Geometry Design Optimization of a Wind Turbine Blade Considering Effects on Aerodynamic Performance by Linearization
Abstract
1. Introduction
2. Blade Design Procedure and Methodology
2.1. Blade Design Procedure
2.2. Initial Blade Geometry Design
2.3. Blade Performance Analysis
2.4. Optimization Algorithm for Linearization
3. Effects of Linearization on Blade Performance
3.1. NREL 5 MW Baseline
3.2. Effects of Chord and Twist Linearization
3.3. Comparison of Aerodynamic Performance
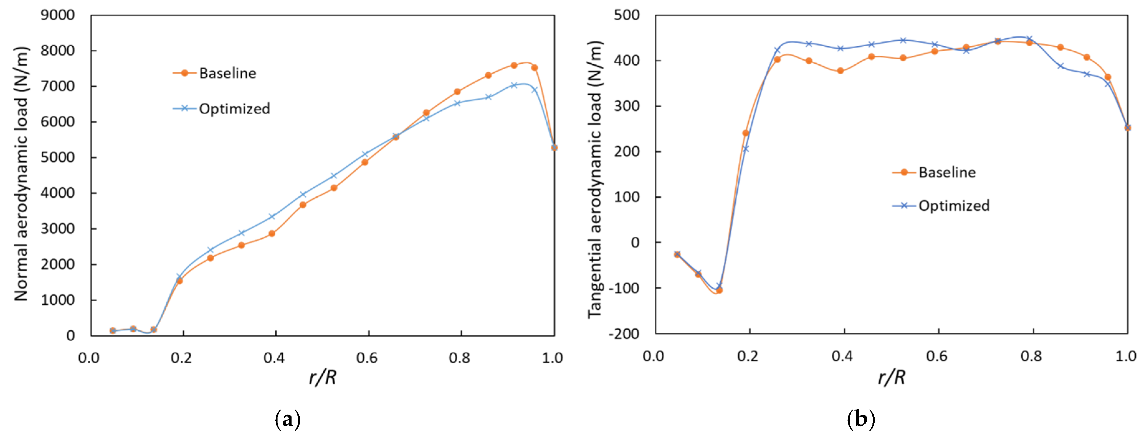
4. Wind Turbine Blade Design Optimization
5. Conclusions
- (1)
- In blade design, increasing the chord length increases the power coefficient at low wind speeds close to the cut-in wind speed but decreases the power coefficient towards higher wind speeds. Therefore, increasing the chord length is favourable for improving the aerodynamic efficiency at low wind speeds, but the design range must be selected considering the power coefficient reduction at high wind speeds and the weight caused by the chord length increase.
- (2)
- Increasing the chord profile slope has an effect similar to that of increasing the chord length, but its effect on the aerodynamic efficiency is less than that of increasing the chord length.
- (3)
- The twist profile mainly affects low wind speeds depending on the size of the incremental angle, and its effect on the aerodynamic performance at high wind speeds is not significant.
Funding
Conflicts of Interest
References
- Manwell, J.F.; McGowan, J.G.; Rogers, A.L. Wind Energy Explained: Theory, Design and Application; John Wiley & Sons, Ltd.: Chichester, UK, 2010. [Google Scholar]
- Burton, T.; Jenkins, N.; Sharpe, D.; Bossanyi, E. Wind Energy Handbook, 2nd ed.; John Wiley & Sons, Ltd.: Chichester, UK, 2011. [Google Scholar]
- Glauert, H. Airplane Propellers, Aerodynamic Theory; Springer: New York, NY, USA, 1963. [Google Scholar]
- Wilson, R.E.; Lissaman, P.B.S. Applied Aerodynamics of Wind Power Machines; Oregon State University: Corvallis, OR, USA, 1974. [Google Scholar]
- Wilson, R.E.; Lissaman, P.B.S.; Walker, S.N. Aerodynamic Performance of Wind Turbines; Oregon State University: Corvallis, OR, USA, 1976. [Google Scholar]
- Johansen, J.; Madsen, H.A.; Gaunaa, M.; Bak, C.; Srensen, N.N. Design of a wind turbine rotor for maximum aerodynamic efficiency. Wind Energy 2009, 12, 261–273. [Google Scholar] [CrossRef]
- Vaz, J.R.P.; Pinho, J.T.; Mesquita, A.L.A. An extension of BEM method applied to horizontal-axis wind turbine design. Renew. Energy 2011, 36, 1734–1740. [Google Scholar] [CrossRef]
- Dai, J.C.; Hu, Y.P.; Liu, D.S.; Long, X. Aerodynamic loads calculation and analysis for large scale wind turbine based on combining BEM modified theory with dynamic stall model. Renew. Energy 2011, 36, 1095–1104. [Google Scholar] [CrossRef]
- Lanzafame, R.; Messina, M. BEM theory: How to take into account the radial flow inside of a 1-D numerical code. Renew. Energy 2012, 39, 440–446. [Google Scholar] [CrossRef]
- Yang, H.; Shen, W.; Xu, H.; Hong, Z.; Liu, C. Prediction of the wind turbine performance by using BEM with airfoil data extracted from CFD. Renew. Energy 2014, 70, 107–115. [Google Scholar] [CrossRef]
