A New Adaptive Mass Estimation Approach of Heavy Truck Based on Engine Torque Local Convex Minimum Characteristic at Low Speeds
Abstract
1. Introduction
2. Vehicle Mass Estimation Using the Characteristics of Engine Torque
2.1. Extraction of Multiple Local Convex Region from Engine Torque Data
2.2. Kalman-Filter-Based Mass Estimation
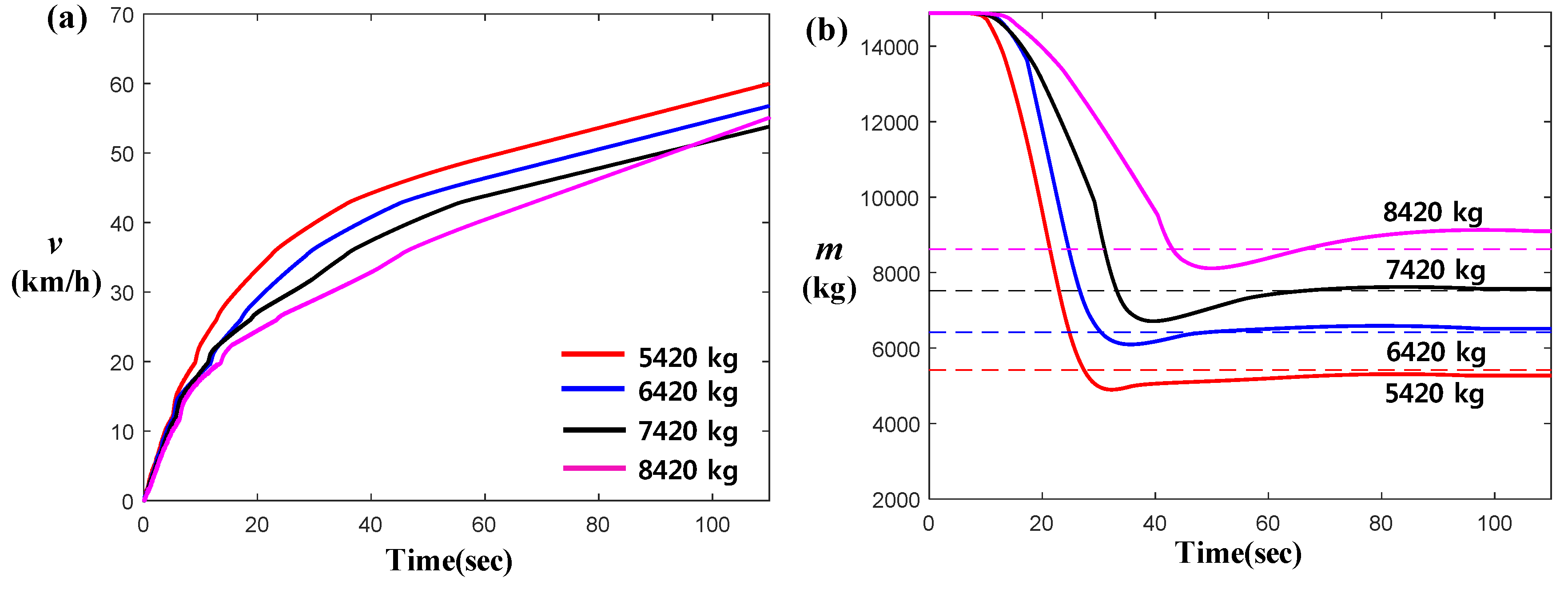
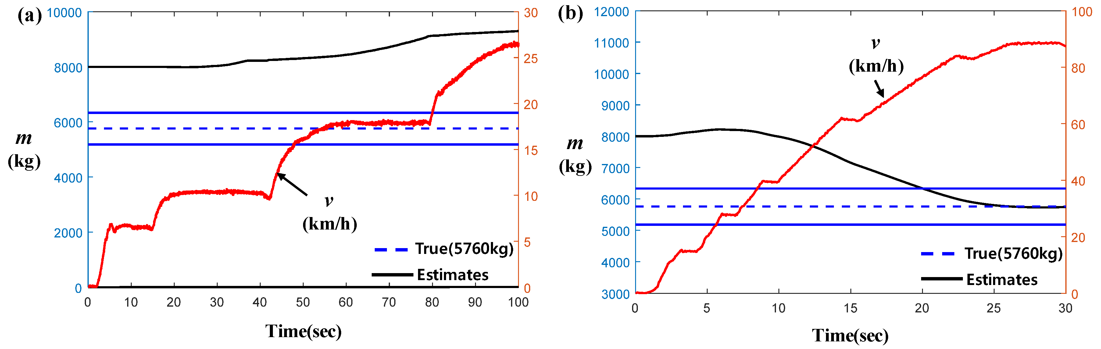
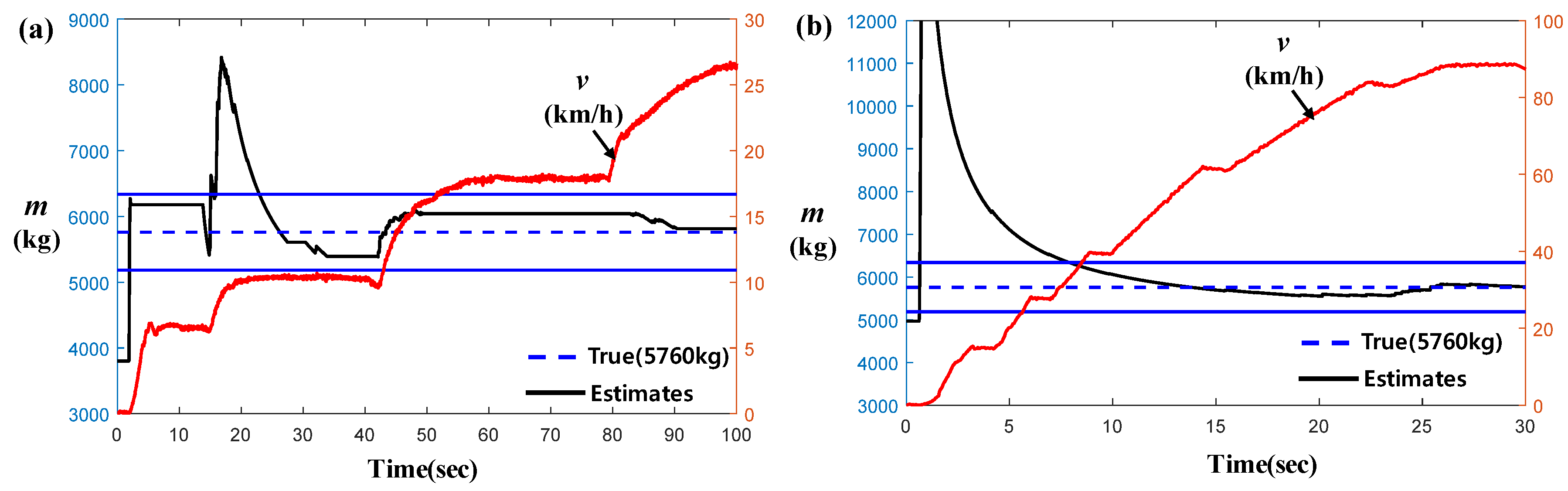
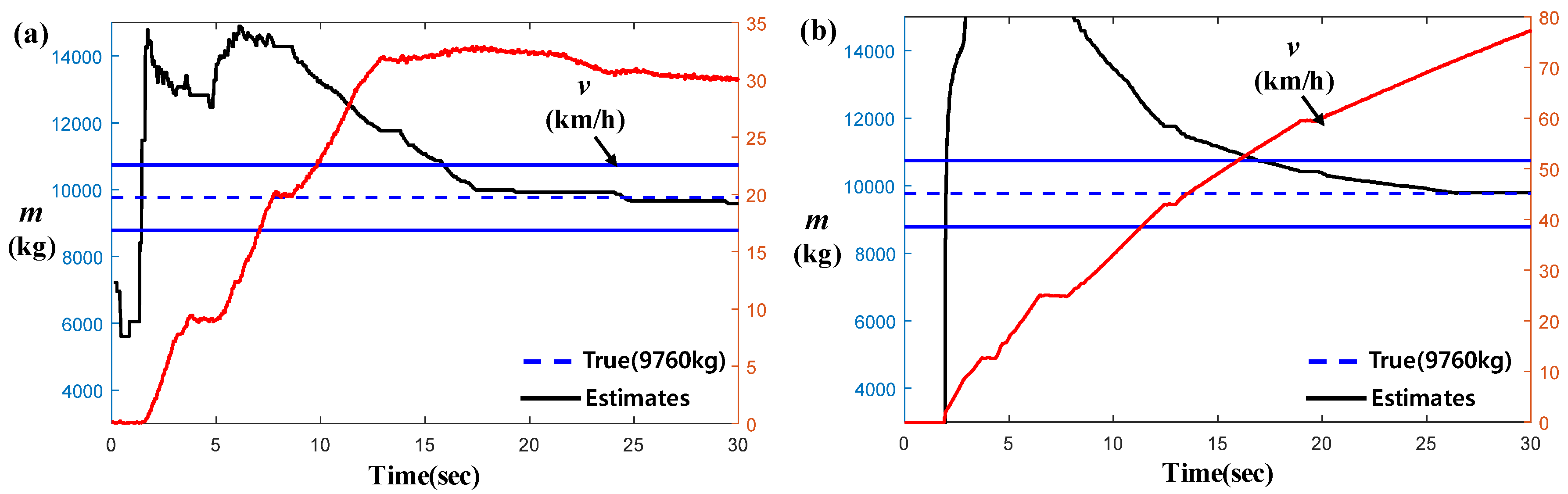
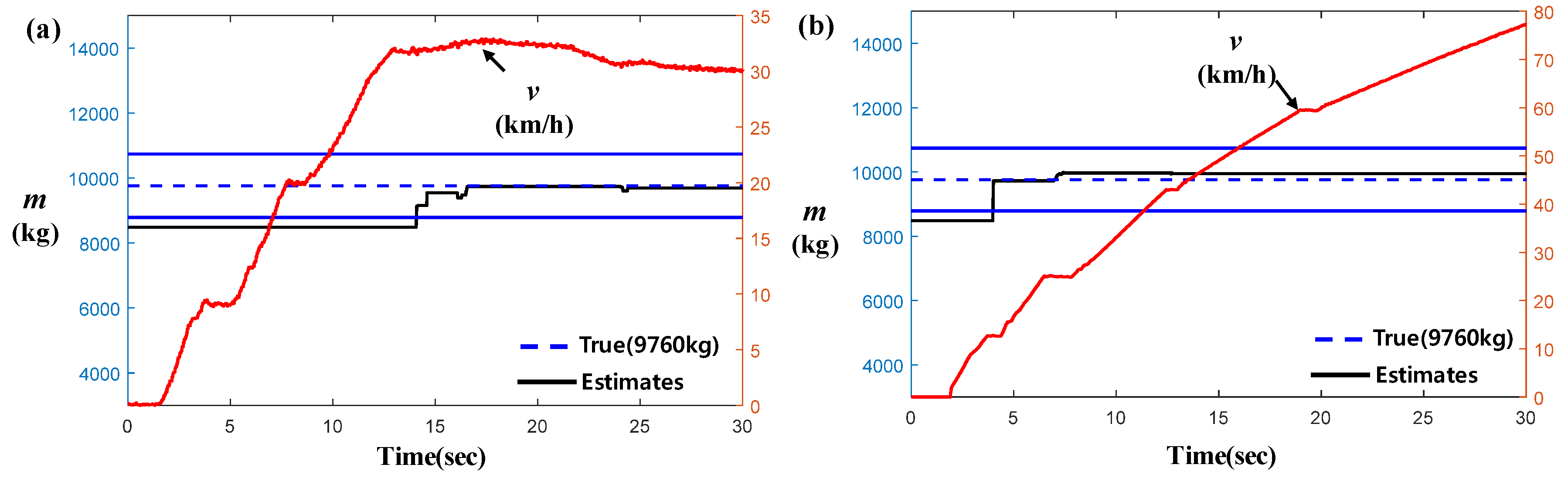
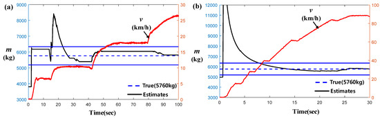
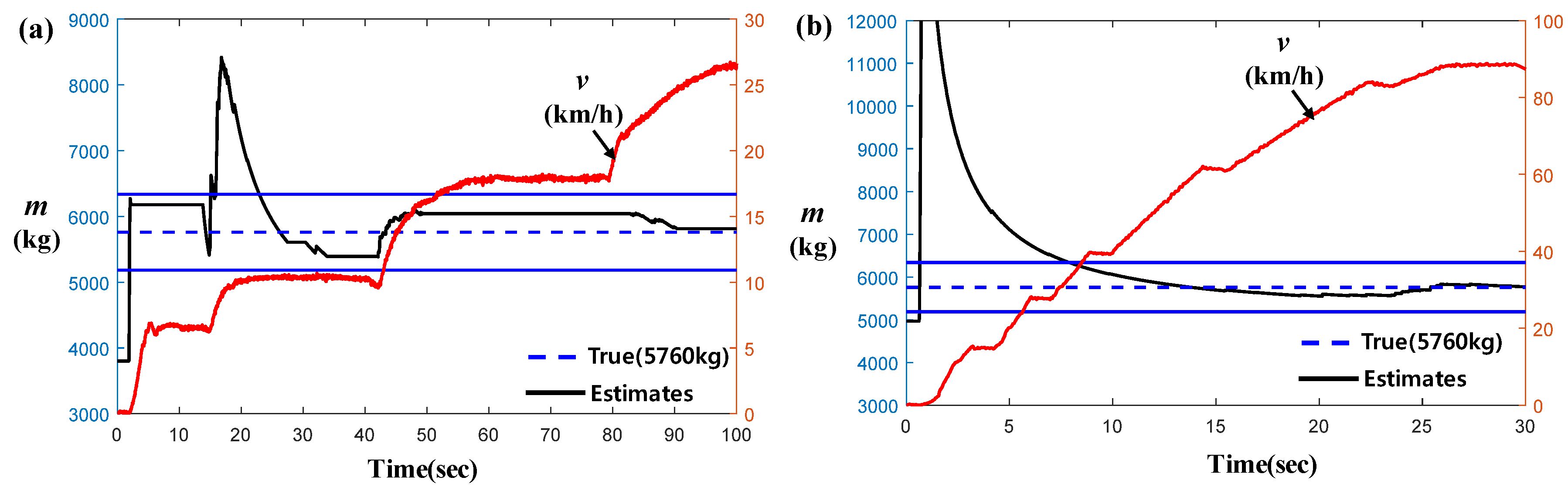
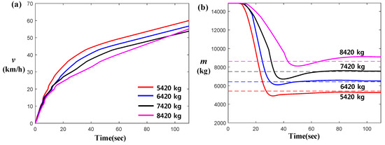
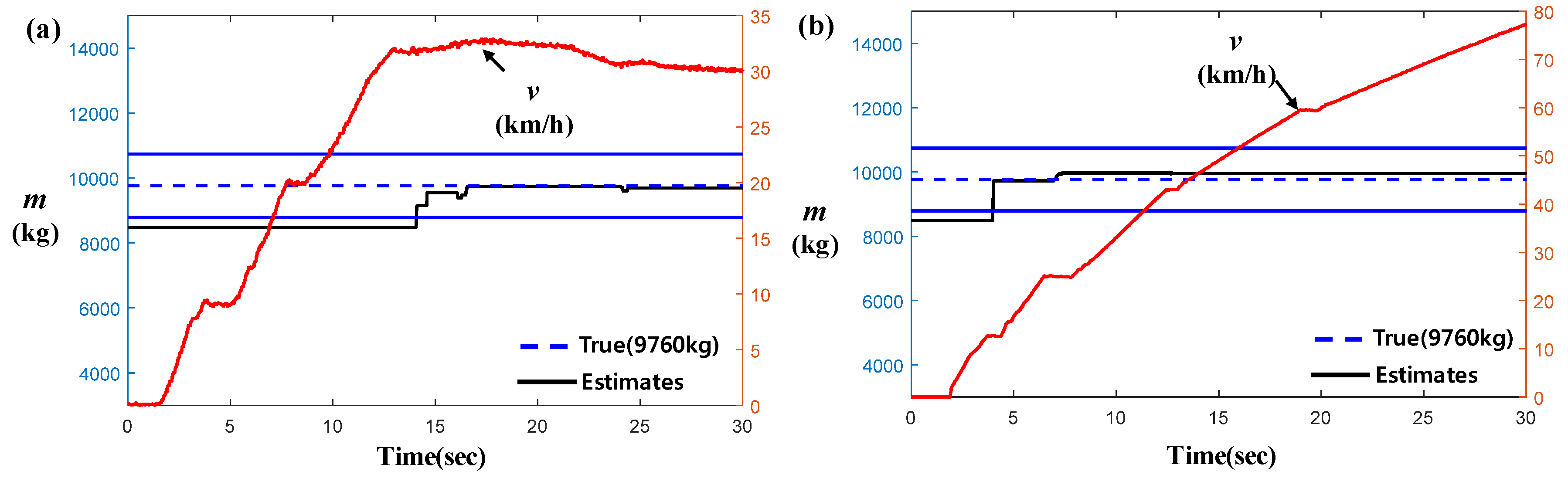
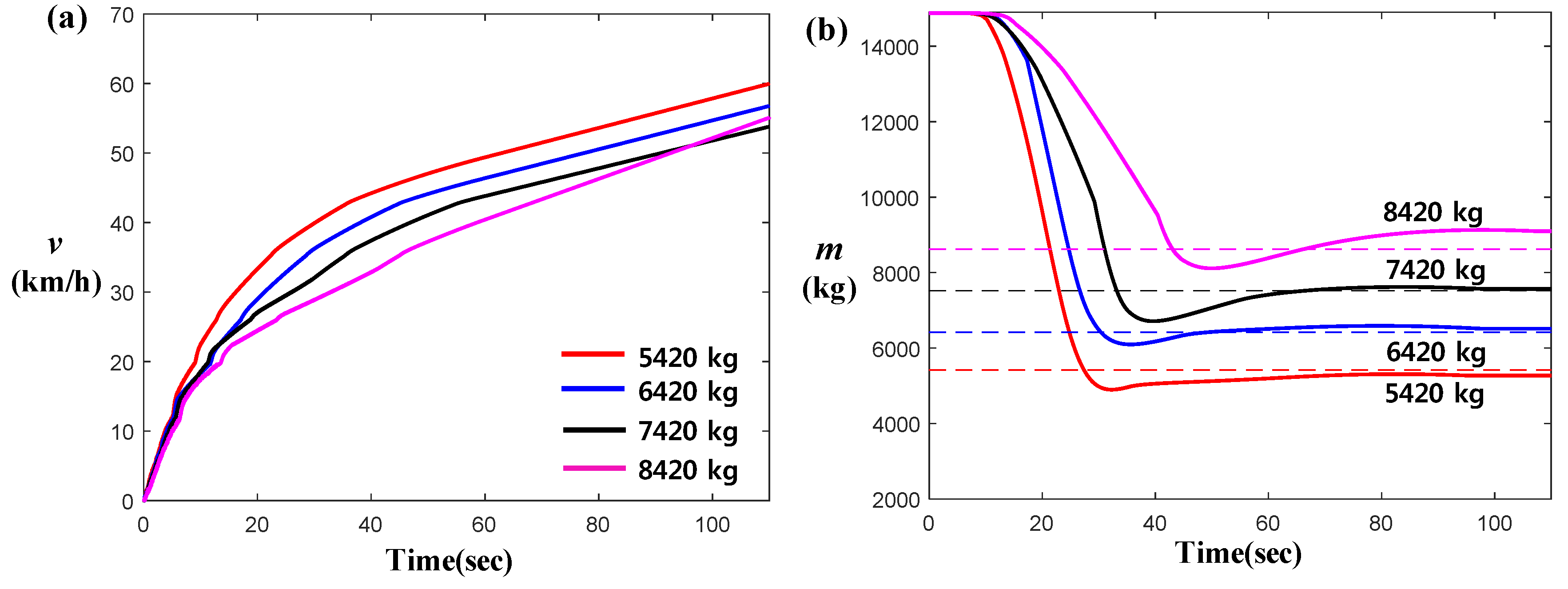
