An Accurate Time Constant Parameter Determination Method for the Varying Condition Equivalent Circuit Model of Lithium Batteries
Abstract
1. Introduction
2. Mathematical Analysis
2.1. Dynamic Thevenin Mode
2.2. Parameter Identification
2.2.1. Open Circuit Voltage Identification
2.2.2. Identification of R0, R1, C1
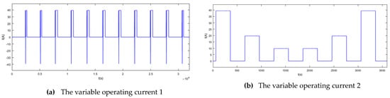
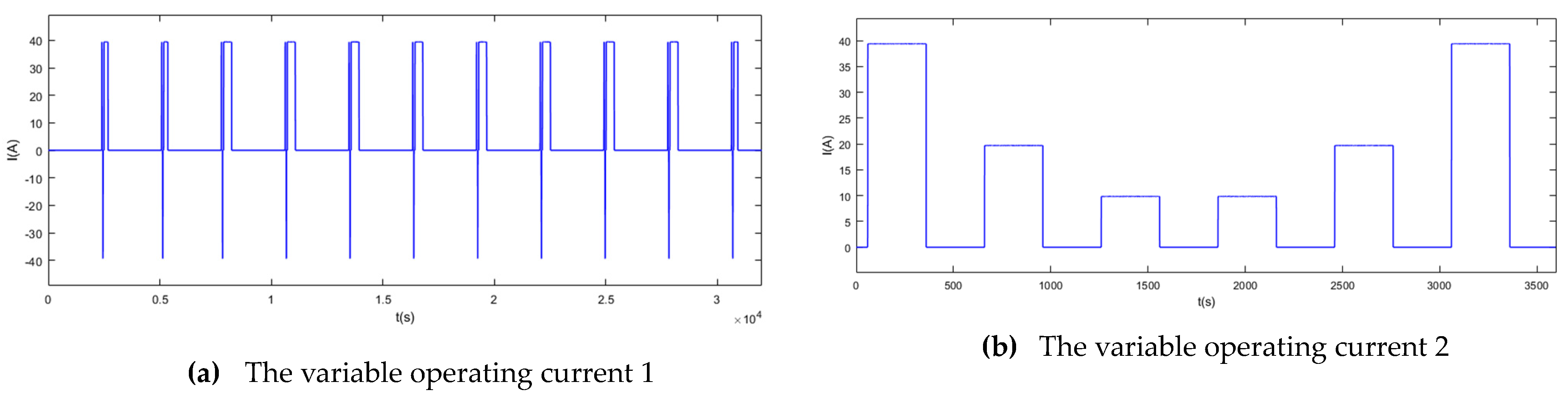
3. Experimental Design
- The lithium batteries were discharged by IC, and then the batteries were shelved for 2 h after discharging. The batteries were charged to SOC 100% by constant current and voltage;
- Let the battery stand for 10 h, then measure and record the open circuit voltage of the battery;
- Discharge at 1C for 3 min, then shelve it for 40 min;
- Steps 3 and 4 were performed at four points where the SOC equaled 1, 0.95, 0.1, and 0.05, respectively;
- A current pulse experiment was performed on a lithium battery. First, it was discharged at 1C for 10 s, then shelved for 40 s, charged at 1C for 10 s thereafter, then shelved for 40 s;
- The battery was discharged at 1C for 6 min, then left to stand for 40 min;
- Steps 6 and 7 were performed at eight points where the SOC was equal to 0.9, 0.8, 0.7...0.3, and 0.2, respectively.
