Stamp-Charged Coke-Making Technology—The Effect of Charge Density and the Addition of Semi-Soft Coals on the Structural, Textural and Quality Parameters of Coke
Abstract
1. Introduction
2. Materials and Methods
2.1. Coal and Coking Blends
2.2. Coking Process Simulation and Coke Properties Evaluation
3. Results
3.1. Coke Texture—XRD and Optcal Parameters of Obtainded Cokes
3.2. Coke Structure
3.2.1. CO2 and N2 Sorption Methods Parameters
3.2.2. Pycnometric Methods Parameters—Total Pore Volume, Real and Apparent Density, and Total Porosity
3.3. Technological Parameters of Obtainded Cokes
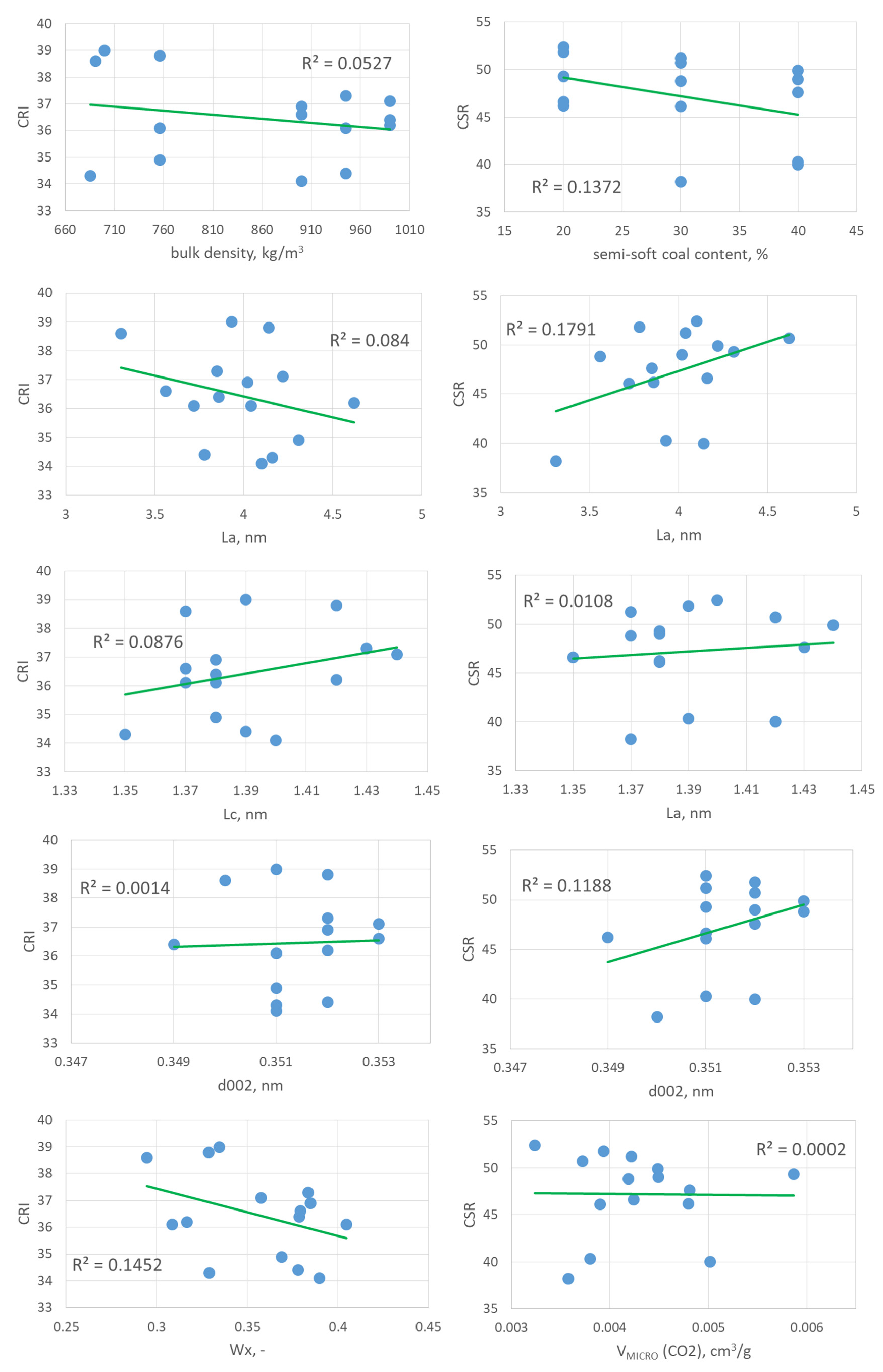
3.4. Analysis of the Impact of Parameters Characterizing the Structure and Texture of Coke on Its Quality Indicators
4. Discussion
5. Conclusions
- -
- No significant influence of the aforementioned factors on the parameters related to the coke microtexture, assessed by the XRD method (only a slight increase in the Lc parameter was observed with the increase in the semi-soft carbon content), or on the structure parameters, assessed by N2 and CO2 sorption method.
- -
- Both the share of semi-soft coal and the coal charge density have an impact on the selected parameters of the structure and texture of the coke: along with the increase in the density of the charge, an increase in the texture anisotropy assessed by fibrosity index Wx and an increase in apparent coke density ρapp were observed. The value of total porosity P and the total pore volume VTOTAL of coke decreased.