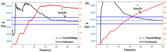
2.3. Simulation and Actual Test-Data-Based Estimation Results
3. Vehicle Longitudinal Velocity Based Mass Estimation
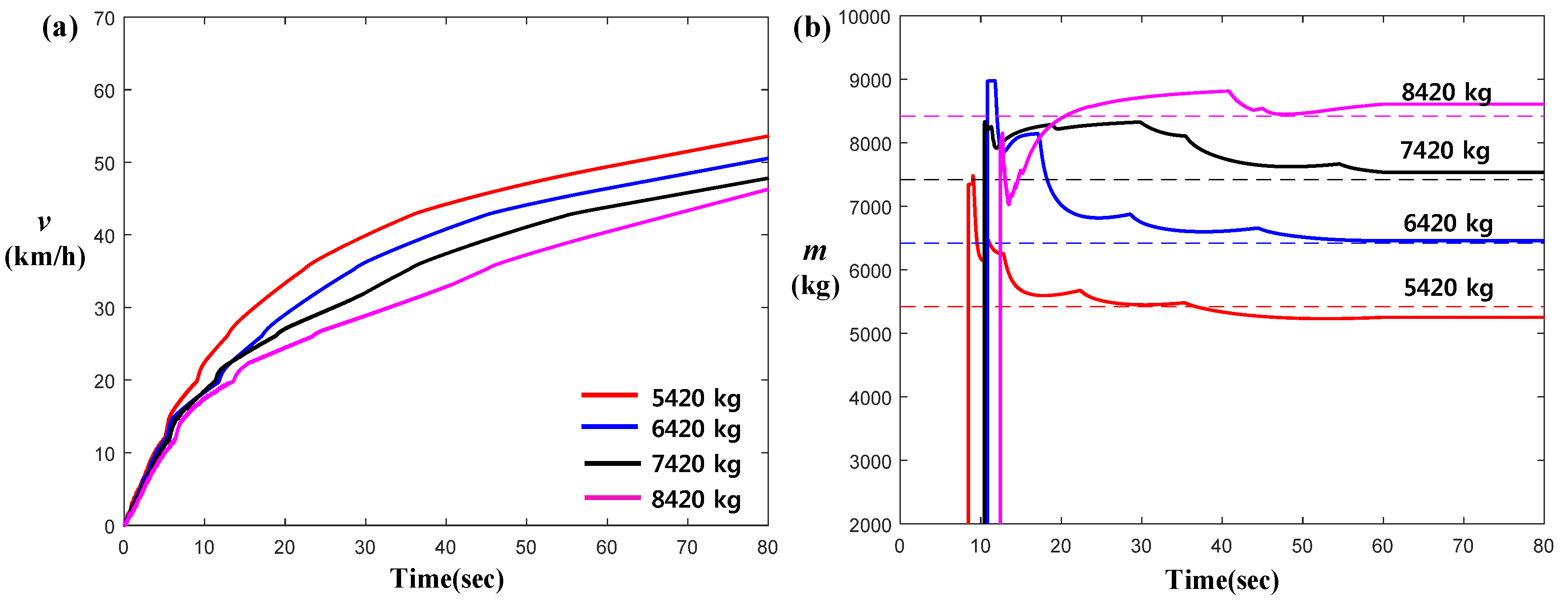
4. Predefined-Particle-Mass-Based Mass Estimation
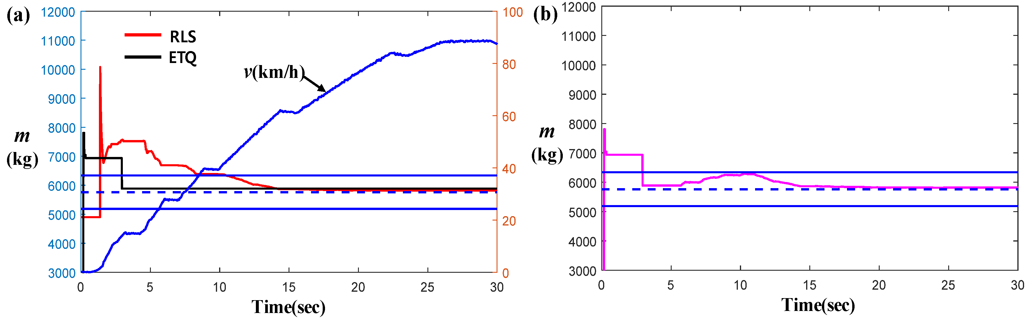
5. Recursive Least Square Based Mass Estimation
6. Conclusions
Author Contributions
Funding
Acknowledgments
Conflicts of Interest
Appendix A

References
- Vahidi, A.; Druzhinina, M.; Stefanopoulou, A.; Peng, H. Simultaneous Mass and Time-Varying Grade Estimation for Heavy-Duty Vehicles. In Proceedings of the American Control Conference, Denver, CO, USA, 4–6 June 2003. [Google Scholar]
