Metamaterial-Based Sub-Microwave Electromagnetic Field Energy Harvesting System
Abstract
1. Introduction
1.1. Electromagnetic Smog-Based Energy Harvesting
1.2. Selected Metamaterial Structures
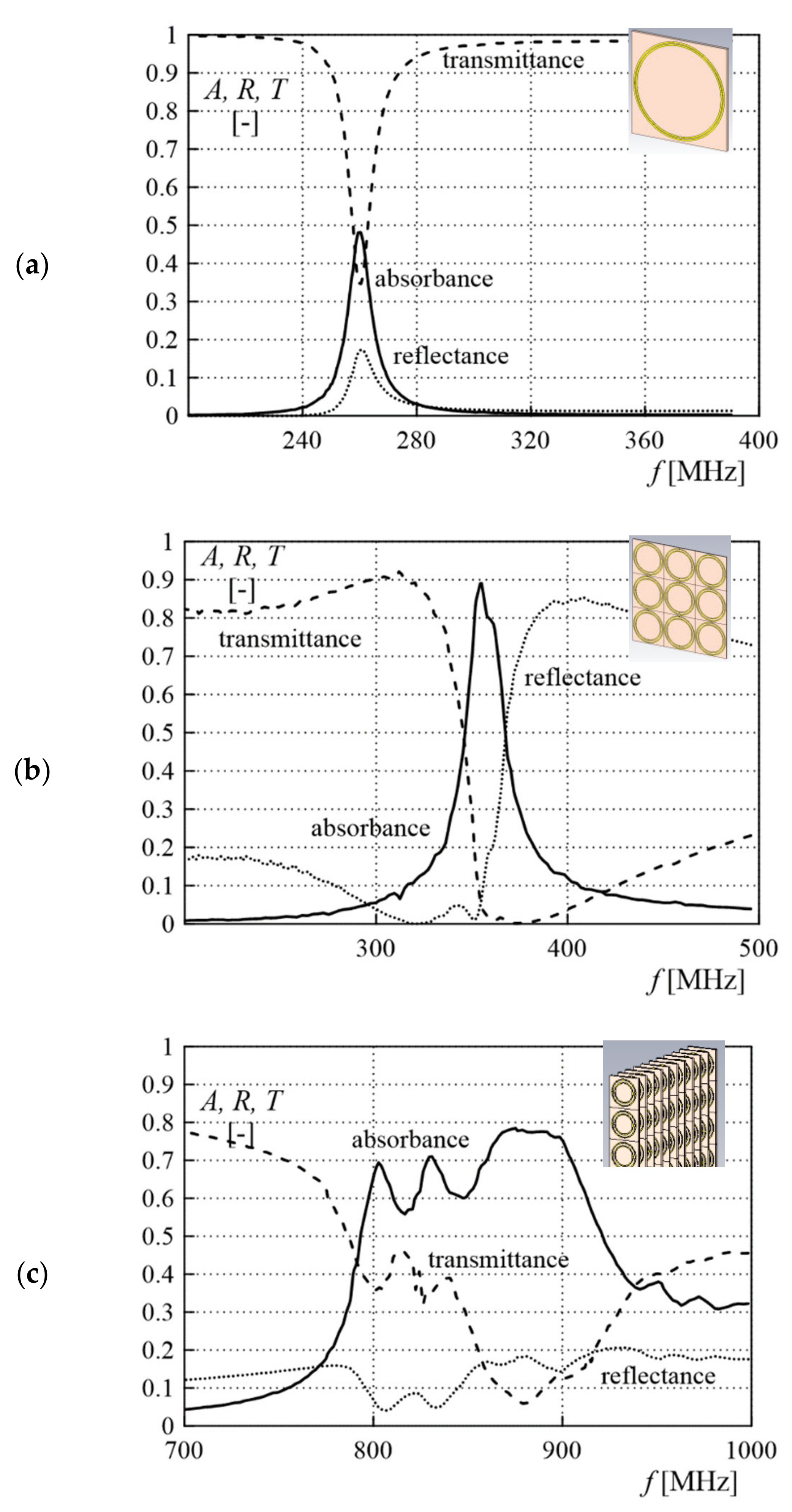
2. Metamaterial Structure Simulation Research
3. Experimental Studies of Metamaterial Structures
- The experimental research aims to compare the absorption properties of metamaterial matrices with conventional antenna arrays and verifies the suitability of the meta-surfaces for energy harvesting purposes.
