Combustion Stability, Performance and Emission Characteristics of a CI Engine Fueled with Diesel/n-Butanol Blends
Abstract
1. Introduction
2. Experimental Setup and Procedure
2.1. Research Engine and Apparatus
2.2. Experimental Conditions
2.3. Fuels
3. Results and Discussion
- -
- Experimental studies of combustion of mixtures of diesel fuel with n-butanol, focusing on the analysis of the pressure course in the engine cylinder (p), the heat release rate (HRR) and the pressure increase rate (PPR);
- -
- Determination of the basic parameters characterizing the operational properties of the engine, i.e., indicated mean effective pressure (IMEP), indicated thermal efficiency (ITE), specific energy consumption (SEC);
- -
- Evaluation of the stability of the engine co-combusting diesel oil with n-butanol based on the coefficient of variation of the mean indicated effective pressure (COVIMEP) and the probability density of the occurrence of the mean indicated pressure (ΦIMEP);
- -
- The analysis of the exhaust emissions of the engine fueled with diesel oil/n-butanol mixtures, including the emissions of NOx, THC, CO, CO2, soot.
3.1. Combustion and Engine Performance
3.1.1. Pressure and heat Release Rate
3.1.2. Ignition Delay and Burn Duration
3.1.3. Indicated Thermal Efficiency and Specific Energy Consumption
3.2. Engine Stability
3.2.1. Coefficient of Variation of Indicated Mean Effective Pressure
3.2.2. Probability Density of Indicated Mean Effective Pressure
3.3. Emissions
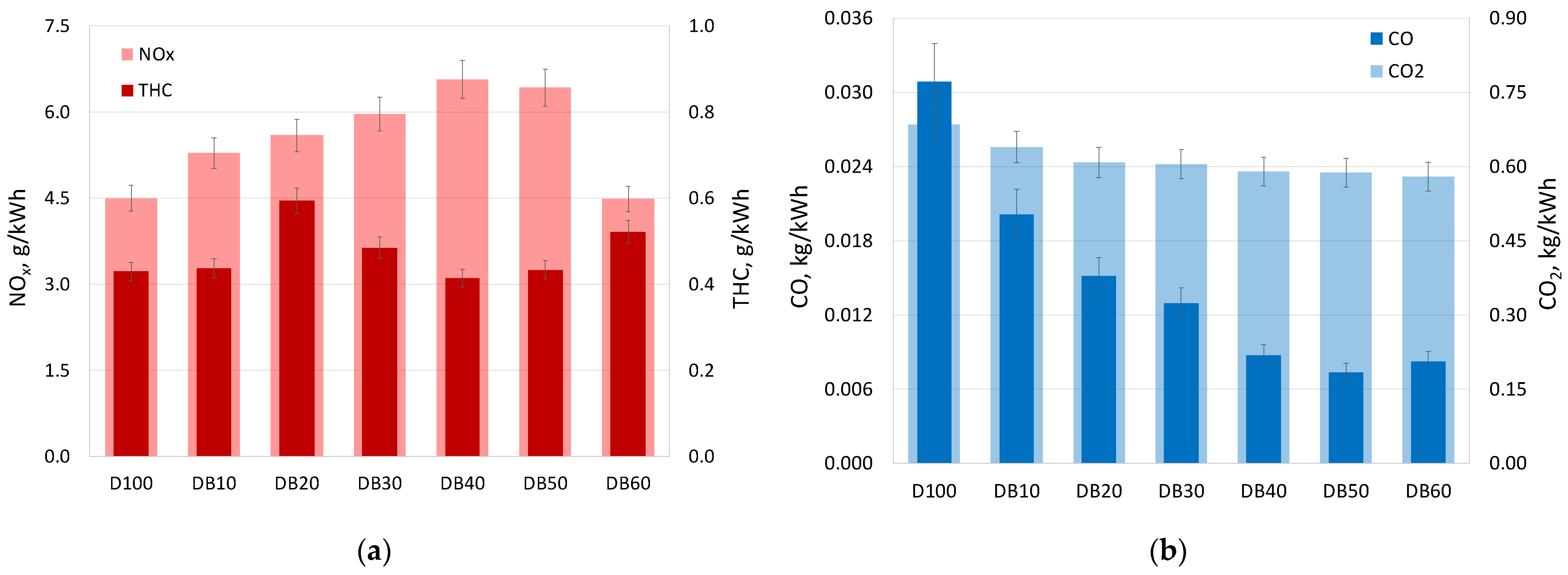
3.3.1. NOx Emission
3.3.2. THC Emission
3.3.3. CO and CO2 Emission
3.3.4. Soot Emission
4. Conclusions
- -
- The increase of the energy content of n-butanol in the mixture with diesel oil caused increased pmax, HRRmax and PPRmax. The highest values were obtained for 40% alcohol content, and they were, respectively, 7.2 MPa, 142 J/deg and 1.2 MPa/deg.