- Vahidi, A.; Stefanopoulou, A.; Peng, H. Recursive least squares with forgetting for online estimation of vehicle mass and road grade: Theory and experiments. Veh. Syst. Dyn. 2005, 43, 31–55. [Google Scholar] [CrossRef]
- Feng, Y.; Xiong, L.; Yu, Z.; Qu, T. Recursive least square vehicle mass estimation based on acceleration partition. Chin. J. Mech. Eng. 2014, 27, 448–459. [Google Scholar] [CrossRef]
- Eriksson, A. Implementation and Evaluation of a Mass Estimation Algorithm. Master’s Thesis, Kungliga Tekniska Högskolan, Stockholm, Sweden, 2009. [Google Scholar]
- Fathy, H.K.; Kang, D.; Stein, J.L. Online Vehicle Mass Estimation Using Recursive Least Squares and Supervisory Data Extraction. In Proceedings of the American Control Conference, Seattle, WA, USA, 11–13 June 2008. [Google Scholar]
- Altmannshofer, S.; Endisch, C. Robust Vehicle Mass and Driving Resistance Estimation. In Proceedings of the American Control Conference Boston Marriott Copley Place, Boston, MA, USA, 6–8 July 2016. [Google Scholar]
- Ghosh, J.; Foulard, S.; Fietzek, R. Vehicle Mass Estimation from CAN Data and Drivetrain Torque Observer; SAE Technical Paper 2017-01-1590; SAE: Warrendale, PA, USA, 2017. [Google Scholar]
- Mahyuddin, M.N.; Na, J.; Herrmann, G.; Ren, X.; Barber, P. Adaptive observer-based parameter estimation with application to road gradient and vehicle mass estimation. IEEE Trans. Ind. Electron. 2014, 61, 2851–2863. [Google Scholar] [CrossRef]
- Sun, Y.; Li, L.; Yan, B.; Yang, C.; Tang, G. A hybrid algorithm combining EKF and RLS in synchronous estimation of road grade and vehicle’ mass for a hybrid electric bus. Mech. Syst. Signal Process. 2016, 68–69, 416–430. [Google Scholar] [CrossRef]
