Next Article in Journal
Research on Safety Technology for High-Speed Interruption for Mining Flameproof Movable Substation
Previous Article in Journal
An Interval-Arithmetic-Based Approach to the Parametric Identification of the Single-Diode Model of Photovoltaic Generators
 
 
Font Type:
Arial Georgia Verdana
Font Size:
Aa Aa Aa
Line Spacing:
Column Width:
Background:
Article

Two Phase Anaerobic Digestion System of Municipal Solid Waste by Utilizing Microaeration and Granular Activated Carbon

by
Fernando Canul Bacab
1,
Elda España Gamboa
2,
Juan Enrique Ruiz Espinoza
3,
Rosa M Leal-Bautista
4,
Raúl Tapia Tussell
1,
Jorge Domínguez Maldonado
1,
Blondy Canto Canché
5 and
Liliana Alzate-Gaviria
1,*
1
Renewable Energy Unit, Yucatan Center for Scientific Research, Mérida 97203, Mexico
2
Renewable Energy Department, Higher Technological Institute of Motul, Motul 97205, Mexico
3
Faculty of Chemical Engineering, Autonomous University of Yucatan, Periférico Norte, Km. 33.5, Tablaje Catastral 13615, Col. Chuburná de Hidalgo Inn, C.P. Mérida 97203, Mexico
4
Water Research Unit, Yucatan Center for Scientific Research, Cancún Q. Roo 77524, Mexico
5
Biotechnology Unit, Yucatán Center for Scientific Research (CICY), Mérida 97203, Mexico
*
Author to whom correspondence should be addressed.
Energies 2020, 13(4), 933; https://doi.org/10.3390/en13040933
Submission received: 20 November 2019 / Revised: 21 January 2020 / Accepted: 26 January 2020 / Published: 19 February 2020
(This article belongs to the Section A4: Bio-Energy)

Abstract

In an anaerobic digestion (AD) process, the hydrolysis phase is often limited when substrates with high concentrations of solids are used. We hypothesized that applying micro-aeration in the hydrolysis phase and the application of granular activated carbon (GAC) in the methanogenesis phase could make the AD process more efficient. A packed bed reactor (PBR) coupled with an up-flow anaerobic sludge blanket (UASB) was conducted, and its effects on methane generation were evaluated. The micro-aeration rate applied in PBR was 254 L-air/kg-Total solids (TS)-d was compared with a control reactor. Micro-aeration showed that it reduced the hydrolysis time and increased the organic matter solubilization as chemical oxygen demand (COD) increasing 200%, with a volatile fatty acids (VFAs) increment higher than 300%, compared to the control reactor (without aeration). Our findings revealed that the implementations of microaeration and GAC in the two-phase AD system could enhance methane production by reducing hydrolysis time, increasing solid waste solubilization.

Graphical Abstract

1. Introduction

By 2012, municipal solid waste (MSW) was generated worldwide around 1300 million tons per day, and it tends to grow in 2025 up to 2200 million tons per day [1]. In 2015, Mexico alone produced up to 53.1 million tons of MSW per day, which is 61.2% increased compared to the amount generated in 2003 [2]. There are many factors causing this increment such as urban and industrial growth, technological development, and change in consumer patterns of the population [2]. Inadequate disposition of MSW promotes decomposition of the organic matter, producing unpleasant odors, and harmful fauna. Moreover, the leachates infiltrate pollutants into the soil and groundwater, which represents a spreading potential of the contamination problem. Thus, it is necessary to look for alternatives for mitigation and final disposal to avoid environmental contamination and repercussions in ecosystems and public health.
Anaerobic digestion (AD) would be a remarkable way to recycle MSW to a constituent of natural gas, likes methane. AD process is conducted in a closed system, for instance, a packed bed reactor (PBR) coupled with an up-flow anaerobic sludge blanket (UASB). This PBR-UASB is a technically and economically feasible apparatus, offering a significant reduction of degradable organic matters in the garbage and reasonably high methane yield. Likewise, the leachate from UASB provides the moisture, seed, and nutrients required for the rapid conversion of solid wastes and the removal of inhibitors in PBR [3].
AD process consists of four phases: hydrolysis, acidogenesis, acetogenesis, and methanogenesis. The hydrolysis phase is considered a limitation when substrates with high concentrations of solids are used [4]. The AD has been divided into two phases (hydrolytic and methanogenic) with the intention of giving specific conditions to hydrolytic, acetogenic, and methanogenic bacteria, avoiding accumulation of volatile fatty acids (VFAs), as well the variations due to high organic loads and pH control [5].
Nguyen and Khanal [6] supplied air at a rate of 3.2 to 30 L-air/kg-Total solids (TS)-d during 15 seconds per minute [6], and found the increased production of volatile fatty acids (VFAs). Many studies applied microaeration in organic fraction municipal solid waste [5,7], resulting in the increased methane yields up to 27% and the increased solubilities of carbohydrates and proteins (38–64%) [7]. Application of intermittent microaeration in sewage and sludge treatments could accelerate the rates of anaerobic hydrolysis [8]. In other studies, applying microaeration in AD processes with the control of oxide-reduction potential (ORP) offered the optimal conditions (−100 to −200 mV with an airflow of 274 L-air/kg-TS-d) for carrying out hydrolysis, supporting by the improved production of VFAs up to 0.79 g chemical oxygen demand (COD)/g volatile solid (VS) [7,9,10].
Another strategy to enhance the efficiency in AD process for MSW is the use of granular activated carbon (GAC) in the methanogenesis phase, in which GAC could improve electron transfer between microbial species that are the key players in this phase [10]. This finding has shown that direct interspecies electron transfer (DIET) within the syntrophic microbial community could accelerate the bioconversion of several reduced organic matters to methane. DIET is considered an alternative pathway of interspecies hydrogen transfer that can be inhibited by thermodynamic problems and subsequently causes the accumulation of propionate [11,12].
Hitherto, the dual application using both microaeration and GAC to optimize the AD process of MSW for methane production is still unknown. With this reason, we aim to investigate the impacts of microaeration and GAC on the two-phase AD system conducted with PBR-UASB. The microaeration was applied in the hydrolysis phase held in PBR, and GAC was added into UASB to improve the methanogenesis. The solubility of organic matters and the methane yield were measured as the criteria to unveil the effects of either microaeration or GAC.