- -
- With the increase in the percentage of n-butanol, the ignition delay (ID) was increased, but the combustion time (CD) was shortened. For DB60 compared to D100, increased ID of 39% from 18° to 35°, the CD was shortened by 57% from 51° to 22°.
- -
- The share of n-butanol increased the efficiency of the engine. The highest value was obtained for DB40, which was 11% higher than in D100.
- -
- Up to 40% of n-butanol, there was no impact on the stability of combustion (COVIMEP ≅ 2%), for DB40, the highest maximum value of ΦIMEP was obtained, equal to 33.3.
- -
- With the increase of n-butanol content to 40%, the emission of NOx increased. The emission of nitrogen oxides for DB40 compared to D100 was higher by 46%. After exceeding the 40% share of n-butanol, a decrease in NOx emissions was noted.
- -
- The highest THC value was obtained for DB20 and was higher than D100 by 38%. For the remaining shares of n-butanol, there were no significant differences.
- -
- The addition of alcohol to diesel fuel resulted in a significant reduction in CO emissions and a slight decrease in CO2 emissions. The lowest concentration of carbon monoxide was obtained during the combustion of DB50, and it was 76% lower compared to D100.
- -
- Increasing the energy share of n-butanol from 0 to 60% results in a significant reduction of soot emissions. For the DB60, compared to the D100, the emission reduction was over 43 times.
Author Contributions
Funding
Conflicts of Interest
References
- Cheng, X.; Li, S.; Yang, J.; Liu, B. Investigation into partially premixed combustion fueled with n-butanol-diesel blends. Renew. Energy 2016, 86, 723–732. [Google Scholar] [CrossRef]
- Kumar, V.; Gupta, D.; Naseer Siddiquee, M.W.; Nagpal, A.; Kumar, V. Performance and emission characteristics of n-butanol and iso-butanol diesel blend comparison. SAE Tech. Paper 2015, 1, 2819. [Google Scholar]
- Cai, Y.; Jia, M.; Xu, G.; Li, Y.; Wang, T. Feasibility study of the combustion strategy of n-butanol/diesel dual direct injection (DI2) in a compression-ignition engine. Fuel 2021, 289, 119865. [Google Scholar] [CrossRef]
- Galloni, E.; Fontana, G.; Scala, F. Experimental and numerical analyses of a spark-ignition engine firing with n-butanol-gasoline blends at high load operation. Energy Procedia 2018, 148, 336–343. [Google Scholar] [CrossRef]
- Blin, J.; Brunschwig, C.; Chapuis, A.; Changotade, O.; Sidibe, S.; Noumi, E.; Girard, P. Characteristics of vegetable oils for use as fuel in stationary diesel engines-Towards specifications for a standard in West Africa. Renew. Sustain. Energy Rev. 2013, 22, 580–597. [Google Scholar] [CrossRef]
- Han, J.; He, W.; Somers, L.M.T. Experimental investigation of performance and emissions of ethanol and n-butanol fuel blends in a heavy-duty diesel engine. Front. Mech. Eng. 2020, 6, 26. [Google Scholar] [CrossRef]
- Tian, W.; Zhang, H.; Wang, L.; Han, Z.; Yu, W. Effect of premixed n-butanol ratio on the initial stage of combustion in a light-duty butanol/diesel dual-fuel engine. Energies 2020, 13, 4295. [Google Scholar] [CrossRef]