- External interferences and electromagnetic signals present in the test space have a negligible influence on the measurement results due to the significant level of power emitted by the transmitting antenna.
- The influence of electromagnetic wave reflections in the test space on the measurement results has been ignored.
3.1. Materials and Methods
3.2. Experimental Results of the System Absorption Efficiency
4. Metamaterials in the Energy Harvesting System
5. Conclusions
Funding
Institutional Review Board Statement
Informed Consent Statement
Conflicts of Interest
References
- Valenta, C.R.; Durgin, G.D. Harvesting Wireless Power: Survey of Energy-Harvester Conversion Efficiency in Far-Field, Wireless Power Transfer Systems. IEEE Microw. Mag. 2014, 15, 108–120. [Google Scholar] [CrossRef]
- Wagih, M.; Weddell, A.S.; Beeby, S. Rectennas for radio-frequency energy harvesting and wireless power transfer: A review of antenna design [antenna applications corner]. IEEE Antennas Propag. Magazine. 2020, 62, 95–107. [Google Scholar] [CrossRef]
- Andersen, J.; Frandsen, A. Absorption efficiency of receiving antennas. IEEE Trans. Antennas Propag. 2005, 53, 2843–2889. [Google Scholar] [CrossRef]
- Gustafsson, M.; Cismasu, M.; Nordebo, S. Absorption Efficiency and Physical Bounds on Antennas. Int. J. Antennas Propag. 2010, 2010, 1–7. [Google Scholar] [CrossRef]
- Mahamuni, C.V. Performance enhancement of microstrip patch antenna using metamaterial cover. In Proceedings of the 2016 International Conference on Global Trends in Signal Processing, Information Computing and Communication (ICGTSPICC), Jalgaon, India, 22–24 December 2016; pp. 382–388. [Google Scholar]
- Wheeler, H. Fundamental Limitations of Small Antennas. Proc. IRE 1947, 35, 1479–1484. [Google Scholar] [CrossRef]
- Odabasi, H.; Teixeira, F.L.; Güney, D.Ö. Electrically small, complementary electric-field-coupled resonator antennas. J. Appl. Phys. 2013, 113, 84903. [Google Scholar] [CrossRef]
- Pranav, U.; Sudheesh, S.; Stanly, P.; Sankar, S.; Devika, R.; Pradeep, A. Metamaterial Based Energy Harvester. Proc. Comput. Sci. 2016, 93, 74–80. [Google Scholar] [CrossRef][Green Version]
- Ramahi, O.M.; Almoneef, T.S.; Alshareef, M.; Boybay, M.S. Metamaterial particles for electromagnetic energy harvesting. Appl. Phys. Lett. 2012, 101. [Google Scholar] [CrossRef]
- Ridge, K.; Engineering, C. Left-handed materials with broad bandwidth and low loss using double resonant frequency structure. IEEE Antennas Propag. Soc. Symp. 2004, 3792–3795. [Google Scholar]
- Smith, D.R.; Pendry, J.B.; Wiltshire, M.C.K. Metamaterials and Negative Refractive Index. Science 2004, 305, 788–792. [Google Scholar] [CrossRef]
- Smith, D.R.; Kroll, N. Negative Refractive Index in Left-Handed Materials. Phys. Rev. Lett. 2000, 85, 2933–2936. [Google Scholar] [CrossRef]
- Veselago, V.G. The Electrodynamics of Substances with Simultaneously Negative Values of ϵ and μ. Phys. Uspekhi. 1968, 10, 509–514. [Google Scholar] [CrossRef]
- Watts, C.M.; Liu, X.; Padilla, W.J. Metamaterial Electromagnetic Wave Absorbers. Adv. Mater. 2012, 24, OP98–OP120. [Google Scholar] [CrossRef]
- Wu, Q.; Meng, F.-Y.; Wu, M.-F.; Wu, J.; Li, L.-W. Research on the Negative Permittivity Effect of the Thin Wires Array in Left-Handed Material by Transmission Line Theory. PIERS Online 2005, 1, 196–200. [Google Scholar] [CrossRef]