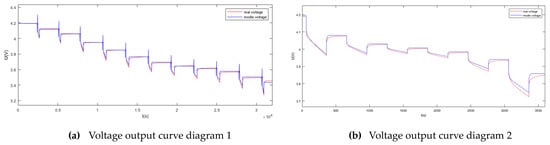
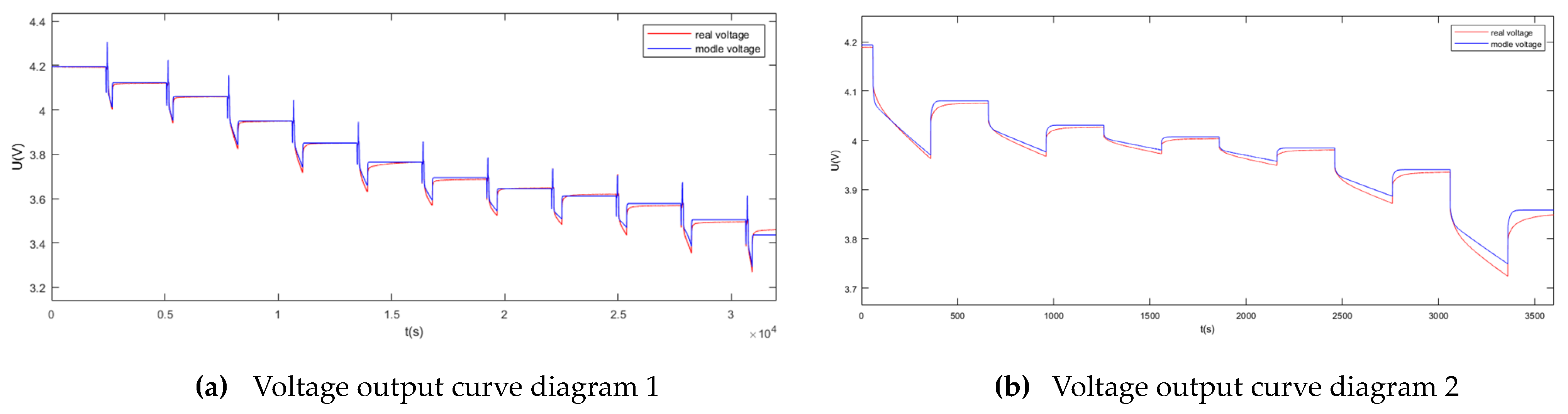
4. Model Verification
5. Conclusions
Author Contributions
Funding
Acknowledgments
Conflicts of Interest
References
- Sergi, F.; Arista, A.; Agnello, G.; Ferraro, M.; Andaloro, L.; Antonucci, V. Characterization and comparison between lithium iron p hosphate and lithium-polymers batteries. J. Energy Storage 2016, 8, 235–243. [Google Scholar] [CrossRef]
- Yang, D.; Wang, Y.; Pan, R.; Chen, R.; Chen, Z. State-of-health estimation for the lithium-ion battery based on support vector regression. Appl. Energy 2018, 227, 273–283. [Google Scholar] [CrossRef]
- Shen, Y.Q. Adaptive extended Kalman filter based state of charge determination for lithium-ion batteries. Electrochim. Acta 2018, 283, 1432–1440. [Google Scholar] [CrossRef]
- Andaloro, L.; Arista, A.; Agnello, G.; Napoli, G.; Sergi, F.; Antonucci, V. Study and design of a hybrid electric vehicle (Lithium Batteries-PEM FC). Int. J. Hydrog. Energy 2017, 42, 3166–3184. [Google Scholar] [CrossRef]
- Hidalgo-Reyes, J.I.; Gómez-Aguilar, J.F.; Escobar-Jiménez, R.F.; Alvarado-Martínez, V.M.; López-López, M.G. Classical and fractional-order modeling of equivalent electrical circuits for supercapacitors and batteries, energy management strategies for hybrid systems and methods for the state of charge estimation: A state of the art review. Microelectron. J. 2019, 85, 109–128. [Google Scholar] [CrossRef]
- Dong, G.Z.; Chen, Z.H.; Wei, J.W. Sequential monte carlo filter for state-of-charge estimation of lithium-ion batteries based on auto regressive exogenous model. IEEE Trans. Ind. Electron. 2019, 66, 8533–8544. [Google Scholar] [CrossRef]
- Lee, J.; Kwon, D.; Pecht, M.G. Reduction of li-ion battery qualification time based on prognostics and health management. IEEE Trans. Ind. Electron. 2019, 66, 7310–7315. [Google Scholar] [CrossRef]
- De Lorenzo, G.; Andaloro, L.; Sergi, F.; Napoli, G.; Ferraro, M.; Antonucci, V. Numerical simulation model for the preliminary design of hybrid electric city bus power train with polymer electrolyte fuel cell. Int. J. Hydrog. Energy 2014, 39, 12934–12947. [Google Scholar] [CrossRef]
- Wang, J.L.; Zhang, L.; Xu, D.; Zhang, P.; Zhang, G. A simplified fractional order equivalent circuit model and adaptive online parameter identification method for lithium-ion batteries. Math. Probl. Eng. 2019, 12, e0172424. [Google Scholar] [CrossRef]
- Liu, D.T.; Li, L.; Song, Y.; Wu, L.; Peng, Y. Hybrid state of charge estimation for lithium-ion battery under dynamic operating conditions. Int. J. Electr. Power Energy Syst. 2019, 110, 48–61. [Google Scholar] [CrossRef]
- Liu, M.Z.; He, M.; Qiao, S.; Liu, B.; Cao, Z.; Wang, R. A high-order state-of-charge estimation model by cubature particle filter. Measurement 2019, 146, 35–42. [Google Scholar] [CrossRef]
- Zhou, D.M.; Al-Durra, A.; Zhang, K.; Ravey, A.; Gao, F. A robust prognostic indicator for renewable energy technologies: A novel error correction grey prediction model. IEEE Trans. Ind. Electron. 2019, 66, 9312–9325. [Google Scholar] [CrossRef]