- -
- Both factors also influenced the change in the coke quality indices assessed with the NSC method. Coal blend density affected CSR the most (increase in CSR with increase in batch density) and to a lesser extent on CRI. On the other hand, the content of semi-soft coal had a greater impact on CRI (increase in CRI with an increase in the content of semi-soft carbon) and less on CSR—a slight decrease in CSR, visible especially for the lowest charge densities. The increase in charge density resulted in partial compensation of the unfavorable effect of the increased content of semi-soft coal.
- -
- The aforementioned changes in the NSC indices are attributed to the aforementioned textural and structural changes, i.e., an increase in CSR results primarily from a decrease in total porosity (including total pore volume) and an increase in coke anisotropy. The decrease in CRI with an increase in density is also attributed to an improvement in anisotropy and a decrease in porosity—limited access to the gasifying agent. On the other hand, the increase in CRI with an increase in the content of semi-soft coal is most likely due to the higher reactivity of this coal as well as the increase in the share of alkaline components catalyzing the gasification reaction of the coke matrix.
- -
- Increasing the coal charge density (by use of stamp charging method) enables the introduction of a larger amount of cheaper and weaker semi-soft coal into the coking blend without deteriorating the coke quality. The coke produced with 40% share of the semi-soft coal for the density corresponding to the stamp charging system was characterized by the value of the CSR index at a level similar to that obtained for 20% of its content for the density corresponding to the top-charging system. It follows that the use of a higher charge density, in particular the stamping technology, allows to reduce the cost of the coal blend and improve the economy of coke production.
- -
- Taking into account the current and forecast situation on the global coal and coke market, including the deficit in the best quality coals, in the case of new investments it is recommended to build a battery using the stamp-charging technology. However, when making a decision to renew the production capacity of the operating gravity-charged batteries, it is recommended to change the technology to the compacted charge. In addition to the aforementioned benefit in the form of a reduction in the cost of the blend (assuming the production of coke of similar quality), this will allow in the future to meet the requirements of customers in a situation of further increases in coke quality requirements—especially the CSR index.
Author Contributions
Funding
Data Availability Statement
Conflicts of Interest
Appendix A
| Coal Charge | XRD Parameters | |||
|---|---|---|---|---|
| No. | ρd, kg/m3 | La, nm | Lc, nm | d002, nm |
| BD20 | 686 | 4.16 | 1.35 | 0.351 |
| 756 | 4.31 | 1.38 | 0.351 | |
| 900 | 4.10 | 1.40 | 0.351 | |
| 945 | 3.78 | 1.39 | 0.352 | |
| 990 | 3.86 | 1.38 | 0.349 | |
| BD30 | 691 | 3.31 | 1.37 | 0.350 |
| 756 | 3.72 | 1.38 | 0.351 | |
| 900 | 3.56 | 1.37 | 0.353 | |
| 945 | 4.04 | 1.37 | 0.351 | |
| 990 | 4.62 | 1.42 | 0.352 | |
| BD40 | 700 | 3.93 | 1.39 | 0.351 |
| 756 | 4.14 | 1.42 | 0.352 | |
| 900 | 4.02 | 1.38 | 0.352 | |
| 945 | 3.85 | 1.43 | 0.352 | |
| 990 | 4.22 | 1.44 | 0.353 | |
| ue * ±, nm | 0.2 | 0.04 | n/a | |
| Dependent Variables | Independent Variables | SS | df | MS | F | Fcr | Significance |
|---|---|---|---|---|---|---|---|
| La | Sc | 0.1168 | 2 | 0.0584 | 0.49 | 4.46 | No |
| ρd | 0.3538 | 4 | 0.0884 | 0.75 | 3.84 | No | |
| residual value | 0.9494 | 8 | 0.1187 | - | - | - | |
| total | 1.4200 | 14 | - | - | - | - | |