- Zhong, H.-T.; Yang, X.-X.; Song, X.-T.; Guo, Z.-Y.; Yu, F. Wideband metamaterial array with polarization-independent and wide incident angle for harvesting ambient electromagnetic energy and wireless power transfer. Appl. Phys. Lett. 2017, 111, 213902. [Google Scholar] [CrossRef]
- Zhu, N.; Ziolkowski, R.W.; Xin, H. A metamaterial-inspired, electrically small rectenna for high-efficiency, low power harvesting and scavenging at the global positioning system L1 frequency. Appl. Phys. Lett. 2011, 99, 114101. [Google Scholar] [CrossRef]
- Almoneef, T.S.; Ramahi, O.M. Harvesting electromagnetic energy using metamaterial particles. In Proceedings of the 2013 IEEE Antennas and Propagation Society International Symposium (APSURSI), Orlando, FL, USA, 7–13 July 2013; pp. 1046–1047. [Google Scholar]
- Alù, A. First-principles homogenization theory for periodic metamaterials. Phys. Rev. B 2011, 84, 1–18. [Google Scholar] [CrossRef]
- Cheng, Y.Z.; Fang, C.; Zhang, Z.; Wang, B.; Chen, J.; Gong, R.Z. A compact and polarization-insensitive perfect metamaterial absorber for electromagnetic energy harvesting application. Electromagn. Res. Symp. (PIERS) 2016, 1, 8–11. [Google Scholar]
- Falkenstein, E.; Costinett, D.; Zane, R.; Popovic, Z. Far-Field RF-Powered Variable Duty Cycle Wireless Sensor Platform. IEEE Trans. Circuits Syst. II Express Briefs 2011, 58, 822–826. [Google Scholar] [CrossRef]
- Duan, X.; Chen, X.; Zhou, L. A metamaterial harvester with integrated rectifying functionality. In Proceedings of the 2016 IEEE/ACES International Conference on Wireless Information Technology and Systems (ICWITS) and Applied Computational Electromagnetics (ACES), Honolulu, HI, USA, 13–18 March 2016; pp. 1–2. [Google Scholar] [CrossRef]
- Hawkes, A.M.; Katko, A.R.; Cummer, S.A. A microwave metamaterial with integrated power harvesting functionality. Appl. Phys. Lett. 2013, 103, 1–3. [Google Scholar] [CrossRef]
- Karaaslan, M.; Bağmancı, M.; Ünal, E.; Akgol, O.; Sabah, C. Microwave energy harvesting based on metamaterial absorbers with multi-layered square split rings for wireless communications. Opt. Commun. 2017, 392, 31–38. [Google Scholar] [CrossRef]
- Khan, S.; Eibert, T.F. A multi-resonant meta-absorber as an electromagnetic energy harvester. In Proceedings of the 2017 IEEE International Symposium on Antennas and Propagation & USNC/URSI National Radio Science Meeting, San Diego, CA, USA, 9–14 July 2017; pp. 1091–1092. [Google Scholar] [CrossRef]
- Landy, N.I.; Sajuyigbe, S.; Mock, J.J.; Smith, D.R.; Padilla, W.J. Perfect Metamaterial Absorber. Phys. Rev. Lett. 2008, 100, 207402. [Google Scholar] [CrossRef] [PubMed]
- Ziolkowski, R.W.; Erentok, A. Metamaterial-based efficient electrically small antennas. IEEE Trans. Antennas Propag. 2006, 54, 2113–2130. [Google Scholar] [CrossRef]
- Paing, T.; Morroni, J.; Dolgov, A.; Shin, J.; Brannan, J.; Zane, R.; Popovic, Z. Wirelessly-Powered Wireless Sensor Platform. In Proceedings of the 2007 European Conference on Wireless Technologies, Munich, Germany, 9–12 October 2007; pp. 241–244. [Google Scholar]
- Falkenstein, E.; Roberg, M.; Popovic, Z. Low-Power Wireless Power Delivery. IEEE Trans. Microw. Theory Tech. 2012, 60, 2277–2286. [Google Scholar] [CrossRef]
- Almoneef, T.; Ramahi, O.M. Split-ring resonator arrays for electromagnetic energy harvesting. Prog. Electromagn. Res. B 2015, 62, 167–180. [Google Scholar] [CrossRef]
- Alavikia, B.; Almoneef, T.S.; Ramahi, O.M. Complementary split ring resonator arrays for electromagnetic energy harvesting. Appl. Phys. Lett. 2015, 107, 1–6. [Google Scholar] [CrossRef]
