Design of a Medium Voltage Generator with DC-Cascade for High Power Wind Energy Conversion Systems †
Abstract
1. Introduction
2. DC-Cascade Formed by Interconnected Power Rectifiers
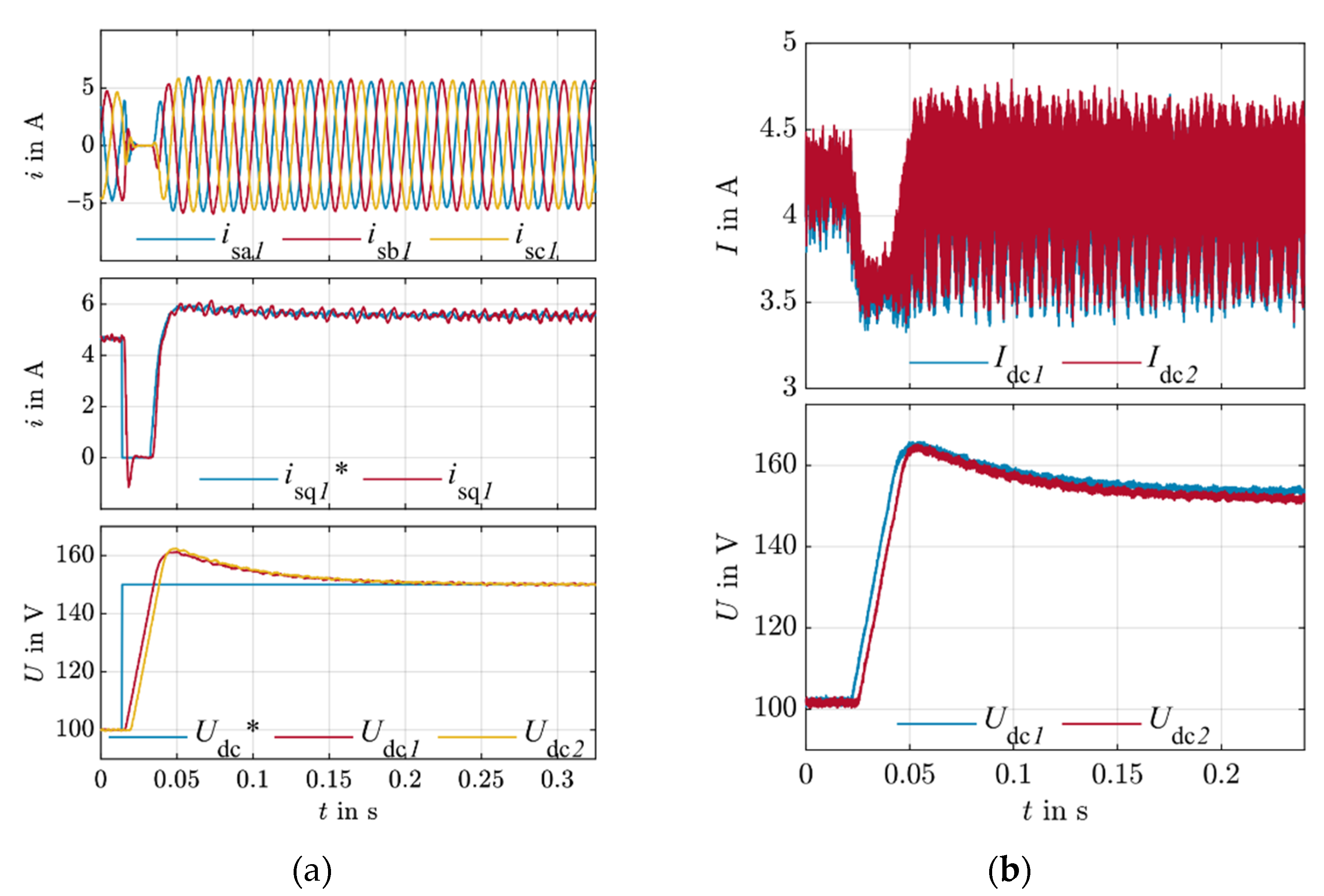
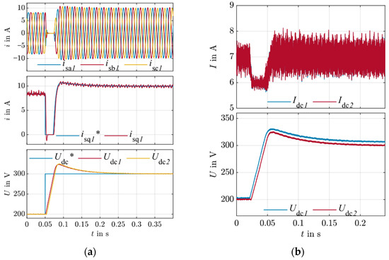
3. Control of the DC-Cascade
4. Preliminary Design of the Generator
5. Design Methods of a Wind Generator Respecting the Voltage Level
6. Thermal Behavior and Design Evaluation
7. Conclusions
Author Contributions
Funding
Institutional Review Board Statement
Informed Consent Statement
Data Availability Statement
Conflicts of Interest
References
- Steffen, J.; Lengsfeld, S.; Jung, M.; Ponick, B.; Herranz Gracia, M.; Spagnolo, A.; Schleicher, K.; Schaefer, K. Design of a Medium Voltage Generator and Power Converter for High Power Wind Energy Conversion Systems. In Proceedings of the 2020 55th International Universities Power Engineering Conference (UPEC), Torino, Italy, 1–4 September 2020; pp. 1–5. [Google Scholar] [CrossRef]
- Yaramasu, V.; Wu, B.; Sen, P.C.; Kouro, S.; Narimani, M. High-power wind energy conversion systems: State-of-the-art and emerging technologies. Proc. IEEE 2015, 103, 740–788. [Google Scholar] [CrossRef]
- Blaabjerg, F.; Ma, K. Wind energy systems. Proc. IEEE 2017, 105, 2116–2131. [Google Scholar] [CrossRef]
- Rohrig, K.; Berkhout, V.; Callies, D.; Durstewitz, M.; Faulstich, S.; Hahn, B.; Jung, M.; Pauscher, L.; Seibel, A.; Shan, M.; et al. Powering the 21st century by wind energy—Options, facts, figures. Appl. Phys. Rev. 2019, 6, 31303. [Google Scholar] [CrossRef]
- Technical Information ModSTACK™ HD; 6MS20017E43W38170 Datasheet; Infineon: Neubiberg, Germany, 2012.
- Application Guide LV7000 Drives; GEK133481 Datasheet; GE: Boston, MA, USA, 2015.
- Semistack® Renewable Energy; SKS B1 090 GD 69/11-MA PB Datasheet; Semikron: Nürnberg, Germany, 2013.
- Semistack RE; Flyer Semistack RE; Semikron: Nürnberg, Germany, 2019.
- Carmeli, M.S.; Castelli-Dezza, F.; Marchegiani, G.; Mauri, M.; Rosati, D. Design and analysis of a Medium Voltage DC wind farm with a transformer-less wind turbine generator. In Proceedings of the XIX International Conference on Electrical Machines—ICEM 2010, Rome, Italy, 6–8 September 2010; pp. 1–6, ISBN 978-1-4244-4174-7. [Google Scholar]