| Lc | Sc | 0.0032 | 2 | 0.0016 | 4.50 | 4.46 | Yes |
| ρd | 0.0031 | 4 | 0.0008 | 2.18 | 3.84 | No | |
| residual value | 0.0029 | 8 | 0.0004 | - | - | - | |
| total | 0.0092 | 14 | - | - | - | - | |
| d002 | Sc | 0.000004 | 2 | 0.000002 | 1.59 | 4.46 | No |
| ρd | 0.000003 | 4 | 0.000001 | 0.65 | 3.84 | No | |
| residual value | 0.000009 | 8 | 0.000001 | - | - | - | |
| total | 0.000016 | 14 | - | - | - | - |
| Coal Charge | Texture Content, % | Fibrosity Index Wx | |||
|---|---|---|---|---|---|
| No. | ρd, kg/m3 | Circular | Lenticular | Ribbon | |
| BD20 | 686 | 40.00 | 27.20 | 5.40 | 0.33 |
| 756 | 33.53 | 35.12 | 6.35 | 0.37 | |
| 900 | 27.80 | 33.6 | 12.20 | 0.39 | |
| 945 | 27.20 | 38.00 | 7.40 | 0.38 | |
| 990 | 20.96 | 40.32 | 8.59 | 0.38 | |
| BD30 | 691 | 51.98 | 18.38 | 3.36 | 0.29 |
| 756 | 47.30 | 16.94 | 9.41 | 0.31 | |
| 900 | 42.00 | 26.00 | 13.00 | 0.38 | |
| 945 | 35.24 | 33.24 | 14.64 | 0.40 | |
| 990 | 42.02 | 24.51 | 5.06 | 0.32 | |
| BD40 | 700 | 44.40 | 28.87 | 2.56 | 0.33 |
| 756 | 41.35 | 29.03 | 3.58 | 0.33 | |
| 900 | 22.37 | 42.18 | 5.35 | 0.38 | |
| 945 | 29.43 | 38.15 | 6,49 | 0.38 | |
| 990 | 32.61 | 38.57 | 1.20 | 0.36 | |
| Dependent Variables | Independent Variables | SS | df | MS | F | Fcr | Significance |
|---|---|---|---|---|---|---|---|
| Content of circular texture | Sc | 502.4 | 2 | 251.2 | 15.58 | 4.46 | Yes |
| ρd | 556.9 | 4 | 139.2 | 8.63 | 3.84 | Yes | |
| residual value | 129.0 | 8 | 16.1 | - | - | - | |
| total | 1188.2 | 14 | - | - | - | - | |
| Content of lenticular texture | Sc | 425.5 | 2 | 212.8 | 16.04 | 4.46 | Yes |
| ρd | 311.5 | 4 | 77.9 | 5.87 | 3.84 | Yes | |
| residual value | 106.1 | 8 | 13.3 | - | - | - | |
| total | 843.2 | 14 | - | - | - | - | |
| Content of ribbon texture | Sc | 76.85 | 2 | 38.42 | 6.54 | 4.46 | Yes |
| ρd | 94.05 | 4 | 23.51 | 4.00 | 3.84 | No | |
| residual value | 47.02 | 8 | 5.88 | - | - | - | |
| total | 217.92 | 14 | - | - | - | - | |
| Fibrosity index Wx | Sc | 0.002253 | 2 | 0.001127 | 3.13 | 4.46 | No |
| ρd | 0.010840 | 4 | 0.002710 | 7.53 | 3.84 | Yes | |
| residual value | 0.002880 | 8 | 0.000360 | - | - | - | |
| total | 0.015973 | 14 | - | - | - | - |
| Coal Charge | CO2 Adsorption | N2 Adsorption | ||||
|---|---|---|---|---|---|---|
| No. | ρd, kg/m3 | VMICRO, cm3/g (10−4) (CO2) | SDR, m2/g (CO2) | VMICRO, cm3/g (10−4) (N2) | VMESO, cm3/g (10−4) (N2) | SBET m2/g (N2) |
| BD20 | 686 | 42.38 | 9.16 | 1.29 | 8.41 | 0.47 |
| 756 | 58.68 | 12.69 | 1.27 | 6.17 | 0.35 | |
| 900 | 32.35 | 7.00 | 1.50 | 6,79 | 0.42 | |
| 945 | 39.35 | 8.81 | 1.09 | 5.09 | 0.32 | |
| 990 | 47.94 | 10.36 | 1.03 | 5.01 | 0.31 | |
| BD30 | 691 | 35.78 | 7.73 | 1.44 | 6.08 | 0.38 |
| 756 | 39.01 | 8.43 | 1.42 | 5.86 | 0.39 | |
| 900 | 41.85 | 9.01 | 1.20 | 6.62 | 0.33 | |
| 945 | 42.18 | 9.12 | 1.26 | 7.62 | 0.35 | |
| 990 | 37.18 | 8.03 | 1.18 | 5.95 | 0.33 | |
| BD40 | 700 | 37.97 | 8.21 | 1.44 | 6.0 | 0.39 |
| 756 | 50.18 | 10.85 | 1.16 | 5.9 | 0.36 | |
| 900 | 44.91 | 9.71 | 1.43 | 6.4 | 0.41 | |
| 945 | 48.11 | 10.40 | 1.36 | 5.72 | 0.38 | |
| 990 | 44.87 | 9.70 | 1.05 | 5.86 | 0.28 | |
| ue ±,% | 10.7 | 10.7 | 8.7 | 4.7 | 5.1 | |
| Dependent Variables | Independent Variables | SS | df | MS | F | Fcr | Significance |
|---|---|---|---|---|---|---|---|
| VMICRO (CO2) | Sc | 102.73 | 2 | 51.37 | 1.36 | 4.46 | No |
| ρd | 206.63 | 4 | 51.66 | 1.37 | 3.84 | No | |
| residual value | 301.72 | 8 | 37.71 | - | - | - | |
| total | 611.08 | 14 | - | - | - | - | |
| SDR (CO2) | Sc | 5.07 | 2 | 2.54 | 1.52 | 4.46 | No |
| ρd | 9.79 | 4 | 2.45 | 1.46 | 3.84 | Nie | |
| residual value | 13.38 | 8 | 1.67 | - | - | - | |
| total | 28.24 | 14 | - | - | - | - | |
| VMICRO (N2) | Sc | 0.0116 | 2 | 0.0058 | 0.34 | 4.46 | No |
| ρd | 0.1817 | 4 | 0.0454 | 2.65 | 3.84 | No | |