- Kuszewski, H.; Jakubowski, M.; Jaworski, A.; Lubas, J.; Balawender, K. Effect of temperature on tribological properties of 1-butanol–diesel fuel blends–Preliminary experimental study using the HFRR method. Fuel 2021, 296, 120700. [Google Scholar] [CrossRef]
- Sahin, Z.; Durgun, O.; Aksu, O.N. Experimental investigation of n-butanol/diesel fuel blends and n-butanol fumigation–Evaluation of engine performance, exhaust emissions, heat release and flammability analysis. Energy Convers. Manag. 2015, 103, 778–789. [Google Scholar] [CrossRef]
- Pan, M.; Wang, Y.; Qian, W.; Wu, C.; Huang, H.; Li, H.; Zhou, X. Experimental and numerical study on flow, combustion and emission characteristics of CI engine fueled with n-butanol/diesel blends under post-injection strategy. Fuel 2021, 292, 120267. [Google Scholar] [CrossRef]
- Jamrozik, A.; Tutak, W.; Gnatowska, R.; Nowak, Ł. Comparative analysis of the combustion stability of diesel-methanol and diesel-ethanol in a dual fuel engine. Energies 2019, 12, 971. [Google Scholar] [CrossRef]
- Di Blasio, G.; Beatrice, C.; Molina, S. Effect of Port Injected Ethanol on Combustion Characteristics in a Dual-Fuel Light Duty Diesel Engine; No. 2013-01-1692; SAE Technical Paper: Troy, MI, USA, 2013. [Google Scholar]
- Shamun, S.; Belgiorno, G.; Di Blasio, G.; Beatrice, C.; Tunér, M.; Tunestål, P. Performance and emissions of diesel-biodiesel-ethanol blends in a light duty compression ignition engine. Appl. Therm. Eng. 2018, 145, 444. [Google Scholar] [CrossRef]
- Belgiorno, G.; Di Blasio, G.; Shamun, S.; Beatrice, C.; Tunestål, P.; Tunér, M. Performance and emissions of diesel-gasoline-ethanol blends in a light duty compression ignition engine. Fuel 2018, 217, 78. [Google Scholar] [CrossRef]
- Kim, K.H.; Choi, B.; Park, S.; Kim, E.; Chiaramonti, D. Emission characteristics of compression ignition (CI) engine using diesel blended with hydrated butanol. Fuel 2019, 257, 116037. [Google Scholar] [CrossRef]
- Dev, S.; Gao, T.; Yu, X.; Ives, M.; Zheng, M. Fuel stratification and partially premixed combustion with neat n-butanol in a compression ignition engine. J. Eng. Gas Turb. Power 2018, 140, 122803. [Google Scholar] [CrossRef]
- Tang, Q.; Jiang, P.; Peng, C.; Chang, H.; Zhao, Z. Comparison and analysis of the effects of spark timing and lambda on a high-speed spark ignition engine fuelled with n-butanol/gasoline blends. Fuel 2021, 287, 119505. [Google Scholar] [CrossRef]
- Hana, D.; Fana, Y.; Sun, Z.; Noura, M.; Lia, X. Combustion and emissions of isomeric butanol/gasoline surrogates blends on an optical GDI engine. Fuel 2020, 272, 117690. [Google Scholar] [CrossRef]
- Tutak, W.; Jamrozik, A. Comparative analysis of combustion stability of diesel/ethanol utilization by blend and dual fuel. Processes 2019, 7, 946. [Google Scholar] [CrossRef]