- Stuebig, C.; Haberjan, L.; Seibel, A.; Steffen, J.; Thalemann, F.; Wecker, M.; Ponick, B. Segmented permanent magnet ring generator with active damping of axial oscillations. In Proceedings of the 2016 XXII International Conference on Electrical Machines (ICEM), SwissTech Convention Center, Lausanne, Switzerland, 4–7 September 2016; IEEE: Piscataway, NJ, USA, 2016; pp. 564–570, ISBN 978-1-5090-2538-1. [Google Scholar]
- Stuebig, C.; Seibel, A.; Schleicher, K.; Haberjan, L.; Kloepzig, M.; Ponick, B. Electromagnetic design of a 10 MW permanent magnet synchronous generator for wind turbine application. In Proceedings of the IEEE International Electric Machines and Drives Conference (IEMDC), Coeur d’Alene Resort, Coeur d’Alene, ID, USA, 11–13 May 2015; pp. 1202–1208, ISBN 978-1-4799-7941-7. [Google Scholar]
- Bak, C.; Zahle, F.; Bitsche, R.; Kim, T.; Yde, A.; Henriksen, L.C.; Hansen, M.H.; Blasques, J.P.A.A.; Gaunaa, M.; Natarajan, A. Description of the DTU 10 MW reference wind turbine. In Proceedings of the Danish Wind Power Research 2013, Fredericia, Denmark, 27–28 May 2013. [Google Scholar]
- Steffen, J.; Seibel, A.; Wecker, M. Proofing the concept of a lightweight generator for high power wind applications in a test bench. In Proceedings of the 16th Wind Intergation Workshop, Berlin, Germany, 25–27 October 2017. [Google Scholar]
- Seibel, A.; Stübig, C.; Wecker, M.; Steffen, J.; Nielebock, S.; Kandasamy, K.; Mertens, A. Distributed control of a multi-pole permanent magnet synchronous generator for wind turbine application. In Proceedings of the 18th European Conference on Power Electronics and Applications (EPE’16 ECCE Europe), Karlsruhe, Germany, 5–8 September 2016; Volume 18. [Google Scholar] [CrossRef]
- Heron, C.; Catlett, R.; Siplin, D. Medium-Voltage Motor Optimization: Two Ways to Choose Cost-Effective ac Machines. IEEE Ind. Appl. Mag. 2020, 26, 40–47. [Google Scholar] [CrossRef]
- Lilla, A.D.; Dehnavifard, H.; Khan, M.A.; Barendse, P. Optimization of high voltage geared permanent-magnet synchronous generator systems. In Proceedings of the 2014 XXI International Conference on Electrical Machines (ICEM), Berlin, Germany, 2–5 September 2014; pp. 1356–1362, ISBN 978-1-4799-4389-0. [Google Scholar]
- Zhao, J.; Liu, Y.; Xu, X. Comparisons of Concentrated and Distributed Winding PMSM in MV Power Generation. In Proceedings of the 2018 XIII International Conference on Electrical Machines (ICEM), Alexandroupoli, Greece, 3–6 September 2018; Volume 92018, pp. 2437–2443, ISBN 978-1-5386-2477-7. [Google Scholar]
- Abu-Rub, H.; Holtz, J.; Rodriguez, J.; Baoming, G. Medium-Voltage Multilevel Converters—State of the Art, Challenges, and Requirements in Industrial Applications. IEEE Trans. Ind. Electron. 2010, 57, 2581–2596. [Google Scholar] [CrossRef]