- Hagerty, J.; Helmbrecht, F.; McCalpin, W.; Zane, R.; Popovic, Z. Recycling Ambient Microwave Energy With Broad-Band Rectenna Arrays. IEEE Trans. Microw. Theory Tech. 2004, 52, 1014–1024. [Google Scholar] [CrossRef]
- Duy, P.N.; Ha-Van, N.; Seo, C. A Design of 5.8 GHz Rectenna Array for Wireless Energy Harvesting Applications. In Proceedings of the 2020 IEEE Wireless Power Transfer Conference (WPTC), Seoul, Korea, 15–19 November 2020; pp. 87–90. [Google Scholar]
- Vera, G.A.; Georgiadis, A.; Collado, A.; Via, S. Design of a 2.45 GHz rectenna for electromagnetic (EM) energy scavenging. In Proceedings of the 2010 IEEE Radio and Wireless Symposium (RWS), New Orleans, LA, USA, 10–14 January 2010. [Google Scholar]
- Takhedmit, H.; Merabet, B.; Cirio, L.; Allard, B.; Costa, F.; Vollaire, C.; Picon, O. A 2.45-GHz low cost and efficient rectenna. In Proceedings of the Fourth European Conference on Antennas and Propagation, Barcelona, Spain, 12–16 April 2010. [Google Scholar]
- Almoneef, T.S.; Ramahi, O.M. Metamaterial electromagnetic energy harvester with near unity efficiency. Appl. Phys. Lett. 2015, 106, 153902. [Google Scholar] [CrossRef]
- Svensson, C.; Liu, D. Low Power Circuit Techniques. Low Power Des. Methodol. 1996, 336, 37–64. [Google Scholar]
- Capolino, F. Theory and Phenomena of Metamaterials; CRC Press: Boca Raton, FL, USA, 2017. [Google Scholar]
- Engheta, N.; Ziolkowski, R.W. Metamaterials: Physics and Engineering Explorations; John Wiley & Sons, Inc.: Hoboken, NJ, USA, 2006. [Google Scholar]
- Chen, W.; Bingham, C.M.; Mak, K.M.; Caira, N.W.; Padilla, W.J. Extremely subwavelength planar magnetic metamaterials. Phys. Rev. B 2012, 85, 1–5. [Google Scholar] [CrossRef]
- Eleftheriades, G.; Balmain, K. Nagative-Refraction Metamaterials; John Wiley & Sons, Inc.: Hoboken, NJ, USA, 2005. [Google Scholar]
- Naqui, J. Fundamentals of Planar Metamaterials and Subwavelength Resonators. In Springer Theses; Springer Science and Business Media LLC: Heidelberg/Berlin, Germany, 2016; pp. 5–43. [Google Scholar]
- Pendry, J.B.; Holden, A.J.; Robbins, D.J.; Stewart, W.J. Magnetism from conductors and enhanced nonlinear phenomena. IEEE Trans. Microw. Theory Tech. 1999, 47, 2075–2084. [Google Scholar] [CrossRef]
- Smith, S.G.L.; Davis, A.M.J. The split ring resonator. Proc. R. Soc. A Math. Phys. Eng. Sci. 2010, 466, 3117–3134. [Google Scholar] [CrossRef]
- CST Studio 2018. Available online: www.3ds.com/products-services/simulia/products/cst-studio-suite (accessed on 6 June 2021).
- Numan, A.B.; Sharawi, M.S. Extraction of Material Parameters for Metamaterials Using a Full-Wave Simulator [Education Column]. IEEE Antennas Propag. Mag. 2013, 55, 202–211. [Google Scholar] [CrossRef]
- Chen, X.; Grzegorczyk, T.M.; Wu, B.; Pacheco, J.; Kong, J.A. Robust method to retrieve the constitutive effective parameters of metamaterials. Phys. Rev. E 2004, 70, 1–7. [Google Scholar] [CrossRef]
- Hindy, M.A.; Elsagheer, R.M.; Yasseen, M.S. Experimental retrieval of the negative parameters ‘permittivity and permeability’ based on a circular split ring resonator (CSRR) left handed metamaterial. J. Electr. Syst. Inf. Technol. 2018, 5, 208–215. [Google Scholar] [CrossRef]
- Smith, D.R.; Vier, D.C.; Koschny, T.; Soukoulis, C.M. Electromagnetic parameter retrieval from inhomogeneous metamaterials. Phys. Rev. E 2005, 71, 036617. [Google Scholar] [CrossRef]
- Chen, Z.; Guo, B.; Yang, Y.; Cheng, C. Metamaterials-based enhanced energy harvesting: A review. Phys. B Condens. Matter 2014, 438, 1–8. [Google Scholar] [CrossRef]





