2. Materials and Methods

2.1. OFMSW and Inoculum

Organic fraction of municipal solid waste was selected and collected in the municipal market of Motul, Yucatan, Mexico. The following composition was used: potato 12%, carrot 5.6%, pea 2.6%, apple 9.8%, banana 7%, cabbage 10.2%, onion 6%, cauliflower 2%, orange 9.8%, tomato 4%, meat 4.4%, cooked pasta%, cooked rice 4.6% tortilla 7%, and 3.3% paper. This OFMSW (Organic Fraction Municipal Solid Waste) was stored at 4 °C until use [13]. The inoculum consisted of a native mixed microbial consortium, containing 30 g/L of deep soil, 300 g/L of cattle manure, 150 g/L of pig manure, 1.5 g/L of commercial Na2CO3, and 1 L of tap water was used according to Poggi-Varaldo et al. [14].

2.2. Reactors

The experiment was performed in batch mode, with a coupled system of two reactors as shown in Figure 1 (PBR and UASB) in the mesophilic range (38 °C).
Figure 1 Layout of experiments for the coupling of reactors; (a) packed bed reactor with micro-aereation, (b) upflow anaerobic sludge blanket, (c) coupling packed bed reactor with micro-aereation, and upflow anaerobic sludge blanket with direct interspecies electrons transfer.

2.2.1. PBR

The PBR was made of acrylic with a 14.5 cm inner diameter, and 26.4 cm height, having a useful volume of 1.5 L. As biofilm support, PVC rings 1 cm long and 1.22 cm in diameter were used to improve the leachate’s flow [5]. For the collection of the leachate, an acrylic perforated plate was placed 5 cm from the bottom of the reactor and covered with a metal mesh. OFMSW was placed in layers with PVC rings. A total of 0.5 kg OFMSW with a total solids (TS) content of 20.67 ± 1.9% with volatile solids (VS) content of 98.7 ± 0.06% was used as substrate. In addition, 4.6% TS and 58.2% VS/TS as inoculum and 1 L of tap water were added. The leachate was recirculated from the collected bottom to the upper part, with a flow of 70 mL/min, using a Milton Roy diaphragm pump. The experiment was maintained until the VFAs reached maximum concentration and were consumed at values close to 100 mg/L.
Micro-aeration (PBRMICRO-AERATION) was applied using a total flow of 254 L-air/kg-TS-d, the air was supplied for periods of 15 minutes every 2 hours per day according with to the work carried out by Xu et al. [5,9]. The experiment was maintained until the VFAs reached maximum concentration and were consumed at values close to 500 mg/L.

2.2.2. UASB

A UASB reactor was built of PVC with a 10.2 cm inner diameter pipeline and 120 cm length having a useful volume of 9 L. To start up the UASB, a mixture of synthetic wastewater and inoculum in a ratio of 1:1 was used. The composition of the synthetic wastewater was 4 g/L sucrose, 1 g/L ammonium chloride, 0.2 g/L potassium phosphate, and 1 g/L sodium bicarbonate, as mentioned by Poggi-Varaldo et al. [14]. The reactor operated with an ascending flow velocity of 0.5 m/h according to Latif et al. [15], a pH range of 6.8–7.4, at mesophilic temperatures (38 ± 1 °C), which was maintained with a bath temperature circulator Wisecircu. For UASB acclimatization, the organic loading rate started with 0.5 kg COD/m3 d; this was increased until the reactor collapsed. In this way, the organic loading rate was determined when the following control tasks were established in the UASB: COD removal up to 50%, VFAs 1.5 g/L, methane content in the biogas ≥ 50%, a range of 0.7–0.9 in the alpha index and 0.2–0.4 for the buffer index [16]. The following parameters: COD, alkalinity, VFAs, NT, pH, biogas volume, and methane percentage were monitored every day. Likewise, once the reactor was collapsed due to the accumulation of VFAs; organic load rate was reduced and UASB function was restored. Later granular carbon content was added in 2 bags of metal mesh, one at 45 cm and the other 80 cm from the bottom, each with 180 gr of granular activated carbon at different heights inside the reactor, to improve electron inter-species transfer according to Dang et al. [17]

2.2.3. Coupling of the PBRMICRO-AERATION and UASB Reactors

Three coupling experiments were carried out with the same control parameters, once the systems reach acclimatization, as shown in Figure 1c. The time in which the micro-aerated packed bed reactor (PBRMICRO-AERATION) reached maximum COD was used as a reference coupling with the UASB reactor. In each feed to the UASB, the volume of the hydrolytic effluent was calculated in order to maintain an organic loading rate of 2 kg COD/m3 d. The UASB reactor was considered stable when it reached this organic loading rate, the ratio between bicarbonated alkalinity and total alkalinity (alpha index) was maintained in a range of 0.7–1; the ratio between alkalinity due to VFAs and total alkalinity (buffer index) between 0.2–0.4 [18], and the methane content in the higher biogas at 50%. Similarly, a variation lower than 10% for these criteria was established during five consecutive days [19]. The experiments were carried out until the leachate of both reactors had the same COD concentrations according to the report by Cirne et al. [20], they indicated the experiment had finished.