| residual value | 0.1373 | 8 | 0.0172 | - | - | - | |
| total | 0.3306 | 14 | - | - | - | - | |
| VMESO (N2) | Sc | 0.5351 | 2 | 0.2675 | 0.29 | 4.46 | No |
| ρd | 2.8788 | 4 | 0.7197 | 0.78 | 3.84 | No | |
| residual value | 7.3534 | 8 | 0.9192 | - | - | - | |
| total | 10.7672 | 14 | - | - | - | - | |
| SBET (N2) | Sc | 0.0008 | 2 | 0.0004 | 0.25 | 4.46 | No |
| ρd | 0.0193 | 4 | 0.0048 | 3.00 | 3.84 | No | |
| residual value | 0.0129 | 8 | 0.0016 | - | - | - | |
| total | 0.0330 | 14 | - | - | - | - |
| Coal Charge | Parameters | ||||
|---|---|---|---|---|---|
| No. | ρd, kg/m3 | ρt, g/cm3 | VTOTAL, cm3/g | ρapp, g/cm3 | P, % |
| BD20 | 686 | 1.8043 | 0.5175 | 0.933 | 48.2 |
| 756 | 1.8053 | 0.4816 | 0.9656 | 46.5 | |
| 900 | 1.7955 | 0.474 | 0.9699 | 46.0 | |
| 945 | 1.8038 | 0.4944 | 0.9534 | 47.1 | |
| 990 | 1.8086 | 0.4381 | 1.009 | 44.2 | |
| BD30 | 691 | 1.7838 | 0.5672 | 0.8824 | 50.5 |
| 756 | 1.8234 | 0.5256 | 0.931 | 48.9 | |
| 900 | 1.8074 | 0.4929 | 0.9558 | 47.1 | |
| 945 | 1.8008 | 0.461 | 0.9839 | 45.4 | |
| 990 | 1.8297 | 0.4528 | 1.0006 | 45.3 | |
| BD40 | 700 | 1.8079 | 0.5257 | 0.9268 | 48.7 |
| 756 | 1.8019 | 0.4923 | 0.9548 | 47.0 | |
| 900 | 1.8055 | 0.491 | 0.957 | 47.0 | |
| 945 | 1.8071 | 0.4622 | 0.9845 | 45.5 | |
| 990 | 1.8148 | 0.4553 | 0.9937 | 45.2 | |
| ue ± (%) | 0.1 | 2.2 | 0.8 | 1.4 | |
| Dependent Variables | Independent Variables | SS | df | MS | F | Fcr | Significance |
|---|---|---|---|---|---|---|---|
| P | Sc | 2.90 | 2 | 1.45 | 1.77 | 4.46 | No |
| ρd | 30.42 | 4 | 7.61 | 9.31 | 3.84 | Yes | |
| residual value | 6.54 | 8 | 0.82 | - | - | - | |
| total | 39.86 | 14 | - | - | - | - | |
| VTOTAL | Sc | 0.0010 | 2 | 0.0005 | 1.49 | 4.46 | No |
| ρd | 0.0129 | 4 | 0.0032 | 9.90 | 3.84 | Yes | |
| residual value | 0.0026 | 8 | 0.0003 | - | - | - | |
| total | 0.0165 | 14 | - | - | - | - | |
| ρtr | Sc | 0.0019 | 2 | 0.0009 | 1.14 | 4.46 | No |
| ρd | 0.0026 | 4 | 0.0006 | 0.77 | 3.84 | No | |
| residual value | 0.0066 | 8 | 0.0008 | - | - | - | |
| total | 0.0111 | 14 | - | - | - | - | |
| ρapp | Sc | 0.0007 | 2 | 0.0003 | 1.15 | 4.46 | No |
| ρd | 0.0123 | 4 | 0.0031 | 10.45 | 3.84 | Yes | |
| residual value | 0.0023 | 8 | 0.0003 | - | |||
| total | 0.0153 | 14 | - | - | - | - |
| Coal Charge | NSC Parameters | ||
|---|---|---|---|
| No. | ρd, kg/m3 | CRI, % | CSR, % |
| BD20 | 686 | 34.3 | 46.6 |
| 756 | 34.9 | 49.3 | |
| 900 | 34.1 | 52.4 | |
| 945 | 34.4 | 51.8 | |
| 990 | 36.4 | 46.2 | |
| BD30 | 691 | 38.6 | 38.2 |
| 756 | 36.1 | 46.1 | |
| 900 | 36.6 | 48.8 | |
| 945 | 36.1 | 51.2 | |
| 990 | 36.2 | 50.7 | |
| BD40 | 700 | 39.0 | 40.3 |
| 756 | 38.8 | 40 | |
| 900 | 36.9 | 49 | |
| 945 | 37.3 | 47.6 | |
| 990 | 37.1 | 49.9 | |
| ue ± p. % | 0.5 | 1.1 | |
| Dependent Variables | Independent Variables | SS | df | MS | F | Fcr | Significance |
|---|---|---|---|---|---|---|---|
| CRI | Sc | 23.03 | 2 | 11.52 | 11.59 | 4.46 | Yes |
| ρd | 4.10 | 4 | 1.02 | 1.03 | 3.84 | No | |
| residual value | 7.95 | 8 | 0.99 | - | - | - | |
| total | 35.08 | 14 | - | - | - | - | |
| CSR | Sc | 38.35 | 2 | 19.17 | 2.06 | 4.46 | No |
| ρd | 164.23 | 4 | 41.06 | 4.41 | 3.84 | Yes | |
| residual value | 74.55 | 8 | 9.32 | - | - | - | |
| total | 277.13 | 14 | - | - | - | - |



References
- Papież, M.; Śmiech, S. Using Svecm Model for the Analysis of the Relations between Raw Material Prices and Steel Prices on the European Market in the Period 2003–2011. Stat. Rev. 2012, 59, 504. [Google Scholar]
- Available online: www.worldsteel.org and https://www.worldsteel.org/steel-by-topic/statistics/annual-production-steel-data/P1_crude_steel_total_pub/CHN/IND and https://www.worldsteel.org/steel-by-topic/statistics/steel-data-viewer_new/P1_crude_steel_total_pub/CHN/IND (accessed on 8 June 2021).