- Rakopoulos, D.C.; Rakopoulos, D.C.; Giakoumis, E.G.; Dimaratos, A.M.; Kyritsis, D.C. Effects of butanol–diesel fuel blends on the performance and emissions of a high-speed DI diesel engine. Energy Convers. Manag. 2010, 51, 1989–1997. [Google Scholar] [CrossRef]
- Doğan, O. The influence of n-butanol/diesel fuel blends utilization on a small diesel engine performance and emissions. Fuel 2011, 90, 2467–2472. [Google Scholar] [CrossRef]
- Valentino, G.; Corcione, F.E.; Iannuzzi, S.E.; Serra, S. Experimental study on performance and emissions of a high speed diesel engine fuelled with n-butanol diesel blends under premixed low temperature combustion. Fuel 2012, 92, 295–307. [Google Scholar] [CrossRef]
- Weall, A.; Collings, N. Investigation into partially premixed combustion in a light-duty multi-cylinder diesel engine fuelled with a mixture of gasoline and diesel. SAE Tech. Pap. 2007, 1, 4058. [Google Scholar]
- Tutak, W.; Jamrozik, A.; Gnatowska, R. Combustion of different reactivity fuel mixture in a dual fuel engine. Therm. Sci. 2018, 22, 1191–1203. [Google Scholar] [CrossRef]
- Li, J.; Yang, W.; Zhou, D. Review on the management of RCCI engines. Renew. Sustain. Energy Rev. 2017, 69, 65–79. [Google Scholar] [CrossRef]
- Olmeda, P.; García, A.; Monsalve-Serrano, J.; Sari, R.L. Experimental investigation on RCCI heat transfer in a light-duty diesel engine with different fuels: Comparison versus conventional diesel combustion. Appl. Therm. Eng. 2018, 144, 424–436. [Google Scholar] [CrossRef]
- Pandian, M.M.; Anand, K. Experimental optimization of reactivity controlled compression ignition combustion in a light duty diesel engine. Appl. Therm. Eng. 2018, 138, 48–61. [Google Scholar] [CrossRef]
- Krishnamoorthi, M.; Malayalamurthi He, Z.; Kandasamy, S. A review on low temperature combustion engines: Performance, combustion and emission characteristics. Renew. Sustain. Energy Rev. 2019, 116, 109404. [Google Scholar] [CrossRef]
- Pan, M.; Tong, C.; Qian, W.; Lu, F.; Yin, J.; Huang, H. The effect of butanol isomers on diesel engine performance, emission and combustion characteristics under different load conditions. Fuel 2020, 277, 118188. [Google Scholar] [CrossRef]
- Karagöz, M. Investigation of performance and emission characteristics of an CI engine fuelled with diesel-waste tire oil–butanol blends. Fuel 2020, 282, 118872. [Google Scholar] [CrossRef]
- Xiao, H.; Guo, F.; Li, S.; Wang, R.; Yang, X. Combustion performance and emission characteristics of a diesel engine burning biodiesel blended with n-butanol. Fuel 2019, 258, 115887. [Google Scholar] [CrossRef]
- Altun, S.; Öner, C.; Yaşar, F.; Adin, H. Effect of n-butanol blending with a blend of diesel and biodiesel on performance and exhaust emissions of a diesel engine. Ind. Eng. Chem. Res. 2011, 50, 9425–9430. [Google Scholar] [CrossRef]
- Kattela, S.P.; Vysyaraju, R.K.R.; Surapaneni, S.R.; Ganji, P.R. Effect of n-butanol/diesel blends and piston bowl geometry on combustion and emisson characteristics of CI engine. Environ. Sci. Pollut. Res. 2019, 26, 1661–1674. [Google Scholar] [CrossRef]