- Barcellona, S.; Piegari, L. Lithium ion battery models and parameter identification techniques. Energies 2017, 10, 2007. [Google Scholar] [CrossRef]
- Fragiacomo, P.; Astorino, E.; Chippari, G.; De Lorenzo, G.; Czarnetzki, W.T.; Schneider, W. Dynamic modeling of a hybrid electric system based on an anion exchange membrane fuel cell. Cogent Eng. 2017, 4, 1357891. [Google Scholar] [CrossRef]
- Xu, L.P.; Zhou, F.; Kong, J.; Zhou, H.; Zhang, Q. Effect of testing temperature on the electrochemical properties of Li(Ni0.6Mn0.2Co0.2)O-2 and its Ti3C2(OH)(2) modification as cathode materials for lithium-ion batteries. J. Alloy. Compd. 2019, 804, 353–363. [Google Scholar] [CrossRef]
- Yoo, K.; Kim, J. Thermal behavior of full-scale battery pack based on comprehensive heat-generation model. J. Power Sources 2019, 433, 226715. [Google Scholar] [CrossRef]
- Alessandrini, S.; Rizzuto, E.; Del Prete, Z. Characterizing different types of lithium ion cells with an automated measurement system. J. Energy Storage 2016, 7, 244–251. [Google Scholar] [CrossRef]
- Xu, Z.; Gao, S.B.; Yang, S.F. LiFePO4 battery state of charge estimation based on the improved Thevenin equivalent circuit model and Kalman filtering. J. Renew. Sustain. Energy 2016, 8, 024103. [Google Scholar] [CrossRef]
- Dai, H.D.; Zhao, G.; Lin, M.; Wu, J.; Zheng, G. A novel estimation method for the state of health of lithium-ion battery using prior knowledge-based neural network and markov chain. IEEE Trans. Ind. Electron. 2019, 66, 7706–7716. [Google Scholar] [CrossRef]
- Ma, C.; Zhai, X.; Wang, Z.; Tian, M.; Yu, Q.; Liu, L.; Liu, H.; Wang, H.; Yang, X. State of health prediction for lithium-ion batteries using multiple-view feature fusion and support vector regression ensemble. Int. J. Mach. Learn. Cybern. 2019, 10, 2269–2282. [Google Scholar] [CrossRef]
- Topic, J.; Skugor, B.; Deur, J. Neural network-based modeling of electric vehicle energy demand and all electric range. Energies 2019, 12, 1396. [Google Scholar] [CrossRef]
- Wang, Q.; Feng, X.; Zhang, B.; Gao, T.; Yang, Y. Power battery state of charge estimation based on extended Kalman filter. J. Renew. Sustain. Energy 2019, 11, 014302. [Google Scholar] [CrossRef]
- El-Sehiemy, R.A.; Hamida, M.A.; Mesbahi, T. Parameter identification and state-of-charge estimation for lithium-polymer battery cells using enhanced sunflower optimization algorithm. Int. J. Hydrog. Energy 2020, 45, 8833–8842. [Google Scholar] [CrossRef]
- Liu, X.; Zheng, C.; Wu, J.; Meng, J.; Stroe, D.I.; Chen, J. An improved state of charge and state of power estimation method based on genetic particle filter for lithium-ion batteries. Energies 2020, 13, 478. [Google Scholar] [CrossRef]
- Wu, Z.; Shang, M.; Shen, D.; Qi, S. SOC estimation for batteries using MS-AUKF and neural network. J. Renew. Sustain. Energy 2019, 11, 024103. [Google Scholar] [CrossRef]