- Kosyrczyk, L.; Stelmach, S.; Gaska, K.; Generowicz, A.; Iwaszczuk, N.; Kardaś, D. Optimization of Thermal Parameters of the Coke Oven Battery by Modified Methodology of Temperature Measurement in Heating Flues as the Management Tool in the Cokemaking Industry. Energies 2021, 14, 904. [Google Scholar] [CrossRef]
- Karcz, A.; Strugała, A. Increasing chances of utilizing the domestic coking coal resources through technological operations in coal blend preparation. Miner. Resour. Manag. 2008, 24, 5–18. [Google Scholar]
- Ahmed, H. New Trends in the Application of Carbon-Bearing Materials in Blast Furnace Iron-Making. Minerals 2018, 8, 561. [Google Scholar] [CrossRef]
- Zołotuchin, J.A.; Andrejczikov, N.S.; Kukolev, J.B. Quality Requirements on Coke for Blast Furnaces Operating with Coal-Dust Fuel. Coke Chem. 2009, 52, 110. [Google Scholar] [CrossRef]
- Zhou, D.; Cheng, S.; Wang, Y.; Jiang, X. Production and Development of Large Blast Furnaces from 2011to 2014 in China. ISIJ Int. 2015, 55, 2519. [Google Scholar] [CrossRef]
- Żarczyński, P.; Strugała, A. Studies on the Possibility of Extending Coal Resources for Coke Production through the Application of Coal Predrying. Energy Fuels 2018, 32, 5666. [Google Scholar] [CrossRef]
- Li, K.; Khanna, R.; Zhang, J.; Liu, Z.; Sahajwalla, V.; Yang, T.; Deven, K. The evolution of structural order, microstructure and mineral matter of metallurgical coke in a blast furnace: A review. Fuel 2014, 133, 194. [Google Scholar] [CrossRef]
- Tiwari, H.P.; Haldar, S.K.; Das, A.; Mishra, P.; Kumar, A.; Khattri, P. Potential Use of High Ash Indian Medium Coking Coal in Stamp Charged Coke Making. Int. J. Coal Prep. Util. 2017, 39, 101. [Google Scholar] [CrossRef]
- Nag, D.; Haldar, S.K.; Choudhary, P.K.; Banerjee, P.K. Prediction of Coke CSR from Ash Chemistry of Coal Blend. Int. J. Coal Prep. Util. 2009, 29, 243. [Google Scholar] [CrossRef]
- Loison, R.; Foch, P.; Boyer, A. Coke. Quality and Production; Butterworths: London, UK, 1989. [Google Scholar]
- Patrick, J.W.; Walker, A. Macroporosity in cokes: Its significance, measurement, and control. Carbon 1989, 27, 117. [Google Scholar] [CrossRef]
- Pusz, S.; Kwiecińska, B.; Koszorek, A.; Krzesińska, M.; Pilawa, B. Relationships between the optical reflectance of coal blends and the microscopic characteristics of their cokes. Int. J. Coal Geol. 2009, 77, 356. [Google Scholar] [CrossRef]
- Rouzaud, J.N.; Vogt, D.; Oberlin, A. Coke properties and their microtexture; Part I: Micro textural analysis: A guide for cokemaking. Fuel Process. Technol. 1988, 20, 143. [Google Scholar] [CrossRef]
- Available online: www.statista.com and https://www.statista.com/statistics/779868/forecasted-price-of-coking-coal-by-type/ (accessed on 15 May 2021).