- Zhao, C.; Dujic, D.; Mester, A.; Steinke, J.K.; Weiss, M.; Lewdeni-Schmid, S.; Chaudhuri, T.; Stefanutti, P. Power Electronic Traction Transformer—Medium Voltage Prototype. IEEE Trans. Ind. Electron. 2014, 61, 3257–3268. [Google Scholar] [CrossRef]
- Shuai, P.; Biela, J. Design and optimization of medium frequency, medium voltage transformers. In Proceedings of the 2013 15th European Conference on Power Electronics and Applications (EPE), Lille, France, 2–6 September 2013; pp. 1–10, ISBN 978-1-4799-0116-6. [Google Scholar]
- Zhang, P.; Du, Y.; Habetler, T.G.; Lu, B. A Survey of Condition Monitoring and Protection Methods for Medium-Voltage Induction Motors. IEEE Trans. Ind. Appl. 2011, 47, 34–46. [Google Scholar] [CrossRef]
- Haq, S.U.; Jayaram, S.H.; Cherney, E.A. Insulation Problems in Medium-Voltage Stator Coils Under Fast Repetitive Voltage Pulses. IEEE Trans. Ind. Appl. 2008, 44, 1004–1012. [Google Scholar] [CrossRef]
- Paoletti, G.J.; Golubev, A. Partial discharge theory and technologies related to medium-voltage electrical equipment. IEEE Trans. Ind. Appl. 2001, 37, 90–103. [Google Scholar] [CrossRef]
- Wheeler, J. Effects of converter pulses on the electrical insulation in low and medium voltage motors. IEEE Electr. Insul. Mag. 2005, 21, 22–29. [Google Scholar] [CrossRef]
- Stübig, C.; Seibel, A.; Steffen, J.; Wecker, M.; Shan, M.; Thalemann, F.; Haberjan, L.; Kucka, J.; Krämer, J.; Schleicher, K.; et al. Abschlussbericht: MAGNETRING II: Aufbau eines Ringgenerators mit Aktiver Luftspaltregelung unter Laborverhältnissen FKz; 0325502A; Fraunhofer-Institut für Windenergie und Energiesystemtechnik (IWES): Kassel, Germany, 2017. [Google Scholar]
- Kouro, S.; Rodriguez, J.; Wu, B.; Bernet, S.; Perez, M. Powering the Future of Industry: High-Power Adjustable Speed Drive Topologies. IEEE Ind. Appl. Mag. 2012, 18, 26–39. [Google Scholar] [CrossRef]
- Zhu, Z.Q.; Hu, J. Electrical machines and power-electronic systems for high-power wind energy generation applications: Part II—Power electronics and control systems. COMPEL 2012, 32, 34–71. [Google Scholar] [CrossRef]
- Kouro, S.; Malinowski, M.; Gopakumar, K.; Pou, J.; Franquelo, L.G.; Wu, B.; Rodriguez, J.; Pérez, M.A.; Leon, J.I. Recent Advances and Industrial Applications of Multilevel Converters. IEEE Trans. Ind. Electron. 2010, 57, 2553–2580. [Google Scholar] [CrossRef]