- Yang, F.F.; Li, W.; Li, C.; Miao, Q. State-of-charge estimation of lithium-ion batteries based on gated recurrent neural network. Energy 2019, 175, 66–75. [Google Scholar] [CrossRef]
- Zhang, C.J.; Cheng, J.; Tian, Q. Semantically modeling of object and context for categorization. IEEE Trans. Neural Netw. Learn. Syst. 2019, 30, 1013–1024. [Google Scholar] [CrossRef]
- Burgos-Mellado, C.; Orchard, M.E.; Kazerani, M.; Cárdenas, R.; Sáez, D. Particle-filtering-based estimation of maximum available power state in Lithium-Ion batteries. Appl. Energy 2016, 161, 349–363. [Google Scholar] [CrossRef]
- Chen, Z.H.; Sun, H.; Dong, G.; Wei, J.; Wu, J.I. Particle filter-based state-of-charge estimation and remaining-dischargeable-time prediction method for lithium-ion batteries. J. Power Sources 2019, 414, 158–166. [Google Scholar] [CrossRef]
- Kim, T.; Adhikaree, A.; Pandey, R.; Kang, D.W.; Kim, M.; Oh, C.Y.; Baek, J.W. An on-board model-based condition monitoring for lithium-ion batteries. IEEE Trans. Ind. Appl. 2019, 55, 1835–1843. [Google Scholar] [CrossRef]
- Diab, Y.; Auger, F.; Schaeffer, E.; Wahbeh, M. Estimating lithium-ion battery state of charge and parameters using a continuous-discrete extended kalman filter. Energies 2017, 10, 1075. [Google Scholar] [CrossRef]
- Pola, D.A.; Navarrete, H.F.; Orchard, M.E.; Rabié, R.S.; Cerda, M.A.; Olivares, B.E.; Silva, J.F.; Espinoza, P.A.; Pérez, A. Particle-filtering-based discharge time prognosis for lithium-ion batteries with a statistical characterization of use profiles. IEEE Trans. Reliab. 2015, 64, 710–720. [Google Scholar] [CrossRef]
- Ye, M.; Guo, H.; Xiong, R.; Yu, Q. A double-scale and adaptive particle filter-based online parameter and state of charge estimation method for lithium-ion batteries. Energy 2018, 144, 789–799. [Google Scholar] [CrossRef]
- Zhou, D.M.; Zhang, K.; Ravey, A.; Gao, F.; Miraoui, A. Online estimation of lithium polymer batteries state-of-charge using particle filter-based data fusion with multimodels approach. IEEE Trans. Ind. Appl. 2016, 52, 2582–2595. [Google Scholar] [CrossRef]
- Afshar, S.; Morris, K.; Khajepour, A. State-of-charge estimation using an ekf-based adaptive observer. IEEE Trans. Control Syst. Technol. 2019, 27, 1907–1923. [Google Scholar] [CrossRef]
- Kim, Y.; Lin, X.; Abbasalinejad, A.; Kim, S.U.; Chung, S.H. On state estimation of all solid-state batteries. Electrochim. Acta 2019, 317, 663–672. [Google Scholar] [CrossRef]
- Ma, Y.; Chen, Y.; Zhou, X.; Chen, H. Remaining useful life prediction of lithium-ion battery based on gauss-hermite particle filter. IEEE Trans. Control Syst. Technol. 2019, 27, 1788–1795. [Google Scholar] [CrossRef]
- Eltoumi, F.; Badji, A.; Becherif, M.; Ramadan, H.S. Experimental identification using equivalent circuit model for lithium-ion battery. Int. J. Emerg. Electr. Power Syst. 2018, 19, 20170210. [Google Scholar] [CrossRef]