- European Commission. Study on the EU’s List of Critical Raw Materials, Factsheets on Critical Raw Materials; European Union: Luxembourg, 2020. [Google Scholar] [CrossRef]
- Sobolewski, A.; Rejdak, M.; Czaplicki, A.; Janusz, M.; Mianowski, A. The effect of coal charge preparation on coke quality. Przemysł Chem. 2014, 93, 2103. [Google Scholar]
- Madias, J.; de Cordova, M. A Review on Stamped Charging of Coals. In Proceedings of the 43rd Ironmaking and Raw Materials Seminar, Belo Horizonte, Brazil, 4 September 2013; p. 29. [Google Scholar]
- Rudyka, V.I.; Kravchenko, S.A.; Solovjov, M.A.; Malyna, V.P. Innovations in World Cokemaking Technologies: A Report on the ESTAD 2019 Steel Conference. Coke Chem. 2020, 63, 283–293. [Google Scholar] [CrossRef]
- Rejdak, M.; Wasielewski, R. Mechanical compaction of coking coals for carbonization in stamp-charging coke ovens. Physicochem. Probl. Miner. Process. 2015, 51, 151. [Google Scholar] [CrossRef]
- Janta, F. Experience in determining the functional dependence of coke quality indicators on the method of filling coke chambers and density. Koks Smoła Gaz 1965, 10, 225. (In Polish) [Google Scholar]
- Byrtus, F.; Foerster, A. Research on the use of high compaction of coal charge for the production of metallurgical coke. Works Inst. Metall. Gliw. 1952, 4, 213. (In Polish) [Google Scholar]
- Kalinowski, B.; Grossman, A.; Kowalski, B. Influence of coal charge concentration on coke strength parameters. Hutnik 1955, 7–8, 247. (In Polish) [Google Scholar]
- Leibrock, H.; Petak, H. Coke production from low-coking coal blends by densification. Fuel Process. Technol. 1983, 7, 91. [Google Scholar] [CrossRef]
- Arendt, P.; Huhn, F.; Kühl, H.; Sbierczik, G. CRI and CSR—An assessment of influential factors. Cokemak. Int. 2000, 12, 62. [Google Scholar]
- Veit, G.; Yassin, K. Economic efficiency of stamp charging technology. Cokemak. Int. 1998, 10, 56. [Google Scholar]
- Chatterjee, A.; Prasad, H.N. Advent of Stamp Charging—A Boon for Cokemaking in Integrated Steel Plants in India. Cokemak. Int. 1994, 6, 12. [Google Scholar]
- Chatterjee, A. Changeover of the coke production at Tata Steel from top charging to stamp charging technology. Cokemak. Int. 2001, 2, 75. [Google Scholar]
- Prasad, H.M.; Singh, B.K.; Chatterjee, A. Production of high CSR coke by Stamp charging-possibilities and limitation. Cokemak. Int. 1999, 1, 50. [Google Scholar]
- Wright, R. Compacting of coal for heat recovery ovens Illawarra coke company pty ltd coalcliffe, Nsw, Australia. In Proceedings of the 5th European Iron & Cokemaking Conference, Stockholm, Sweden, 12–15 June 2005. [Google Scholar]
- Veit, G.; D’Lima, P.F.X. Combining stamp charging with the heat recovery process. AISE Steel Technol. 2002, 19, 24–29. [Google Scholar]
- Nyathi, M.S.; Kruse, R.; Mastalerz, M.; Blish, D. Impact of Oven Bulk Density and Coking Rate on Stamp-Charged Metallurgical Coke Structural Properties. Energy Fuels 2013, 27, 7876. [Google Scholar] [CrossRef]
- Meng, Q.; Wang, Q. Achievements of cokemaking industry and their supports to iron and Steel industry in China. In Proceedings of the 6th ICSTI, Rio de Janeiro, Brazil, 14–18 October 2012; p. 520. [Google Scholar]
- Zhang, Y.; Bai, J.; Xu, J.; Zhong, X.; Zhao, Z.; Liu, H. Effects of stamp-charging coke making on strength and high temperature thermal properties of coke. J. Environ. Sci. 2013, 25, 190. [Google Scholar] [CrossRef]
- Wasielewski, R.; Rejdak, M.; Piechaczek, M. Study on the influence of coal charge densification on coke quality parameters and its optical properties. Karbo 2012, 3, 173. [Google Scholar]
- Rejdak, M.; Bigda, R.; Wojtaszek, M. Use of Alternative Raw Materials in Coke-Making: New Insights in the Use of Lignites for Blast Furnace Coke Production. Energies 2020, 13, 2832. [Google Scholar] [CrossRef]
- Sciazko, M.; Mertas, B.; Kosyrczyk, L.; Sobolewski, A. A Predictive Model for Coal Coking Based on Product Yield and Energy Balance. Energies 2020, 13, 4953. [Google Scholar] [CrossRef]
- Scherrer, P. Bestimmung der Grösse und der Inneren Struktur von Kolloidteilchen Mittels Röntgenstra-hlen.J. Nachrichten von der Gesellschaft derWissenschaften, Göttingen. Math. Phys. 1918, 2, 98. [Google Scholar]
- Stan, C.V.; Beavers, C.M.; Kunz, M.; Tamura, N. X-ray Diffraction under Extreme Conditions at the Advanced Light Source. Quantum Beam Sci. 2018, 2, 4. [Google Scholar] [CrossRef]
- Piechaczek, M.; Mianowski, A.; Sobolewski, A. The original concept of description of the coke optical texture. Int. J. Coal Geol. 2015, 139, 184–190. [Google Scholar] [CrossRef]