2.3. Analytical Methods

The produced volume of gas was measured by displacement of water [21,22], the percentage of methane (CH4) and carbon dioxide (CO2) in biogas were measured using a gas chromatograph (Clarus 500-Perkin Elmer) equipped with thermal conductivity detector (TCD) and Elite-Molesieve packed column (30 m long, 0.53 mm internal diameter, and 0.25 μm film thickness). Ultra high purity Nitrogen was used as carrier gas; the temperature program was 35, 50, and 200 °C for the injector, the furnace, and detector, in an isothermal run.
The pH was determined with a pH electrode Hach-HQ29, Oxidation-Reduction Potential (ORP) was determined by a redox potential sensor (Extech RE300, Nashua NH USA). Chemical oxygen demand (COD, HACH-Method 8000), total nitrogen (TN) (Total Kjeldahl Nitrogen TKN HACH-Method 10072), total phosphorus (PO43−, HACH-Method 8119), total sulfate (SO42− HACH-Method 8051), and total organic carbon (TOC, HACH-Method 10129) were determined in a colorimeter (Hach DR1900). Total alkalinity and VFAs were measured by titration with 0.1 N sulfuric acid according to Purser et al. [23] and protein content was determined by multiplying the TKN by a factor of 6.25 [5]. Humidity percentage, total solids (TS), and volatile solids (VS) in the substrate were determined according to the manual of standard methods [24]. Total carbon (TC) and nitrogen (N) were analyzed using a CHN elemental Thermo Scientific Flash 2000 CHNS/O Organic Elemental Analyzer; Thermo Scientific Flash 2000 Software: EAGER Xperience.

2.4. Enzymatic Activity

Carboxymethyl cellulase (CMCase) activity was monitored as reported by Zhu et al. [25], wherein one unit of enzyme activity was defined as the amount of enzyme that releases 1 μg of glucose equivalent per min−1 [26]. This determination was made to evaluate the micro-aeration effect on the enzymatic activity, to monitor the lignocellulosic biomass degradation [25] 0.5 mL of sample was used, with 1.5 mL of CMCase at 0.5% w/v diluted in citrate buffer and incubated at 50 °C for 30 minutes. After incubation 0.5 mL of sample was taken, 1.5 mL of 3.5-Dinitrosalicylic acid (DNS) was added, and boiled for 5 minutes in a water bath, which was allowed to cool down to room temperature and later read by a Jenway 6405 spectrophotometer at 550 nanometers. The evolution of the cellulase was monitored throughout all experiments.

2.5. Statistical Analysis

Physicochemical parameters were performed in duplicated and their results were expressed as mean ± standard deviation (SD) using the Statistica 9 software.

3. Results

3.1. OFMSW Characterization and Inoculum

Table 1 shows the characterization and OFMSW percentages of components. Moisture content was 79.3 ± 0.7% and total solids 20.7 ± 0.7%, which 99.4 ± 0.0% corresponds to volatile solids from total solids (VS 209.6 g per kg OFMSW), thus, indicating the biodegradable organic matter content that can be transformed into biogas. Wang et al. [27] worked with food waste in anaerobic digestion obtained values of 24% TS and 23% VS, which were similar to those obtained in this work [27]. As for TS content in the OFMSW used in this work, more than 99% correspond to VS, therefore, it represents the organic components that can theoretically be oxidized forming methane, carbon dioxide, and water; thus, be used in biodegradation process.
OFMSW pH had an average of 6.9 ± 0.5, this value is similar to that reported by Forster-Carneiro et al. [28] (pH 7.5), but different from that reported by Garcia-Peña et al. [29] (pH 4.2). This variation in pH may be due to the state of putrefaction or the state of maturity of the residues [29], as well as the proportion of fruits and vegetables, since they are easily degradable residues, they can favor the accumulation of VFAs and lower the pH, which leads to a deficient anaerobic digestion in the methanogenic phase [3]. With respect to nutrients, the total amount of phosphorus in the OFMSW was 37 ± 0.5 g/kg, it is higher than that reported by Campuzano and González-Martínez [30], who performed an analysis at a global level found results of 13 g/kg phosphorus and Alibardi and Cossu [4], who obtained 4.8 g/kg in OFMSW. Therefore, it is not necessary to add nutrient during the process, because C/N ratio was 24.5 ± 5.5/1 within the optimal ratio (20/1–30/1) in anaerobic digestion [3]. With respect to the pH measured in the different preparations of the OFMSW, variations were found, including the same preparation (pH 6.4), these variations were due to the time during which it was stored. Although it was kept at low temperature, and the enzymatic activity was carried out at a lower speed; that it caused a decrease in pH, which was observed from the obtained the measurements. In addition, the stage in which the residues of fruits and vegetables are found at the time of collection, either in an advanced state of maturity or lack of development, it influences the pH value, therefor the acidic pH values correspond to the fermentation phase. Moreover, it is important to consider these variables for control process. Regarding the physicochemical characteristics of the inoculum we found 4.62 ± 0.1% TS, 2.1 ± 0.1% VS, 1,652 mg/L alkalinity, and neutral pH, which indicates that it can supply buffer capacity in the process.