- Kidambi, N.; Harne, R.L.; Fujii, Y.; Pietron, G.M.; Wang, K.W. Methods in Vehicle Mass and Road Grade Estimation. SAE Int. J. Passeng. Cars Mech. Syst. 2014, 7, 981–991. [Google Scholar] [CrossRef]
- Mcintyre, M.L.; Ghotikar, T.J.; Vahidi, A.; Song, X.; Dawson, D.M. A two-stage lyapunov-based estimator for estimation of vehicle mass and road grade. IEEE Trans. Veh. Technol. 2009, 58, 3177–3185. [Google Scholar] [CrossRef]
- Wang, Z.; Qin, Y.; Gu, L.; Dong, M. Vehicle System State Estimation Based on Adaptive Unscented Kalman Filtering Combing with Road Classification. IEEE Access 2017, 5, 27786–27799. [Google Scholar] [CrossRef]
- Kim, S.; Shin, K.; Yoo, C.; Huh, K. Development of algorithms for commercial vehicle mass and road grade estimation. Int. J. Automot. Technol. 2017, 18, 1077–1083. [Google Scholar] [CrossRef]
- Lei, Y.; Fu, Y.; Liu, K.; Zeng, H.; Zhang, Y. Vehicle mass and road grade estimation based on extended kalman filter. Trans. Chin. Soc. Agric. Mach. 2014, 45, 9–13. [Google Scholar]
- Miller, E.; Konan, A.; Duran, A. Bayesian Parameter Estimation for Heavy-Duty Vehicles; SAE Technical Paper 2017-01-0528; SAE: Warrendale, PA, USA, 2017. [Google Scholar] [CrossRef]
- Bae, H.S.; Ryu, J.; Gerdes, J.C. Road Grade and Vehicle Parameter Estimation for Longitudinal Control Using GPS. In Proceedings of the IEEE Conference on Intelligent Transportation Systems, Oakland, CA, USA, 25–29 August 2001. [Google Scholar]