- Volk, W. Applied Statistic for Engineers, 2nd ed.; Krieger Pub Co: Huntington, NY, USA, 1980. [Google Scholar]
- Shi, F.; Su, X.; Qian, H.; Yang, N.; Han, W. Research on the Fusion of Dependent Evidence Based on Rank Correlation Coefficient. Sensors 2017, 17, 2362. [Google Scholar] [CrossRef] [PubMed]
- Kang, J.-S.; Shin, D.-H.; Baek, J.-W.; Chung, K. Activity Recommendation Model Using Rank Correlation for Chronic Stress Management. Appl. Sci. 2019, 9, 4284. [Google Scholar] [CrossRef]
- Thrower, P.A. Chemistry and Physics of Carbon, 1st ed.; Marcel Dekker, Inc.: New York, NY, USA, 1989. [Google Scholar]
- Koba, K.; Sakata, K.; Ida, S. Gasification studies of cokes from coals. The effects of carbonization pressure on optical texture and porosity. Fuel 1981, 60, 499. [Google Scholar] [CrossRef]
- Vogt, D.; Veber, J.V.; Rozaud, J.N.; Schneider, R. Coke properties and their microstructure: Part II: Coke carboxyreactivity—Relations to their texture. Fuel Process. Technol. 1988, 20, 155. [Google Scholar] [CrossRef]
- Pusz, S.; Gomez-Borrego, A.; Alvarez, D.; Camean, I.; du Cann, V.; Duber, S.; Kalkreuth, W.; Komorek, J.; Kus, J.; Kwiecińska, B.; et al. Application of Reflectance Parameters in the Estimation of the Structural Order of Coals and Carbonaceous Materials. Precision and bias of measurements derived from the ICCP Structural Working Group. Int. J. Coal Geol. 2014, 131, 147. [Google Scholar] [CrossRef][Green Version]
- Strójwąs, A. Comparative Analysis of the Course of Chemical and Structural Chemical Changes of Coal with Different Sinterity during Pyrolysis. Ph.D. Thesis, Jan Kochanowski University of Kielce, Kielce, Poland, 2012. (In Polish). [Google Scholar]
- Suarez-Ruiz, I.; Garcia, A.B. Optical parameters as a toll to study the microtextural evolution of carbonized anthracites during high temperature treatment. Energy Fuels 2007, 21, 2935. [Google Scholar] [CrossRef]
- Smędowski, Ł.; Krzesińska, M. Molecular oriented domains (MOD) and their effect on technological parameters within the structure of cokes produced from binary and ternary coal blends. Int. J. Coal Geol. 2013, 111, 90. [Google Scholar] [CrossRef]
- Radovic, L.R.; Walker, P.L., Jr.; Jenkins, R.G. Importance of carbon active sites in the gasification of coal chars. Fuel 1983, 62, 849. [Google Scholar] [CrossRef]
- Kim, B.C. High Temperature Properties and Reactivity of Coal and Coke for Ironmaking. Ph.D. Thesis, The University of New South Wales, Sydney, Australia, 2012. [Google Scholar]
- Tian, C.; Pang, H.; He, J.; Zhang, H.; Zhao, T. Effect of microwave irradiation on reactivity of metallurgical coke in CO2 atmosphere. Metalurgija 2018, 57, 19. [Google Scholar]
- Lee, W.J.; Lee, Y.K. Internal Gas Pressure Characteristics Generated during Coal Carbonization in a Coke Oven. Energy Fuels 2001, 15, 618. [Google Scholar] [CrossRef]
- Karcz, A.; Winnicka, G. Ciśnienie rozprężania, Cz. II. Wpływ czynników technologicznych na ciśnienie rozprężania. Karbo 2001, 6, 204. [Google Scholar]
- Bai, J.; Yang, C.; Zhao, Z.; Zhong, X.; Zhang, Y.; Xu, Y.; Xi, B.; Liu, H. Effect of bulk density of coking coal on swelling pressure. J. Environ. Sci. 2013, 25, 205. [Google Scholar] [CrossRef]
- Grigore, M.; Sakurows, R.; French, D.; Sahajwalla, S. Properties and CO2 reactivity of the inert and reactive maceral derived components in cokes. Int. J. Coal Geol. 2012, 98, 1. [Google Scholar] [CrossRef]
- Cui, P.; Qu, L.; Ling, Q.; Cheng, L.; Cao, Y. Effects of Coal Moisture Control and Coal Briquette Technology on Structure and Reactivity of Cokes. Coke Chem. 2015, 5, 162. [Google Scholar] [CrossRef]
- Blayden, W.E.; Gibbon, J.; Riley, H.L. An X-ray study of the structure of coals, cokes and chars. In Ultrafine Structure of Coals and Cokes; BCURA: London, UK, 1944; p. 176. [Google Scholar]
- Krzesińska, M.; Pusz, S.; Smędowski, Ł. Characterization of the porous structure of cokes produced from the blends of three Polish bituminous coking coals. Int. J. Coal Geol. 2009, 78, 169. [Google Scholar] [CrossRef]
- Diez, M.A.; Borrego, A.G. Evaluation of CO2-reactivity patterns in cokes from coal and woody biomass blends. Fuel 2013, 113, 59–68. [Google Scholar] [CrossRef]
- Zhang, S.; Peng, L.; Rui, G.; Pengfei, L.; Yinhua, L. Preparation of high strength and highly reactive coke by the addition of steel slag. Coke Chem. 2014, 57, 391. [Google Scholar] [CrossRef]