- Bueno, E.J.; Cobreces, S.; Rodriguez, F.J.; Hernandez, A.; Espinosa, F. Design of a Back-to-Back NPC Converter Interface for Wind Turbines with Squirrel-Cage Induction Generator. IEEE Trans. Energy Convers. 2008, 23, 932–945. [Google Scholar] [CrossRef]
- Li, J.; Huang, A.Q.; Bhattacharya, S.; Jing, W. Application of active NPC converter on generator side for MW direct-driven wind turbine. In Proceedings of the 2010 Twenty-Fifth Annual IEEE Applied Power Electronics Conference and Exposition (APEC), Palm Springs, CA, USA, 21–25 February 2010; Volume 022010, pp. 1010–1017, ISBN 978-1-4244-4782-4. [Google Scholar]
- Blaabjerg, F.; Liserre, M.; Ma, K. Power Electronics Converters for Wind Turbine Systems. IEEE Trans. Ind. Appl. 2012, 48, 708–719. [Google Scholar] [CrossRef]
- Parker, M.A.; Ng, C.; Ran, L. Fault-Tolerant Control for a Modular Generator–Converter Scheme for Direct-Drive Wind Turbines. IEEE Trans. Ind. Electron. 2011, 58, 305–315. [Google Scholar] [CrossRef]
- Zhang, L.; Cai, X. A Novel Multi-level Medium Voltage Converter Designed for Medium Voltage Wind Power Generation System. In Proceedings of the Power and Energy Engineering Conference (APPEEC), 2010 Asia-Pacific, Chengdu, China, 28–31 March 2010; pp. 1–4, ISBN 978-1-4244-4812-8. [Google Scholar]
- Zhang, Y.; Yuan, X.; Al-Akayshee, M. A Reliable Medium-Voltage High-Power Conversion System for MWs Wind Turbines. IEEE Trans. Sustain. Energy 2020, 11, 859–867. [Google Scholar] [CrossRef]
- Yuan, X.; Chai, J.; Li, Y. A Transformer-Less High-Power Converter for Large Permanent Magnet Wind Generator Systems. IEEE Trans. Sustain. Energy 2012, 3, 318–329. [Google Scholar] [CrossRef]
- Acharya, S.; Hazra, S.; Vechalapu, K.; Bhattacharya, S. Medium voltage power conversion architecture for high power PMSG based wind energy conversion system (WECS). In Proceedings of the ECCE, 2017 IEEE Energy Conversion Congress and Exposition, Cincinnati, OH, USA, 1–5 October 2017; pp. 3329–3336, ISBN 978-1-5090-2998-3. [Google Scholar]
- Kaufhold, M.; Schäfer, K.; Bauer, K.; Rossmann, R. Medium and high PDSs—Requirements and suitability proof for winding insulation systems. INSUCON Birm. 2006, 10, 86–92. [Google Scholar]
- Akagi, H. Multilevel converters: Fundamental circuits and systems. Proc. IEEE 2017, 105, 2048–2065. [Google Scholar] [CrossRef]
- Perez, M.A.; Bernet, S.; Rodriguez, J.; Kouro, S.; Lizana, R. Circuit topologies, modeling, control schemes, and applications of modular multilevel converters. IEEE Trans. Power Electron. 2015, 30, 4–17. [Google Scholar] [CrossRef]