- Yu, C.-X.; Xie, Y.M.; Sang, Z.Y.; Yang, S.Y.; Huang, R. State-of-charge estimation for lithium-ion battery using improved dukf based on state-parameter separation. Energies 2019, 12, 4036. [Google Scholar] [CrossRef]
- Yu, Y.; Narayan, N.; Vega-Garita, V.; Popovic-Gerber, J.; Qin, Z.; Wagemaker, M.; Bauer, P.; Zeman, M. Constructing accurate equivalent electrical circuit models of lithium iron phosphate and lead–acid battery cells for solar home system applications. Energies 2018, 11, 2305. [Google Scholar] [CrossRef]
- Pei, Z.; Zhao, X.; Yuan, H.; Peng, Z.; Wu, L. An equivalent circuit model for lithium battery of electric vehicle considering self-healing characteristic. J. Control Sci. Eng. 2018, 2018, 1–11. [Google Scholar] [CrossRef]
- Madani, S.; Schaltz, E.; Knudsen Kær, S. An electrical equivalent circuit model of a lithium titanate oxide battery. Batteries 2019, 5, 31. [Google Scholar] [CrossRef]
- Su, J.; Lin, M.; Wang, S.; Li, J.; Coffie-Ken, J.; Xie, F. An equivalent circuit model analysis for the lithium-ion battery pack in pure electric vehicles. Meas. Control 2019, 52, 193–201. [Google Scholar] [CrossRef]
- Abe, Y.; Hori, N.; Kumagai, S. Electrochemical impedance spectroscopy on the performance degradation of LiFePO4/Graphite lithium-ion battery due to charge-discharge cycling under different C-rates. Energies 2019, 12, 4507. [Google Scholar] [CrossRef]
- Methekar, R. SOC estimation with thermal and charging rate consideration using dual filter approach for lithium-ion battery. J. Renew. Sustain. Energy 2018, 10, 064103. [Google Scholar] [CrossRef]
- Shen, P.; Ouyang, M.; Lu, L.; Li, J.; Feng, X. The co-estimation of state of charge, state of health, and state of function for lithium-ion batteries in electric vehicles. IEEE Trans. Veh. Technol. 2018, 67, 92–103. [Google Scholar] [CrossRef]
- Zeng, Z.B.; Tian, J.; Li, D.; Tian, Y. An online state of charge estimation algorithm for lithium-ion batteries using an improved adaptive cubature kalman filter. Energies 2018, 11, 59. [Google Scholar] [CrossRef]
- Zhang, C.; Allafi, W.; Dinh, Q.; Ascencio, P.; Marco, J. Online estimation of battery equivalent circuit model parameters and state of charge using decoupled least squares technique. Energy 2018, 142, 678–688. [Google Scholar] [CrossRef]
- Arachchige, B.; Perinpanayagam, S.; Jaras, R. Enhanced prognostic model for lithium ion batteries based on particle filter state transition model modification. Appl. Sci. Basel 2017, 7, 1172. [Google Scholar] [CrossRef]
- Lao, Z.Z.; Xia, B.; Wang, W.; Sun, W.; Lai, Y.; Wang, M. A novel method for lithium-ion battery online parameter identification based on variable forgetting factor recursive least squares. Energies 2018, 11, 1358. [Google Scholar] [CrossRef]
- Zahid, T.; Li, W.M. A comparative study based on the least square parameter identification method for state of charge estimation of a lifepo4 battery pack using three model-based algorithms for electric vehicles. Energies 2016, 9, 720. [Google Scholar] [CrossRef]