- McKay, T.R.; Salvaggio, C.; Faulring, J.W.; Sweeney, G.D. Sweeney, Remotely detected vehicle mass from engine torque-induced frame twisting. Opt. Eng. 2017, 56, 063101. [Google Scholar] [CrossRef]
- Lin, N.; Zong, C.; Shi, S. The Method of Mass Estimation Considering System Error in Vehicle Longitudinal Dynamics. Energies 2019, 12, 52. [Google Scholar] [CrossRef]






















© 2020 by the authors. Licensee MDPI, Basel, Switzerland. This article is an open access article distributed under the terms and conditions of the Creative Commons Attribution (CC BY) license (http://creativecommons.org/licenses/by/4.0/).
Share and Cite
Jung, D.; Choi, G. A New Adaptive Mass Estimation Approach of Heavy Truck Based on Engine Torque Local Convex Minimum Characteristic at Low Speeds. Energies 2020, 13, 1649. https://doi.org/10.3390/en13071649
Jung D, Choi G. A New Adaptive Mass Estimation Approach of Heavy Truck Based on Engine Torque Local Convex Minimum Characteristic at Low Speeds. Energies. 2020; 13(7):1649. https://doi.org/10.3390/en13071649
Chicago/Turabian StyleJung, DaeYi, and Gyoojae Choi. 2020. "A New Adaptive Mass Estimation Approach of Heavy Truck Based on Engine Torque Local Convex Minimum Characteristic at Low Speeds" Energies 13, no. 7: 1649. https://doi.org/10.3390/en13071649
APA StyleJung, D., & Choi, G. (2020). A New Adaptive Mass Estimation Approach of Heavy Truck Based on Engine Torque Local Convex Minimum Characteristic at Low Speeds. Energies, 13(7), 1649. https://doi.org/10.3390/en13071649