3.2. PBR

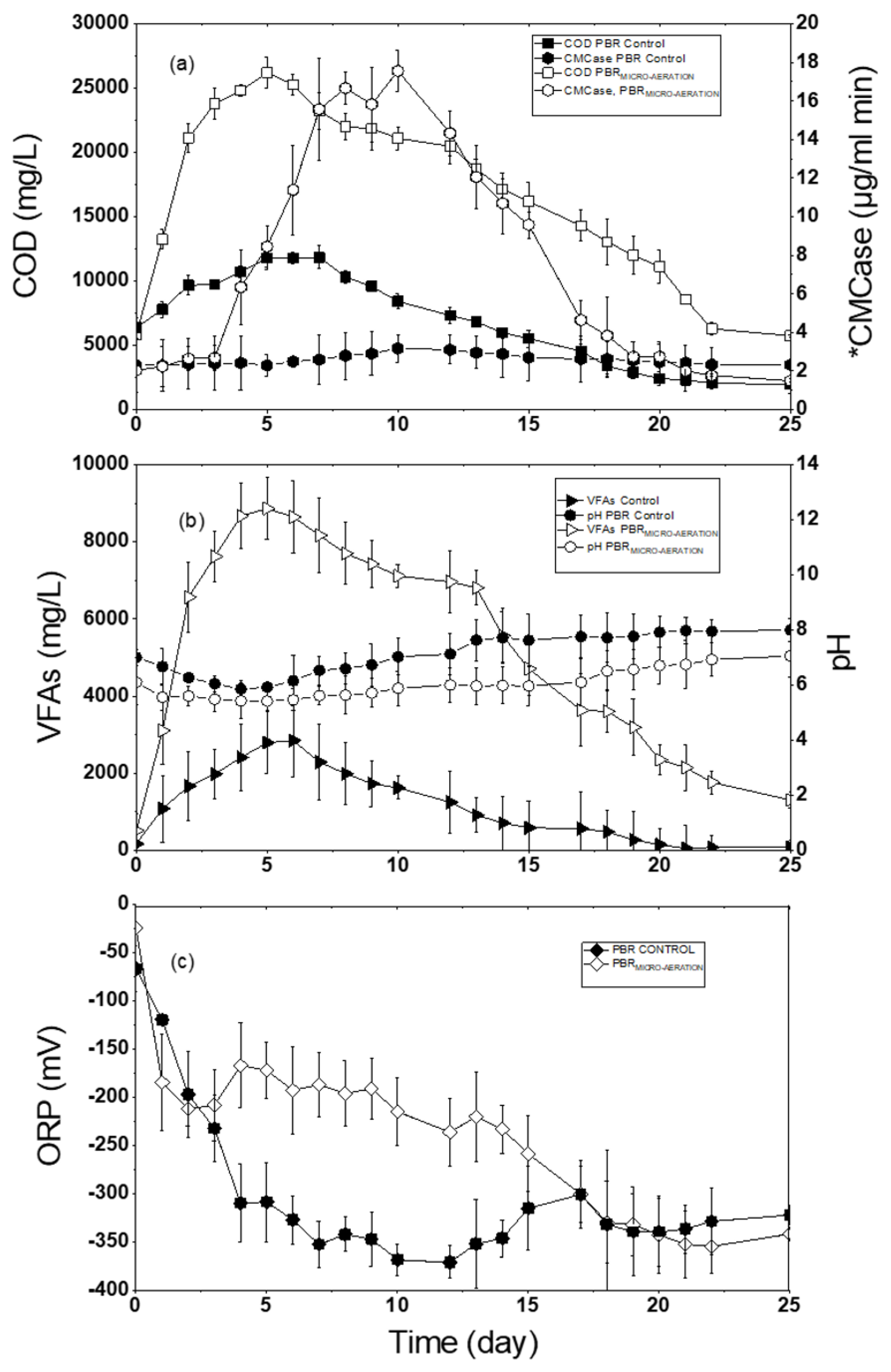
Figure 2a shows the COD and the enzymatic activity of CMCase in PBR control reactor. The organic matter solubilization started on the first day of the experiment, as shown in Figure 2a, the initial COD value was 6375 mg/L. On day 4, this parameter was 10,800 mg/L and the highest value in the leachate was 11,800 mg/L reached on day 7. However, after day 12, the COD concentration decreased to 7000 mg/L, reaching 3500 mg/L on day 18, and maintaining this tendency to decrease until the end of the experiment. In a period of 18 days the COD decreased 6800 mg/L, which is a shorter time than reported by Dogan et al. [31], who reported a time of 40 days for COD reduction using OFMSW as substrate. These results indicated that COD maximum rate of solubilization takes place in the first 10 days, as mentioned by Jiang et al. [32], who with food waste obtained a maximum COD concentration at 80 hours after the AD process had started. With respect to the CMCase enzymatic activity, from day 1 to 5, the concentration recorded was 2 μg/mL min. On day 6, the concentration increased to 3.18 μg/mL min on day 12, similar values were reported by Zhu, Li, Hao, He, and Shao [25], using vegetable wastes.
Figure 2 Packed bed reactor control reactor or with micro-aereation (a) chemical oxygen demand and enzymatic activity, (b) volatile fatty acids and pH, (c) oxide-reduction potential.
The enzymatic activity of CMCase has an important function in the degradation of the cellulose to carbohydrates, therefore influencing the efficiency of the hydrolytic phase. Carrying out a comparative analysis of the results obtained in the control and registered in the literature, the highest solubility of the organic matter measured as COD was observed 7 days after the start the test and reached stability on day 18. Therefore, the process had greater operational efficiency by reducing treatment time to 18 days and costs would decrease. However, the enzymatic activity behaved similarly to that recorded by Zhu, Li, Hao, He, and Shao [25] with a slight increase on day 10 and decrease on day 17, therefore, cellulose degradation was very low.
Figure 2b, shows VFAs and pH during the experiment. In this test, the initial concentration of VFAs was 91 mg/L, increasing from day 1 to 6 until reaching a maximum value of 2850 mg/L with a pH of 5.9 on day 6. Jiang et al. [32] mentioned that hydrolysis condition occurred in a range of 5 to 6 pH units. From day 7 to 15, the concentration of VFAs decreased to 600 mg/L, on day 20 a value of 300 mg/L with a pH of 7.7 caused by the decrease in VFAs, indicating that the reactor had changed to another phase. However, the work done by Angelidaki et al. [33], using OFMSW, indicated that the highest concentration of VFAs was 3500 mg/L on day 28 by using DA in a single stage, which represented a time greater than the one required in this work to reach the highest concentration of VFAs.