- Schneider, H.M.; Allaire, J.F.; Lips, H.P.; Olavarria, E.V.; Ong, T.L.; Richens, F.; Vancers, I.; Wehling, R.J.; Wu, C.T. Insulation of HVDC converter stations. IEEE Trans. Power Deliv. 1999, 14, 387–392. [Google Scholar] [CrossRef]
- Park, R.H. Two-reaction theory of synchronous machines generalized method of analysis-part I. Trans. Am. Inst. Electr. Eng. 1929, 48, 716–727. [Google Scholar] [CrossRef]
- Drobnič, K.; Gašparin, L.; Fišer, R. Fast and Accurate Model of Interior Permanent-Magnet Machine for Dynamic Characterization. Energies 2019, 12, 783. [Google Scholar] [CrossRef]
- Liu, C.; Yixiao, L. Overview of advanced control strategies for electric machines. Chin. J. Electr. Eng. 2017, 3, 53–61. [Google Scholar] [CrossRef]
- Teodorescu, R.; Liserre, M.; Rodriguez, P. Grid Converters for Photovoltaic and Wind Power Systems; Wiley: Chichester, West Sussex, UK, 2011; ISBN 978-0-470-05751-3. [Google Scholar]
- Dürr, P. Untersuchung des Generator-Umrichter-Systems einer Multi-MW-Windenergieanlage mit DC-Kaskade zur Erhöhung der Zwischenkreisspannung. Master’s Thesis, Leibniz University Hanover, Hanover, Germany, 2020. [Google Scholar]
- International Electrotechnical Commission. Specifications for Particular Types of Winding Wires: Part. 0–2: General Requirements—Enamelled Rectangular Copper Wire; International Electrotechnical Commission: Genf, Switzerland, 2013; IEC 60317-0-2. [Google Scholar]
- Müller, G.; Vogt, K.; Ponick, B. Berechnung Elektrischer Maschinen; Völlig Neu Bearb. 6. Auflage; Wiley-VCH: Weinheim, Germany, 2012; ISBN 3527660194. [Google Scholar]












| DC-Cascade Configuration | Intermediate Voltage in kV | Rated Insulation Voltage (Peak to Ground) in kV | ||
|---|---|---|---|---|
| Series | Parallel | Nominal Voltage | Maximum Voltage | AC/DC Mixed Voltage |
| 1 | 48 | 1.1 | 1.2 | 1.6 |
| 2 | 24 | 2.2 | 2.4 | 2.2 |
| 3 | 16 | 3.3 | 3.6 | 2.8 |
| 4 | 12 | 4.4 | 4.8 | 3.4 |
| 6 | 8 | 6.6 | 7.2 | 4.6 |
| 8 | 6 | 8.8 | 9.6 | 5.8 |
| 12 | 4 | 13.2 | 14.4 | 8.2 |
| 16 | 3 | 17.6 | 19.2 | 10.6 |
| 24 | 2 | 26.4 | 28.8 | 15.4 |
| 48 | 1 | 52.8 | 57.6 | 29.8 |
| Design Constraints of the PMSG | |||
|---|---|---|---|
| Parameter | Symbol | Value | Unit |
| Rated power | 10 | MW | |
| Rated rotor speed | 10 | min−1 | |
| Rotor diameter | 15 | m | |
| Efficiency @ | >93 | % | |
| No. of stator segments | 48 | - | |