- Nikolian, A.; Firouz, Y.; Gopalakrishnan, R.; Timmermans, J.M.; Omar, N.; Van den Bossche, P.; Van Mierlo, J. Lithium ion batteriesdevelopment of advanced electrical equivalent circuit models for nickel manganese cobalt lithium-ion. Energies 2016, 9, 360. [Google Scholar] [CrossRef]
- Wang, C.; He, H.; Zhang, Y.; Mu, H. A comparative study on the applicability of ultracapacitor models for electric vehicles under different temperatures. Appl. Energy 2017, 196, 268–278. [Google Scholar] [CrossRef]
- Wang, Q.Q.; Wang, J.; Zhao, P.; Kang, J.; Yan, F.; Du, C. Correlation between the model accuracy and model-based SOC estimation. Electrochim. Acta 2017, 228, 146–159. [Google Scholar] [CrossRef]
- Christophersen, J.P. Battery Test Manual For Electric Vehicles; Revision 3; Idaho National Lab.: Idaho Falls, ID, USA, 2015. [Google Scholar]











| SOC | R0/mΩ | R1/mΩ | C1/F | Uoc/V | ||
|---|---|---|---|---|---|---|
| 0.05 | 7.773 | 8.765 | 2.445 | 1.2510 | 7006.3948 | 3.4616 |
| 0.1 | 8.99 | 10.47 | 2.229 | 0.8389 | 12,480.6294 | 3.4951 |
| 0.2 | 10.26 | 13.43 | 2.071 | 0.6871 | 19,545.9176 | 3.5686 |
| 0.3 | 10.33 | 12.60 | 2.019 | 0.6200 | 20,322.5806 | 3.6201 |
| 0.4 | 9.877 | 12.15 | 1.988 | 0.5833 | 20,829.7617 | 3.6480 |
| 0.5 | 8.842 | 12.33 | 1.956 | 0.5780 | 21,332.1799 | 3.6867 |
| 0.6 | 9.441 | 12.08 | 1.947 | 0.7818 | 15,451.5221 | 3.7648 |
| 0.7 | 9.388 | 11.93 | 1.936 | 0.7674 | 15,545.9995 | 3.8504 |
| 0.8 | 8.785 | 11.62 | 1.948 | 0.7212 | 16,112.0355 | 3.9487 |
| 0.9 | 8.515 | 11.22 | 1.953 | 0.6715 | 16,708.8608 | 4.0584 |
| 0.95 | 8.684 | 12.72 | 1.976 | 0.6590 | 19,301.9727 | 4.1192 |
| 1 | 9.033 | 12.79 | 1.994 | 0.7220 | 17,714.6814 | 4.1917 |
© 2020 by the authors. Licensee MDPI, Basel, Switzerland. This article is an open access article distributed under the terms and conditions of the Creative Commons Attribution (CC BY) license (http://creativecommons.org/licenses/by/4.0/).
Share and Cite
Zhang, L.; Wang, S.; Stroe, D.-I.; Zou, C.; Fernandez, C.; Yu, C. An Accurate Time Constant Parameter Determination Method for the Varying Condition Equivalent Circuit Model of Lithium Batteries. Energies 2020, 13, 2057. https://doi.org/10.3390/en13082057
Zhang L, Wang S, Stroe D-I, Zou C, Fernandez C, Yu C. An Accurate Time Constant Parameter Determination Method for the Varying Condition Equivalent Circuit Model of Lithium Batteries. Energies. 2020; 13(8):2057. https://doi.org/10.3390/en13082057
Chicago/Turabian StyleZhang, Liang, Shunli Wang, Daniel-Ioan Stroe, Chuanyun Zou, Carlos Fernandez, and Chunmei Yu. 2020. "An Accurate Time Constant Parameter Determination Method for the Varying Condition Equivalent Circuit Model of Lithium Batteries" Energies 13, no. 8: 2057. https://doi.org/10.3390/en13082057
APA StyleZhang, L., Wang, S., Stroe, D.-I., Zou, C., Fernandez, C., & Yu, C. (2020). An Accurate Time Constant Parameter Determination Method for the Varying Condition Equivalent Circuit Model of Lithium Batteries. Energies, 13(8), 2057. https://doi.org/10.3390/en13082057