The efficiency of an anaerobic digestion process depends on pH control in all its phases, to allow microorganisms to perform their metabolic activities, otherwise, it can cause problems in these processes [34]. The pH has a direct relation with the VFAs. Throughout the first 5 days of the experiment, a decrease in pH was observed in the hydrolytic reactor, caused by an increase in VFAs, reaching pH value of 5.7. This transformation was previously described by Cysneiros et al. [35], the decrease in pH is the result of the conversion of macromolecules from the substrate into acidic metabolites such as acetic, butyric, pyruvic, and capric, among others [36], when these acids transformed into acetate are consumed by methanogenic microorganisms. In this sense, an optimal pH control was not applied in the PBR to establish the ideal conditions as mentioned above. As for the pH results obtained in the test, no values below 5.5 were found, however, variations of 5.8 to 7 pH were found in the first 10 days. Therefore, the pH values and the concentration of recorded VFAs determined that it was the time in which the hydrolysis was carried out. Although the VFAs registered a maximum concentration of 2850 mg/L, which was lower than that of Angelidaki, Chen, Cui, Kaparaju, and Ellegaard [33] who obtained a concentration of 3500 mg/L in 28 days and Dogan et al. [31] who reported 3200 mg/L in 16 days, we considered that the test performed is more efficient because the maximum concentration was reached at 6 days.
As shown in Figure 2c, the ORP initially had a value of −60 mV and gradually decreased to −310 mV on day 5. Xu, Selvam, and W.C.Wong [5], performed ORP tests on different times (days), described similar behavior and mentioned situations where the ORP gradually decreased to −120 mV. Similarly, Zhu, Li, Hao, He, and Shao [25], performed tests in which they measured the behavior of the ORP, describing variations in the first 5 days; these authors also mentioned that the value of the ORP is function of pH. As shown in Figure 2c, the highest variation of the ORP occurred during the first 7 days. The ORP varies from −300 to −370 from day 6 to day 25. In a review of different investigations, developed by Guang et al. [37], described the importance of the different ORP intervals and their impact on gene expression, protein biosynthesis and control strategies for higher efficient production of by-products of interest. Zhu, Li, Hao, He, and Shao [25], performed a recirculation of the leachate from the methanogenic reactor every 5 days, indicated that the ORP values vary periodically thus, its tendency and effect during the tests cannot be predicted.