| Frequency f | Energy Absorption Technique | Absorption Efficiency ηAmax | References |
|---|---|---|---|
| 2.45 GHz | Rectenna | up to 10% | [28] |
| 350–550 MHz | Yagi–Uda array | 4.3% | this work |
| 700–2700 MHz | LPDA array | 14.8% | this work |
| 1.96 GHz | LP Patch rectenna | 43–54% | [29] |
| 6–6.4 GHz | Patch antenna array | 17–32% | [9,18,30] |
| 5.4–5.6 GHz | Patch antenna array | up to 52% | [31] |
| 2–18 GHz | 64 elements spiral rectenna | up to 40% | [32] |
| 5.8 GHz | Patch rectenna | up to 80% | [33] |
| 2.45 GHz | Slot Rectenna | over 65% | [34] |
| 2.45 GHz | Patch rectenna | up to 82% | [35] |
| 1.57 GHz | NFRP metamaterial- inspired rectenna | up to 85% | [17] |
| 6.2–21.4 GHz | MM–ring resonator | over 90% | [16] |
| 2.8–3.3 GHz | MM–ELC resonator | over 93% | [36] |
| 6.4–7.5 GHz | MM–MTM resonator | 69.5% | [25] |
| 3–12 GHz (selectively) | MM–Multilayer SRR resonator | over 80% | [24] |
| ~900 MHz | MM–SRR resonator | over 78% | [23] |
| 4.5–7.5 GHz | MM–SRR resonator | 80% | [9,18,30] |
| 5.25–6 GHz | MM–GCSRR resonator | up to 92% | [31] |
| 300–850 MHz | MM–SRR resonatormatrices | up to 91% | this work |
| Symbol | Parameter | Value |
|---|---|---|
| g | ring air gap | 0.6 mm |
| w | conductive path width | 1 mm |
| r | smaller ring inner radius | 17.4 mm |
| d | distance between the rings | 2 mm |
| a | unit cell size | 44.8 mm |
| t | laminate thickness | 1.6 mm |
| h | conductive layer thickness | 50 µm |
| Symbol | Parameter | Value | |
|---|---|---|---|
| 350 MHz | 850 MHz | ||
| g | ring air gap | 0.6 mm | 1.2 mm |
| w | conductive path width | 1 mm | 0.8 mm |
| r | smaller ring inner radius | 17.4 mm | 7 mm |
| d | distance between the rings | 2 mm | 1.6 mm |
| a | unit cell size | 44.8 mm | 21 mm |
| t | laminate thickness | 1.6 mm | 1.6 mm |
| h | conductive layer thickness | 50 µm | 50 µm |
| Parameter | Value | |||||
|---|---|---|---|---|---|---|
| SRR Flat | SRR Flat | SRR Flat | SRR Transv. | Yagi–Uda | LPDA | |
| Resonant frequency f0 [MHz] | 332 | 425 | 505 | 816 | - | - |
| Bandwidth (−3 dB) γ [MHz] | 11 | 17 | 19 | 18 | 350–550 | 700–2700 |
| Effective absorption surface Aeff [cm2] | 256 | 256 | 256 | 320 | 2618 | 560 |
| Max. absorbed power PAmax [mW] | 19.1 | 18.7 | 18.7 | 22.89 | 9.4 | 6.2 |
| Relative absorption efficiency ηmax [%] | 90.7 | 89.1 | 89.1 | 78.9 | 4.3 | 14.8 |
Publisher’s Note: MDPI stays neutral with regard to jurisdictional claims in published maps and institutional affiliations. |
© 2021 by the author. Licensee MDPI, Basel, Switzerland. This article is an open access article distributed under the terms and conditions of the Creative Commons Attribution (CC BY) license (https://creativecommons.org/licenses/by/4.0/).
Share and Cite
Nowak, M. Metamaterial-Based Sub-Microwave Electromagnetic Field Energy Harvesting System. Energies 2021, 14, 3370. https://doi.org/10.3390/en14123370
Nowak M. Metamaterial-Based Sub-Microwave Electromagnetic Field Energy Harvesting System. Energies. 2021; 14(12):3370. https://doi.org/10.3390/en14123370
Chicago/Turabian StyleNowak, Mikołaj. 2021. "Metamaterial-Based Sub-Microwave Electromagnetic Field Energy Harvesting System" Energies 14, no. 12: 3370. https://doi.org/10.3390/en14123370
APA StyleNowak, M. (2021). Metamaterial-Based Sub-Microwave Electromagnetic Field Energy Harvesting System. Energies, 14(12), 3370. https://doi.org/10.3390/en14123370

