholar] [CrossRef]
- Wang, Y.; Liu, H.; Wang, J.; Dong, X.; Chen, F. Formulation development and visualized investigation of temperature-resistant and salt-tolerant surfactant-polymer flooding to enhance oil recovery. J. Pet. Sci. Eng. 2019, 174, 584–598. [Google Scholar] [CrossRef]
- Al-Hussainy, R.; Ramey, H.J.; Crawford, P.B. The Flow of Real Gases Through Porous Media. J. Pet. Technol. 1966, 18, 624–636. [Google Scholar] [CrossRef]
- Raghavan, R.; Scorer, J.D.T.; Miller, F.G. An Investigation by Numerical Methods of the Effect of Pressure-Dependent Rock and Fluid Properties on Well Flow Tests. Soc. Pet. Eng. J. 1972, 12, 267–275. [Google Scholar] [CrossRef]
- Samaniego, V.F.; Brigham, W.E.; Miller, F.G. An investigation of transient flow of reservoir fluids considering pressure-dependent rock and fluids properties. SPE J. 1977, 17, 141–150. [Google Scholar] [CrossRef]
- Samaniego, V.F.; Brigham, W.E.; Miller, F.G. Performance-prediction procedure for transient flow of fluids through pressure-sensitive formations. J. Petrol. Technol. 1979, 31, 779–786. [Google Scholar] [CrossRef]
- Dranchuk, P.M.; Abou-Kassem, J.H. Calculation of Z Factors for Natural Gases Using Equations of State. J. Can. Pet. Technol. 1975, 14, 34–36. [Google Scholar] [CrossRef]
- Lee, A.L.; Gonzalez, M.H.; Eakin, B.E. The Viscosity of Natural Gases. J. Pet. Technol. 1966, 18, 997–1000. [Google Scholar] [CrossRef]
- Setzmann, U.; Wagner, W. A New Equation of State and Tables of Thermodynamic Properties for Methane Covering the Range from the Melting Line to 625 K at Pressures up to 100 MPa. J. Phys. Chem. Ref. Data 1991, 20, 1061–1155. [Google Scholar] [CrossRef]
- Mulero, A.; Cachadi, A.I. Recommended correlations for the surface tension of several fluids included in the REFPROP pro-gram. J. Phys. Chem. Ref. Data 2014, 43, 169. [Google Scholar] [CrossRef]
- Forchheimer, P.H. Wasserbewegung durch boden. VDI Z. 1901, 45, 1782–1788. [Google Scholar]
- Smith, V. Unsteady-state gas flow into gas wells. J. Petrol. Technol. 1961, 13, 1151–1159. [Google Scholar] [CrossRef]
- Swift, G.W.; Kiel, O.G. The Prediction of Gas-Well Performance Including the Effect of Non-Darcy Flow. J. Pet. Technol. 1962, 14, 791–798. [Google Scholar] [CrossRef]
- Yang, J.; He, F.; Zou, Y. A study on dynamic productivity calculation for gas well using data from pressure transient testing. Nat. Gas Ind. 2007, 27, 95–96. [Google Scholar]
- Li, X.; Hu, Y. A discussion on the transient inflow performance relationship curve of gas-water well. Nat. Gas Ind. 2001, 21, 65–67. [Google Scholar]
- Zhang, L.; Zhu, S.; Wang, K.; Zhou, L. Study of the high speed non-Darcy gas percolation model. Xinjiang Pet. Geol. 2004, 25, 165–167. [Google Scholar]
- Clarkson, C.R.; Qanbari, F.; Nobakht, M.; Heffner, L. Incorporating Geomechanical and Dynamic Hydraulic-Fracture-Property Changes into Rate-Transient Analysis: Example from the Haynesville Shale. SPE Reserv. Eval. Eng. 2013, 16, 303–316. [Google Scholar] [CrossRef]
- Geertsma, J. Estimating the Coefficient of Inertial Resistance in Fluid Flow Through Porous Media. Soc. Pet. Eng. J. 1974, 14, 445–450. [Google Scholar] [CrossRef]
- Frederick, D.; Graves, R. New correlations to predict non-Darcy flow coefficients at immobile and mobile water saturation. In Proceedings of the SPE Annual Technical Conference and Exhibition, New Orleans, LA, USA, 28 September 1994. [Google Scholar]












| Parameters | Value | Unit |
|---|---|---|
| Reservoir thickness | 45 | m |
| Porosity | 0.07 | - |
| Permeability | 1 | mD |
| Original reservoir pressure | 58 | MPa |
| Reservoir temperature | 116 | °C |
| Initial gas saturation | 0.4 | - |
| Drainage radius | 500 | m |
| Wellbore radius | 0.0762 | m |
| Test Date | Test Phase | Test Time (h) | Daily Surface Gas Production Rate (104 m3/d) | Well Bottom Hole Pressure (MPa) |
|---|---|---|---|---|
| 2019.3.13–3.25 | Productivity test | 8 | 10.34 | 52.5 |
| 8 | 15.75 | 51.96 | ||
| 8 | 20.29 | 51.48 | ||
| 8 | 27.14 | 50.71 | ||
| Well shut-in | 30 | 53.44 |
Publisher’s Note: MDPI stays neutral with regard to jurisdictional claims in published maps and institutional affiliations. |
© 2021 by the authors. Licensee MDPI, Basel, Switzerland. This article is an open access article distributed under the terms and conditions of the Creative Commons Attribution (CC BY) license (https://creativecommons.org/licenses/by/4.0/).
Share and Cite
Zhang, S.; Liu, H.; Wang, Y.; Sun, K.; Guo, Y. A Novel Mathematical Model Considering Real Gas PVT Behavior to Estimate Inflow Performance Relationship of Gas Well Production. Energies 2021, 14, 3594. https://doi.org/10.3390/en14123594
Zhang S, Liu H, Wang Y, Sun K, Guo Y. A Novel Mathematical Model Considering Real Gas PVT Behavior to Estimate Inflow Performance Relationship of Gas Well Production. Energies. 2021; 14(12):3594. https://doi.org/10.3390/en14123594
Chicago/Turabian StyleZhang, Shuang, Huiqing Liu, Yanwei Wang, Ke Sun, and Yunfei Guo. 2021. "A Novel Mathematical Model Considering Real Gas PVT Behavior to Estimate Inflow Performance Relationship of Gas Well Production" Energies 14, no. 12: 3594. https://doi.org/10.3390/en14123594
APA StyleZhang, S., Liu, H., Wang, Y., Sun, K., & Guo, Y. (2021). A Novel Mathematical Model Considering Real Gas PVT Behavior to Estimate Inflow Performance Relationship of Gas Well Production. Energies, 14(12), 3594. https://doi.org/10.3390/en14123594