- Lozano-Castello, D.; Cazorla-Amor, D.; Linares-Solano, A. Usefulness of CO2 adsorption at 273 K for the characterization of porous carbons. Carbon 2004, 42, 1231–1236. [Google Scholar] [CrossRef]
- Strugała, A. The Role of Material and Technological Factors in the Formation Process of Coke Porous Structure; AGH University Press: Kraków, Poland, 2006. [Google Scholar]
- Marsh, H. Metallurgical coke: Formation, structure and properties. Ironmak. Conf. Proc. 1982, 4, 2. [Google Scholar]
- Menendez, J.A.; Álvarez, R.; Pis, J.J. Determination of metallurgical coke reactivity at INCAR: NSC and ECE-INCAR reactivity tests. Ironmak. Steelmak. 1999, 26, 117. [Google Scholar] [CrossRef]
- Żarczyński, P. Technological and Economic Evaluation of the Pre-Drying Operation of the Coal Charge in Zdzieszowice Coking Plant. Ph.D. Thesis, University of Science and Technology, AGH Kraków, Kraków, Poland, 2015. [Google Scholar]

















| JM | PN | ZB | BD | ue * ± | |
|---|---|---|---|---|---|
| Moisture content, Mad,% | 0.4 | 0.4 | 0.6 | 0.7 | 0.1 |
| Ash content, Ad, % | 7.0 | 7.7 | 7.3 | 7.3 | 0.2 |
| Volatile matter, VMdaf, % | 21.32 | 23.84 | 27.65 | 34.14 | 0.14 |
| Swelling index, SI, - | 7.5 | 8 | 8.5 | 8 | 0.5 |
| Contraction, a, % | 26 | 26 | 32 | 24 | 5 |
| Dilatation, b, % | +14 | +68 | +184 | +110 | 4 |
| Gieseler Fluidity, Fmax, ddpm | 81 | 292 | 1110 | 5348 | - ** |
| Mean reflectance, R0, % | 1.27 | 1.14 | 1.09 | 0.89 | 0.05 |
| Vitrinite, v/v, % | 43 | 64 | 78 | 67 | 4 |
| Liptinite, v/v, % | 2 | 3 | 3 | 6 | 2 |
| Inertinite, v/v, % | 50 | 30 | 15 | 24 | 3 |
| Mineral matter, v/v, % | 5 | 3 | 4 | 3 | 1 |
| CRI, % | 44.4 | 32.0 | 28.2 | 45.0 | 0.5 |
| CSR, % | 39.7 | 55.2 | 52.5 | 34.2 | 1.1 |
| SiO2, % *** | 41.54 | 43.98 | 49.9 | 42.29 | 2.0 |
| Al2O3, % | 21.76 | 29.37 | 33.68 | 25.8 | 2.43 |
| Fe2O3, % | 12.48 | 9.02 | 7.75 | 10.87 | 1.19 |
| CaO, % | 6.27 | 5.16 | 2.41 | 5.1 | 0.21 |
| MgO, % | 2.81 | 2.68 | 1.69 | 3.09 | 0.04 |
| Na2O, % | 1.1 | 2.13 | 2.12 | 1.89 | 0.1 |
| K20, % | 1.49 | 2.22 | 3.11 | 1.84 | 0.2 |
| B20 | B30 | B40 | |
|---|---|---|---|
| Blend composition, % | |||
| BD | 20 | 30 | 40 |
| ZB | 40 | 30 | 20 |
| PN | 30 | 30 | 30 |
| JM | 10 | 10 | 10 |
| Mean reflectance, R0, % | 1.07 | 1.05 | 1.03 |
| Total moisture content, M, % | 10 | 10 | 10 |
| Ash content, Ad, % | 7.3 | 7.9 | 7.0 |
| Volatile matter, VMdaf, % | 26.64 | 27.98 | 29.01 |
| Free Swelling Index, FSI, - | 7 | 7.5 | 7.5 |
| Contraction, a, % | 22 | 28 | 27 |
| Dillatation, b, % | +100 | +86 | +74 |
| Fluidity, Fmax, ddpm | 584 | 835 | 1080 |
| AI, - | 2.09 | 2.12 | 2.14 |
| Variables | CRI | CSR |
|---|---|---|
| Semi-soft coal content | 0.832 1 | −0.340 |
| Coal charge bulk density | −0.073 | 0.576 |
| La | −0.236 | 0.382 |
| Lc | 0.293 | 0.212 |
| d002 | 0.194 | 0.328 |
| Wx | −0.263 | 0.600 |
| VMICRO (CO2) | 0.166 | −0.139 |
| SDR(CO2) | 0.166 | 0.139 |
| VMICRO (N2) | 0.021 | −0.175 |
| VMESO (N2) | −0.314 | 0.188 |
| SBET (N2) | −0.098 | −0.254 |
| ρtr | 0.166 | −0.068 |
| VTOTAL | 0.145 | −0.521 |
| ρapp | −0.139 | 0.521 |
| P | 0.100 | −0.513 |
Publisher’s Note: MDPI stays neutral with regard to jurisdictional claims in published maps and institutional affiliations. |
© 2021 by the authors. Licensee MDPI, Basel, Switzerland. This article is an open access article distributed under the terms and conditions of the Creative Commons Attribution (CC BY) license (https://creativecommons.org/licenses/by/4.0/).
Share and Cite
Rejdak, M.; Strugała, A.; Sobolewski, A. Stamp-Charged Coke-Making Technology—The Effect of Charge Density and the Addition of Semi-Soft Coals on the Structural, Textural and Quality Parameters of Coke. Energies 2021, 14, 3401. https://doi.org/10.3390/en14123401
Rejdak M, Strugała A, Sobolewski A. Stamp-Charged Coke-Making Technology—The Effect of Charge Density and the Addition of Semi-Soft Coals on the Structural, Textural and Quality Parameters of Coke. Energies. 2021; 14(12):3401. https://doi.org/10.3390/en14123401
Chicago/Turabian StyleRejdak, Michał, Andrzej Strugała, and Aleksander Sobolewski. 2021. "Stamp-Charged Coke-Making Technology—The Effect of Charge Density and the Addition of Semi-Soft Coals on the Structural, Textural and Quality Parameters of Coke" Energies 14, no. 12: 3401. https://doi.org/10.3390/en14123401
APA StyleRejdak, M., Strugała, A., & Sobolewski, A. (2021). Stamp-Charged Coke-Making Technology—The Effect of Charge Density and the Addition of Semi-Soft Coals on the Structural, Textural and Quality Parameters of Coke. Energies, 14(12), 3401. https://doi.org/10.3390/en14123401