- Jamrozik, A.; Cupiał, K.; Gruca, M.; Grzelka, J.; Kociszewski, A.; Pyrc, M.; Tutak, W. Analysis of correlation between an electric current fluctuation and selected operating parameters of the gas generator set. Electr. Rev. 2012, 88, 238–243. [Google Scholar]
- Zhou, X.; Qian, W.; Pan, M.; Huang, R.; Xu, L.; Yin, Y. Potential of n-butanol/diesel blends for CI engines under post injection strategy and different EGR rates conditions. Energy Convers. Manag. 2020, 204, 112329. [Google Scholar] [CrossRef]
- Jamrozik, A.; Tutak, W.; Pyrc, M.; Gruca, M.; Kočiško, M. Study on co-combustion of diesel fuel with oxygenated alcohols in a compression ignition dual-fuel engine. Fuel 2018, 221, 329–345. [Google Scholar] [CrossRef]
- Zhang, Q.; Yang, C.; Li, Y. Effects of ethanol, n-butanol, and n-pentanol addition to diesel fuel on combustion and emission characteristics in a common-rail diesel engine with exhaust-gas recirculation. J. Energy Eng. 2021, 147, 04020086. [Google Scholar] [CrossRef]
- Monsalve-Serrano, J.; Belgiorno, G.; Di Blasio, G.; Guzmán-Mendoza, M. 1d simulation and experimental analysis on the effects of the injection parameters in methane–diesel dual-fuel combustion. Energies 2020, 13, 3734. [Google Scholar] [CrossRef]
- Heywood, J.B. Internal Combustion Engine Fundamentals, 2nd ed.; McGraw-Hill Education: New York, NY, USA, 2018. [Google Scholar]
- Singh, R.; Singh, S.; Kumar, M. Impact of n-butanol as an additive with eucalyptus biodiesel-diesel blends on the performance and emission parameters of the diesel engine. Fuel 2020, 277, 118178. [Google Scholar] [CrossRef]
- Tutak, W.; Jamrozik, A. Influence of gasoline addition on biodiesel combustion in a compression-ignition engine with constant settings. Processes 2020, 8, 1499. [Google Scholar] [CrossRef]
- Wei, L.; Geng, P. A review on natural gas/diesel dual fuel combustion, emissions and performance. Fuel Process. Technol. 2016, 142, 264–278. [Google Scholar] [CrossRef]
- Semakula, M.; Inambao, F. The formation, effects and control of oxides of nitrogen in diesel engines. Int. J. Appl. Eng. Res. 2018, 13, 3200–3209. [Google Scholar]
- Semakula, M.; Inambao, F. The effects of exhaust gas recirculation on the performance and emission characteristics of a diesel engine—A critical review. Int. J. Appl. Eng. Res. 2017, 12, 13677–13689. [Google Scholar]










| Item | |
|---|---|
| Type of engine | Single-cylinder, 4-stroke, CI diesel engine, naturally aspirated |
| Number of cylinders | 1 |
| Displacement volume | 573 cc |
| Engine rotational speed | 1500 rpm |
| Number of valves | 2 |
| Bore × stroke | 90 × 90 mm |
| Compression ratio | 17 |
| Start of injection (SoI) | 20° bTDC |
| Rated power | 7 kW |
| Equipment Name | Type | Precision |
|---|---|---|
| In-cylinder pressure sensor | Kistler 6061 SN 298131 | ≤±0.5% FS, range: 0–25 MPa |
| Charge amplifier | Kistler 5011 | <±3% FS, range for 10 V FS: ±10… ± 999,000 pC |
| Data acquisition module | Measurement Computing USB-1608HS | 16 bits resolution, sampling frequency 20 kHz |