3.3. PBRMICRO-AERATION

As shown Figure 2a, the system started with a COD of 6000 mg/L. During the first 5 days, it increased to a maximum value of 25,600 mg/L, which represents an increase of more than 100% compared to the PBR control.
Afterwards, the COD decreased to 21,850 mg/L on day 10, from day 11 to day 22 decreased to 8550 mg/L, until reaching 5350 mg/L COD on day 25. This increase in COD was attributed to the presence of supplied oxygen, which favored the development of facultative microorganisms resulting in an increase in the secretion of external enzymes by bacteria under microaerobic conditions [25]. These secreted external enzymes increased the solubilization of the solid particles of the substrate resulting in an increase in the rate of hydrolysis of organic matter, which was noticeably higher compared to the control PBR reactor. The increase in COD was caused by the solubilization of the solid particles from the substrate, resulting in an increase in the rate of hydrolysis of organic matter [5]. These results indicated that hydrolysis occurred through the first days (5 days), as was mentioned by Xu, Selvam, and W.C.Wong [5], who found values of 61.3 g/L of COD in the second and third days using a micro-aeration rate of 258 L-air/kg-TS-day. However, in their tests they used 1 kg of substrate with a TS content of 38%, VS of 97.1%, and 0.2 kg of wood chips, which represents a greater amount of organic matter and lignocellulosic waste, therefore a higher COD concentration.
The hydrolytic efficiency in the reactor was correlated with changes in CMCase activity in the OFMSW, which reflects the coordination mechanism of multiple enzymes produced by microorganisms that degrade complex lignocellulosic matter. Thus, with micro-aeration the enzymatic activity increases, as shown in Figure 2a, the exponential increase in CMCase enzyme activity was observed from day 3, reaching a maximum value of 17.5 μg/mL per min on day 10. However, a decrease was observed on day 11, where the concentration decreased to 13 μg/mL min, and on day 20 declined to 2.7 μg/mL min. During the micro-aeration, the increase in enzymatic activity indicated a higher concentration of CMCase in the hydrolysis of cellulose contained in vegetable waste compared with the PBR control reactor. The enzymatic activity lasted until day 15, further favoring the solubilization of the more complex solid particles contained in the substrate, which manifested itself as an inability to realize your metabolic needs under certain environmental conditions. Similar behavior was described by Zhu, Li, Hao, He, and Shao [25], who observed an increase in the enzymatic activity of CMCase with micro-aeration on day 5. This confirms that facultative microorganisms found favorable conditions to secrete enzymes that degrade complex materials. Similar results were reported by Charles et al. [38], they used micro-aeration as pretreatment, achieving an increase in the enzymatic activity of cellulase during the first 5 days. These values indicated that the micro-aeration applied to the hydrolysis in the PBR had a positive effect on the enzymatic activity of the cellulase, causing greater degradation of the macromolecules and reflecting an increase in COD in the first 5 days. Therefore, this enzyme is highly specific for depolymerize cellulose into glucose and other monosaccharides [39]. Lynd et al. [40] described the mechanism of action of the enzyme cellulase and mention that to break the β-1, 4 glycoside bonds of cellulose, requires acid hydrolysis using a proton donor and a nucleophile or one base. Likewise, Dollhofer et al. [41] describes that anaerobic microorganisms lack the enzymatic capacity to catabolize lignin, for this reason, the presence of oxygen favors the reaction to break aromatic rings of the cellulose, which does not occur in a completely oxygen free environment. This study demonstrated that when comparing the results obtained in the PBRMICRO-AERATION, a greater enzymatic activity is observed in comparison with the PBR control. In the PBRMICRO-AERATION, the conditions were given for cellulose to have a higher degradation (acidic and medium), which was favored by the addition of oxygen in the process. As can be seen in Figure 2a, there is greater activity on days 9–11, comparing this behavior with what by Zhang and Lynd [42] describe, they mention that cellulose hydrolysis is carried out slowly and in a longer time. Therefore, we consider that the behavior of the CMCase in PBRMICRO-AERATION was likely due to the mechanism by which the reactions are carried out. At the beginning of the test, the endogluconase star being into contact with lignocellulosic materials to initially break the cellulose chains, releasing oligosaccharides. Subsequently, the exo-gluconase enzyme attacks the ends of the chains releasing cellobiose and finally the enzyme β-glucosidase reacts with the cellobiose to form glucose. Due to the link structure of the lignocellulosic biomass, these transformations are carried out in an enhanced manner, therefore, the hydrolysis phase time increases, making it more efficient.
Figure 2b shows the VFAs concentration and pH values during the experiment. The initial VFAs concentration on day zero was 516 mg/L, subsequently on days 2 and 3 an increase was recorded continuously until day 5, wherein the maximum VFAs value of 8800 mg/L was recorded. This increase was due to the transformation of macromolecules to reducing sugars and these to VFAs, which caused the pH decrease to 5.4 [29]. The VFAs concentration applying micro-aeration was higher compared to other studies. Agdag and Sponza [43] obtained a VFAs production of 6000 mg/L by using OFMS as substrate, similarly, Sarkar and Mohan [36] obtained maximum values of VFAs of 5087 mg/L by applying micro-aeration at the OFMSW. In this work, the VFAs production was greater than the PBR control reactor by 300%, which is evidence that micro-aeration favored hydrolysis and the production of organic acids during the first 5 days and on day 10, the concentration decreased to 7100 mg/L. After this time, on day 25 the VFAs decreased reaching similar value to the initial one of 1500 mg/L. The micro-aeration was applied for 25 days in the reactor. On the other hand, although the energy consumption is low, it could be further optimized using the micro-aeration for a shorter time. The maximum concentration of VFAs was found during the first 5 days and the enzymatic activity lasted until 10 days after the start of the test in the micro-aerated reactors. Therefore, the micro-aeration can be improved, reducing the operating time in the hydrolytic reactor, using micro-aeration only in the first 15 days, and in turn, saving energy [5].
As shown in Figure 2b, the pH had an inverse relationship with VFAs. At the beginning, the pH value was 6.11, on days 2 and 3 values of 5.61 and 5.4 were recorded. This decrease in pH is caused by conversion of macromolecules into VFAs, which when transformed into acetate and consumed by the methanogens, it leads to an increase in pH. During the biodegradation of the waste, the pH showed variations, on day 10 the pH was 5.88, which showed that PBRMICRO-AERATION was still in the hydrolysis stage. On day 12, there was slight increase reaching a pH value 6, maintaining this trend until reaching 6.5 on day 18, and on day 25, the pH increased to 7.06. Xu et al. [44], who reported similar behavior with food waste, found a pH decrease of up to 4 on day 5 and 6 caused by the accumulation of VFAs when the experiment began and then an increase to 6 on day 8. Likewise Cysneiros, J.Banks, Heaven, and G.Karatzas [35], who studied the hydraulic flow effect and pH control on the VFAs production and described pH drops up to 4, therefore, it was necessary to add a buffer solution. In this case, we had pH conditions inside the reactor for hydrolysis to take place, therefore, no reagent was added.
The ORP values are observed in Figure 2c. At the beginning of the experiment, on day 0, the ORP had a value of −25 mV, but on the first day, the ORP decreased to −185 mV, and from day 2 to day 9, the ORP varies from −167 to −215 mV, and finally decreased to −352 mV on day 20. At the beginning the ORP decreases; this was attributed to the production of metabolite such as hydrogen, lactate, VFAs among others, as mentioned by Nguyen and Khanal [6] and Liu et al. [45], who mentioned that during the hydrophilic phase, reduced compounds are generated promoting the decrease in ORP to negative values of up to −420 mV. On the other hand, the addition of oxygen due to micro-aeration in the AD system modified ORP values (reduction in reducing power) due to oxygen consumption by reducing metabolites, as mentioned by Xu, Selvam, and W.C.Wong [5].
In addition, changes in redox potential caused changes in the nutrition and physiology of microorganisms, which in turn influences the redox state of essential nutrients such as phosphorus and nitrogen facilitating their absorption by microorganisms. In this test, the addition of air results in an increase of ORP (decrease in reducing power) due to oxygen consumption by reducing metabolites, in addition, the micro-aeration rate of 254 L-air/kg-TS-day maintained a range of −150 to −215 mV inside the PBRMICRO-AERATION, this range is considered suitable for hydrolytic microorganisms [9]. At this ORP range, microorganisms such as firmicutes, proteobacteria, and bacteriodes were developed, finding the conditions to perform their metabolic activities, thus we assume that they found the conditions in the environment required for their development. Therefore, the production of VFAs was improved, which was verified with the PBR control by obtaining a higher yield in the first 5 days without the addition of chemical reagent to regulate the pH or that inhibits methanogenic activity. The range of −150 to −215 mV is considered within a microaerobic zone [6], where degradation of the substrate is promoted and transformed into by-products such as volatile fatty acids, among others.