- Maalawi, K.Y.; Badr, M.A. A practical approach for selecting optimum wind rotors. Renew. Energy 2003, 28, 803–822. [Google Scholar] [CrossRef]
- Liu, X.; Wang, L.; Tang, X. Optimized linearization of chord and twist angle profiles for fixed-pitch fixed-speed wind turbine blades. Renew. Energy 2013, 57, 111–119. [Google Scholar] [CrossRef]
- Yang, Z.; Yin, M.; Xu, Y.; Zhang, Z.; Zou, Y.; Dong, Z.Y. A multi-point method considering the maximum power point tracking dynamic process for aerodynamic optimization of variable-speed wind turbine blades. Energies 2016, 9, 425. [Google Scholar] [CrossRef]
- Tahani, M.; Kavari, G.; Masdari, M.; Mirhosseini, M. Aerodynamic design of horizontal axis wind turbine with innovative local linearization of chord and twist distributions. Energy 2017, 131, 78–91. [Google Scholar] [CrossRef]
- Yin, M.; Yang, Z.; Xu, Y.; Liu, J.; Zhou, L.; Zou, Y. Aerodynamic optimization for variable-speed wind turbines based on wind energy capture efficiency. Appl. Energy 2018, 221, 508–521. [Google Scholar] [CrossRef]
- Selig, M.S. Application of a Genetic Algorithm to Wind Turbine Design. ASME 1996, 118, 22–28. [Google Scholar] [CrossRef]
- Fuglsang, P.; Madsen, H.A. Optimization method for wind turbine rotors. J. Wind Eng. Ind. Aerodyn. 1999, 80, 191–206. [Google Scholar] [CrossRef]
- Jureczko, M.; Pawlak, M.; Mȩzyk, A. Optimisation of wind turbine blades. J. Mater. Process Technol. 2005, 167, 463–471. [Google Scholar] [CrossRef]
- Méndez, J.; Greiner, D. Wind blade chord and twist angle optimization using genetic algorithms. In Proceedings of the 5th International Conference on Engineering Computational Technology, Las Palmas de Gran Canaria, Spain, 12–15 September 2009; Civil-Comp: Stirlingshire, UK, 2009. [Google Scholar]
- Polat, O.; Tuncer, I.H. Aerodynamic shape optimization of wind turbine blades using a parallel genetic algorithm. Procedia Eng. 2013, 61, 28–31. [Google Scholar] [CrossRef]
- Tahani, M.; Sokhansefat, T.; Rahmani, K.; Ahmadi, P. Aerodynamic optimal design of wind turbine blades using genetic algorithm. Energy Equip. Syst. 2014, 2, 185–193. [Google Scholar]
- Ashuri, T.; Zaaijer, M.B.; Martins, J.R.R.A.; van Bussel, G.J.W.; van Kuik, G.A.M. Multidisciplinary design optimization of offshore wind turbines for minimum levelized cost of energy. Renew. Energy 2014, 68, 893–905. [Google Scholar] [CrossRef]
- Vianna Neto, J.X.; Guerra Junior, E.J.; Moreno, S.R.; Hultmann Ayala, H.V.; Mariani, V.C.; dos Santos Coelho, L. Wind turbine blade geometry design based on multi-objective optimization using metaheuristics. Energy 2018, 162, 645–658. [Google Scholar] [CrossRef]
- Hansen, M.O.L.; Sørensen, J.N.; Voutsinas, S.; Sørensen, N.; Madsen, H.A. State of the art in wind turbine aerodynamics and aeroelasticity. Prog. Aerosp. Sci. 2006, 42, 285–330. [Google Scholar] [CrossRef]
- Brownlee, J. Clever Algorithms: Nature-Inspired Programming Recipes; Lulu Press: Morrisville, NC, USA, 2011. [Google Scholar]
- Jonkman, J.; Butterfield, S.; Musial, W.; Scott, G. Definition of a 5-MW Reference Wind Turbine for Offshore System Development; National Renewable Energy Lab. (NREL): Golden, CO, USA, 2009.

