| Emission equipment | Bosch BEA 350 | CO: ±0.06% vol., HC: ±12 ppm vol., CO2: ±0.5% vol., NO: ±25 ppm vol. |
| AVL Smokemeter 415SE | Soot: σ ≤ ±0.005 FSN + 3%, range 0–10 FSN |
| Equipment Name | Unit | Diesel | n-butanol |
|---|---|---|---|
| Molecular formula | C14H30 | C4H9OH | |
| Molecular weight | g | 198.4 | 74.12 |
| Cetane number | - | 51 | 25 |
| Octane number (R + M)/2 | - | 15–25 | 87 |
| Boiling point | K | 453–643 | 390 |
| Liquid density | kg/m3 | 840 | 810 |
| Lower heating value (LHV) | MJ/kg | 42.5 | 33.1 |
| Latent heat of evaporation (LHE) | kJ/kg | 243 | 581.4 |
| Autoignition temperature | °C | 230 | 343 |
| Stoichiometric air–fuel ratio | - | 14.6 | 11.2 |
| Viscosity (at 25 °C) | mPa·s | 2.419 | 2.593 |
| Carbon (C) mass fraction | % | 85 | 64.8 |
| Hydrogen (H2) mass fraction | % | 15 | 13.6 |
| Oxygen (O2) mass fraction | % | 0 | 21.6 |
| Properties | D100 | DB10 | DB20 | DB30 | DB40 | DB50 | DB60 |
|---|---|---|---|---|---|---|---|
| Diesel energetic fraction, % | 100 | 90 | 80 | 70 | 60 | 50 | 40 |
| n-Butanol energetic fraction, % | 0 | 10 | 20 | 30 | 40 | 50 | 60 |
| Diesel mass fraction, % | 100 | 88 | 76 | 65 | 54 | 44 | 34 |
| n-Butanol mass fraction, % | 0 | 12 | 24 | 35 | 46 | 56 | 66 |
| Density, kg/m3 | 840.0 | 836.2 | 832.7 | 829.3 | 826.2 | 823.1 | 820.2 |
| LHV, MJ/kg | 42.5 | 41.3 | 40.2 | 39.2 | 38.2 | 37.2 | 36.3 |
| LHE, kJ/kg | 260.0 | 300.1 | 338.1 | 374.1 | 408.2 | 440.7 | 471.6 |
| C mass fraction, % | 85.0 | 82.5 | 80.1 | 77.8 | 75.7 | 73.6 | 71.7 |
| H2 mass fraction, % | 15.0 | 14.8 | 14.7 | 14.5 | 14.3 | 14.2 | 14.1 |
| O2 mass fraction, % | 0.0 | 2.7 | 5.2 | 7.7 | 10.0 | 12.1 | 14.2 |
Publisher’s Note: MDPI stays neutral with regard to jurisdictional claims in published maps and institutional affiliations. |
© 2021 by the authors. Licensee MDPI, Basel, Switzerland. This article is an open access article distributed under the terms and conditions of the Creative Commons Attribution (CC BY) license (https://creativecommons.org/licenses/by/4.0/).
Share and Cite
Jamrozik, A.; Tutak, W.; Grab-Rogaliński, K. Combustion Stability, Performance and Emission Characteristics of a CI Engine Fueled with Diesel/n-Butanol Blends. Energies 2021, 14, 2817. https://doi.org/10.3390/en14102817
Jamrozik A, Tutak W, Grab-Rogaliński K. Combustion Stability, Performance and Emission Characteristics of a CI Engine Fueled with Diesel/n-Butanol Blends. Energies. 2021; 14(10):2817. https://doi.org/10.3390/en14102817
Chicago/Turabian StyleJamrozik, Arkadiusz, Wojciech Tutak, and Karol Grab-Rogaliński. 2021. "Combustion Stability, Performance and Emission Characteristics of a CI Engine Fueled with Diesel/n-Butanol Blends" Energies 14, no. 10: 2817. https://doi.org/10.3390/en14102817
APA StyleJamrozik, A., Tutak, W., & Grab-Rogaliński, K. (2021). Combustion Stability, Performance and Emission Characteristics of a CI Engine Fueled with Diesel/n-Butanol Blends. Energies, 14(10), 2817. https://doi.org/10.3390/en14102817