3.4. UASB (Acclimatization)

UASB reactor acclimatization was done by adding a mixture of 50% inoculum and 50% synthetic wastewater in volume (ratio 1:1), see Figure 3. VFAs, total alkalinity (data not shown), and pH measurements were carried out to verify the behavior of the alpha and buffer indexes, as described by Martín-González, Font, and Vicent [18], these authors mentioned the importance of alkalinity when the VFAs overcome bicarbonated, the system undergoes pH drops, therefore methane production decreases. On the other hand, Jun et al. [46] mentioned that alkalinity is necessary to maintain a pH range of 6.8–7.2 at OFMSW, which is the range where the biological activity of methanogenic bacteria is carried out and the lack of bicarbonate alkalinity allows VFAs accumulation, as well as a decrease in methane production.
Figure 3. Upflow anaerobic sludge blanket acclimatization: (a) organic loading rate and chemical oxygen demand removal, (b) alpha and buffer indices, (c) volatile fatty acids and pH.
The acclimatization phase allowed to establish the organic loading rate in the reactor, which was gradually increased from 0.5, 1, 1.5, 2, 3, 4, and 6 as kg COD/m3 d until the reactor collapsed. Ahring [47], mentioned that substrates with moderate concentrations of TS (12%), require using organic load rates of less than 5 kg COD/m3d in order to avoid imbalances in the process. In our study, the TS concentration in the OFMSW was 20.7 ± 0.7%, therefore, was necessary to determine the operational load of the UASB considering the characteristics of the substrate. The COD removal results are shown in Figure 3a. In the beginning, a 0.5 kg COD/m3d load was established with rising removal up to 60%, later, it was increased to 1.5 kg COD/m3d, remained for 20 days with a removal of 70% to 80%. Therefore, loading organic rate continued to increase in the UASB reactor until it reached 6 kg COD/m3d, where remained for 25 days more, with variable removals until finally collapsing on day 125.
From day 1 to day 80 of the start of the test, the alpha index showed variations in a range of 0.8 to 0.97, and buffer index of 0.05 to 0.2. During this time, the UASB presented an imbalance, the alpha index decreased to 0.3, the buffer index increased to 0.7 (Figure 3b), and the methane in the biogas registered a decrease of up to 30%. In order to stabilize the process, on day 125 the organic load was reduced to 4.5 kg COD/m3d during 40 days, subsequently it was reduced to 3 kg COD/m3d for a period of 40 days without the reactor reaching stability. Gao et al. [48], who used OFMSW as a substrate, evaluated the effect of the increased organic load, described that greater than 2.5 gVS/Ld (equivalent to COD 3 g/Ld) causes VFA accumulation and generates an imbalance between the acidogenesis and methanogenesis phases in microbial community. From day 1 to 80, the amount of VFAs was maintained at 200 mg/L (Figure 3c); the COD removal was greater than 50% and the methane in the biogas was 70%. On day 104, the organic load was increased to 6 kg COD/m3d and maintained until day 124. During the 20 days when the organic load was maintained at 6 kg COD/m3d, the reactor presented instability, showed a decrease in pH and accumulation of VFAs. Therefore, inhibition of methanogenic microorganisms caused an increase in VFAs concentration to 13,000 mg/L (Figure 3c).
To correct the accumulation of VFAs, decrease in pH and decrease in the percentage of methane in biogas, on day 200 the organic loading rate was reduced to 2 kg COD/m3d. Two stainless steel mesh bags with granular activated carbon were placed inside the reactor [49]. Dang et al. [17], who studied the DIET using different types of carbon in OFMSW to improve the methanogenic phase, in their studies have revealed the enrichment of microorganisms such as Sporanaerobacter and Methanosarcin present on the carbon surface. These results and the known ability of Sporanaerobacter species to transfer electrons suggest that they can participate in direct electronic transfer between species with methanesarcin, when an inorganic conductor is used as an electron transfer mediator. Therefore, the use of GAC inside the UASB reactor favors recovery and stability in a shorter time when existing VFA accumulates. In addition, the use of DIET between species increased the amount of methane in the biogas and decreased the VFAs concentration.
After making these modifications, the total alkalinity was determined, and it was observed that the alpha and buffer indexes returned to the values within the operating range (alpha 0.7–0.9 and buffer 0.2–0.4). After the coal addition in the reactor, the stabilization time required was 13 days, from day 200, the UASB reactor reached balance with 2 kg COD/m3 d organic loading rate, and reaching a removal up to 70% removal, an ascending flow velocity of 0.5 m/h, taking as reference Latif et al. [15]. In addition, the biomass was prevented from reaching the top of the reactor and is favorable for the development of mesophilic granules. The alpha index had an average of 0.9, buffer index 0.2, COD removal more than 50%, and VFA less than 2000 mg/L, therefore, we considered that the microorganisms adapted to medium characteristics, thus achieving the start and stabilization of the UASB again.
During the time in which the reactor presented acid-base imbalance due to the increase in the organic loading rate, washing of the biomass was observed in bulky granules. This condition negatively affected the retention of sludge inside the reactor. Several authors, Ahring [47], indicated that for substrates with high TS concentrations (greater than 12%), and Parawira et al. [50], the maximum organic load that a UASB reactor supported was 6 kg COD/m3d. In order to make methanogenic activity more efficient, DIET was used in the UASB, therefore, we consider that mutual interaction (syntrophic) between hydrolytic bacteria and methanogenic archaea was favored, and the conversion of reduced organic compounds from short chain to methane was accelerated. The addition of a no-biological conductive material such as GAC favored electron transfer. The GAC apart from serving as a support for the microorganisms had the capacity to absorb toxic compounds and increase the pH; therefore, it favored the conditions of the medium and increased methanogenic activity [12].