| Parameter | Value |
|---|---|
| Initial temperature (−) | 0.3 |
| Stopping temperature (−) | 0.001 |
| Temperature control | |
| Iteration at each temperature | 200 |
| Property | Value |
|---|---|
| Rated power (MW) | 5 |
| Number of blades | 3 |
| Hub height (m) | 90 |
| Rotor diameter (m) | 126 |
| Cut-in, rated, cut-out wind speed (m/s) | 3, 11.4, 25 |
| Cut-in, rated rotor speed (rpm) | 6.9, 12.1 |
| Rated tip speed (m/s) | 80 |
| Parameter | Lower Bound | Optimized | Upper Bound |
|---|---|---|---|
| Reference chord length (TC) (m) | 1.5 | 2.19 | 2.5 |
| Chord slope coefficient (a1) (−) | −0.04 | −0.0552 | −0.08 |
| Twist linear coefficient (a2) (−) | 0.15 | 0.178 | 0.25 |
| Design TSR (λ) (−) | 6 | − | 10 |
| r/R | Baseline | Optimized | ||
|---|---|---|---|---|
| Chord (m) | Twist (°) | Chord (m) | Twist (°) | |
| 0.05 | 3.542 | 13.308 | 3.542 | 9.123 |
| 0.09 | 3.854 | 13.308 | 3.854 | 9.123 |
| 0.13 | 4.167 | 13.308 | 4.167 | 9.123 |
| 0.19 | 4.557 | 13.308 | 4.557 | 9.123 |
| 0.25 | 4.652 | 11.480 | 4.567 | 8.393 |
| 0.32 | 4.458 | 10.162 | 4.340 | 7.663 |
| 0.38 | 4.249 | 9.011 | 4.114 | 6.933 |
| 0.45 | 4.007 | 7.795 | 3.888 | 6.203 |
| 0.51 | 3.748 | 6.544 | 3.661 | 5.473 |
| 0.58 | 3.502 | 5.361 | 3.435 | 4.744 |
| 0.64 | 3.256 | 4.188 | 3.209 | 4.014 |
| 0.71 | 3.010 | 3.125 | 2.982 | 3.284 |
| 0.77 | 2.764 | 2.319 | 2.756 | 2.554 |
| 0.84 | 2.518 | 1.526 | 2.530 | 1.825 |
| 0.89 | 2.313 | 0.863 | 2.341 | 1.216 |
| 0.93 | 2.086 | 0.370 | 2.190 | 0.730 |
| 0.98 | 1.419 | 0.106 | 1.419 | 0.106 |
© 2020 by the author. Licensee MDPI, Basel, Switzerland. This article is an open access article distributed under the terms and conditions of the Creative Commons Attribution (CC BY) license (http://creativecommons.org/licenses/by/4.0/).
Share and Cite
Yang, K. Geometry Design Optimization of a Wind Turbine Blade Considering Effects on Aerodynamic Performance by Linearization. Energies 2020, 13, 2320. https://doi.org/10.3390/en13092320
Yang K. Geometry Design Optimization of a Wind Turbine Blade Considering Effects on Aerodynamic Performance by Linearization. Energies. 2020; 13(9):2320. https://doi.org/10.3390/en13092320
Chicago/Turabian StyleYang, Kyoungboo. 2020. "Geometry Design Optimization of a Wind Turbine Blade Considering Effects on Aerodynamic Performance by Linearization" Energies 13, no. 9: 2320. https://doi.org/10.3390/en13092320
APA StyleYang, K. (2020). Geometry Design Optimization of a Wind Turbine Blade Considering Effects on Aerodynamic Performance by Linearization. Energies, 13(9), 2320. https://doi.org/10.3390/en13092320