| Rated segment voltage | 690/675 | V | |
| Air gap length | ~15 | mm | |
| No. of pole pairs | p | 144 | - |
| No. of winding holes | q | 0.5 | |
| Winding design | Tooth coil winding | ||
| Design Parameters of the PMSG | |||
|---|---|---|---|
| Parameter | Symbol | Value | Unit |
| No. of slots | N | 432 | - |
| Thickness of the permanent magnets | 45 | mm | |
| Slot width | 55 | mm | |
| Stator yoke height | 35 | mm | |
| Rotor yoke height | 60 | mm | |
| Current Density in A/mm2 | Tooth Height in mm | Copper Fill Factor | Power Factor | |||
|---|---|---|---|---|---|---|
| Low Voltage | Medium Voltage | Low Voltage | Medium Voltage | Low Voltage | Medium Voltage | |
| 2 | 174 | 196 | 0.75 | 0.67 | 0.78 | 0.76 |
| 3 | 111 | 132 | 0.74 | 0.65 | 0.86 | 0.83 |
| 4 | 89 | 103 | 0.71 | 0.62 | 0.88 | 0.86 |
| 5 | 75 | 83 | 0.69 | 0.59 | 0.89 | 0.88 |
| 6 | 62 | 76 | 0.66 | 0.58 | 0.90 | 0.88 |
Publisher’s Note: MDPI stays neutral with regard to jurisdictional claims in published maps and institutional affiliations. |
© 2021 by the authors. Licensee MDPI, Basel, Switzerland. This article is an open access article distributed under the terms and conditions of the Creative Commons Attribution (CC BY) license (https://creativecommons.org/licenses/by/4.0/).
Share and Cite
Steffen, J.; Lengsfeld, S.; Jung, M.; Ponick, B.; Herranz Gracia, M.; Spagnolo, A.; Klöpzig, M.; Schleicher, K.; Schäfer, K. Design of a Medium Voltage Generator with DC-Cascade for High Power Wind Energy Conversion Systems. Energies 2021, 14, 3106. https://doi.org/10.3390/en14113106
Steffen J, Lengsfeld S, Jung M, Ponick B, Herranz Gracia M, Spagnolo A, Klöpzig M, Schleicher K, Schäfer K. Design of a Medium Voltage Generator with DC-Cascade for High Power Wind Energy Conversion Systems. Energies. 2021; 14(11):3106. https://doi.org/10.3390/en14113106
Chicago/Turabian StyleSteffen, Jonas, Sebastian Lengsfeld, Marco Jung, Bernd Ponick, Mercedes Herranz Gracia, Aristide Spagnolo, Markus Klöpzig, Klaus Schleicher, and Klaus Schäfer. 2021. "Design of a Medium Voltage Generator with DC-Cascade for High Power Wind Energy Conversion Systems" Energies 14, no. 11: 3106. https://doi.org/10.3390/en14113106
APA StyleSteffen, J., Lengsfeld, S., Jung, M., Ponick, B., Herranz Gracia, M., Spagnolo, A., Klöpzig, M., Schleicher, K., & Schäfer, K. (2021). Design of a Medium Voltage Generator with DC-Cascade for High Power Wind Energy Conversion Systems. Energies, 14(11), 3106. https://doi.org/10.3390/en14113106