3.5. Coupling Reactors (PBRMICRO-AERATION and UASBDIET)

Coupling reactors operations were determined by maximum COD concentration, and an amount of VFAs t in the micro-aerated packed bed reactor (PBRMICRO-AERATION). The coupling experiment ended at 14 days when both reactors obtained similar results for COD, VFAs, and pH, as mentioned by Cirne et al. [20], in which they used energy crops as raw material in a two-phase system; they described that the coupling time of both reactors ends when their leachates register similar values.
Figure 4 illustrates the profiles of the parameters determined to evaluate the behavior of the system. In Figure 4a, COD behavior is observed in the PBRMICRO-AERATION; on day 5 its maximum concentration of 24,750 mg/L was found, therefore, we decided to couple the reactors at that time, due to the evidence recorded in previous tests, where the maximum concentration of COD was found at this time. To determine the amount of leachate from the PBRMICRO-AERATION to feed the UASB per day, the useful volume of the methanogenic reactor and the organic load per day were considered as the total mass to be added. This mass was divided by the COD concentration of the PBRMICRO-AERATION leachate expressed in g/L, resulting in the amount to be dosed in liters per day. In order to maintain a constant organic load rate (2 kg COD/m3d) in the UASB and due to COD variations in the PBRMICRO-AERATION, each feeding requires its own calculation. The record of the maximum COD concentration on day 5 was observed in other works, as reported by Xu et al. [5], with OFMSW, where they described that the highest organic matter solubilization occurred in the first 5 days in a PBRMICRO-AERATION. In the same way, Stabnikova et al. [51] using OFMSW also obtained COD concentrations close to 18,000 mg/L over a period of time of 6 days. However, these authors mentioned the use of greater amounts of substrate, in order to avoid acid stress and increase the solubility of organic matter; moreover, they described the addition of basic chemicals to the acidogenic reactor and the replacement of a proportion of hydrolytic leachates with methanogenic effluents. In our test, no means were used to regulate the pH, the experiments were carried out according to the surrounding conditions and in 5 days the highest COD concentrations were recorded in the PBRMICRO-AERATION. In consequence, the solubilization of the OFMSW is more efficient. Subsequently, on day 13 there was a COD decrease of up to 5500 mg/L, where it remained unchanged until the end of the experiment. This decrease was due to consumption of VFAs by methanogenic microorganisms for the generation of biogas in UASB reactor.
In Figure 4b, the behavior of bicarbonate alkalinity before and after the coupling reactors is illustrated. In the PBRMICRO-AERATION reactor, it shows an initial concentration of 716 mgCaCO3/L, later in the following days, a decrease was shown until a zero, caused by the VFAs formation in the first 5 days, since bicarbonate alkalinity consumption caused a decrease in pH before coupling. These results were similar to those reported by Martín-González, Font, and Vicent [18], in OFMSW, who conducted an analysis of the imbalance that occurs in the reactors due to the VFAs accumulation and mention that this process occurs when bicarbonate alkalinity is consumed by the acidity generated within the system and produced a decrease in pH. In the same way, Li et al. [52] carried out an analysis with different control parameters to monitor failures in an AD process in OFMSW. They mention the importance of total alkalinity control, the bicarbonate alkalinity, and total alkalinity (AP/AT) ratio, which is an early warning parameter on the equilibrium of the buffer capacity of the system, and even reflects the metabolism of the AD system [18].
After coupling reactors, the PBRMICRO-AERATION recorded an increase in the bicarbonate alkalinity concentration until reaching a maximum average value of 15,475 mg CaCO3/L. On day 13, and reaching 16,600 mg CaCO3/L on day 14, with a concentration similar of the UASB reactor at that time. This alkalinity increases within PBRMICRO-AERATION due to the exchange of leachate between both reactors as mentioned by España-Gamboa et al. [22], who described that the recirculation effluent from a methanogenic reactor in a two-phase process increases the alkalinity in the acidogenic reactor.
Figure 4c shows the pH behavior over time within PBRMICRO-AERATION–UASBDIET reactors, at the beginning of the experiment, the hydrogen potential decreased in the first 4 days to 5.03. This value was within the range in which hydrolysis is properly performed, similar results were obtained by Wang et al. [27] in their work carried out with OFMSW using different inoculum types. They evaluated the pH effect and the production of VFAs, their results indicated that the range of the highest acidity concentrations was reached at pH of 5 to 6, in a time of 20 days. In the same way, Jiang et al. [32], evaluated the pH effect on OFMSW, they described that the higher VFAs productions was reached at pH 6. After coupling reactors, the pH increase was gradually rising to 8.12 on 12 days; this increase was due to the leachate recirculation from PBRMICRO-AERATION to UASB reactor, and from the UASB to the hydrolytic reactor, because effluent from UASB reactor contained high bicarbonate alkalinity, with an average of 18,000 mg CaCO3/L. Therefore, a high buffer capacity caused an increase in pH due to the neutralization by VFAs, as mentioned by Xu, Selvam, and W.C.Wong [5], who worked with kitchen waste and which they mentioned that the bicarbonate alkalinity is consumed by the acidity. Therefore, when you have the alkalinity concentration required to neutralize the VFAs, it acts as a buffer solution, therefore, the system does not show imbalance and the concentration did not increase.
Effluent from UASB reactor remained pH constant, with a maximum value of 8.2, which reflects the buffer capacity despite the concentration of VFAs in the leachate from PBRMICRO-AERATE. After 11 days similar pH values (8.05) were reached in both reactors, and in the next 2 days, the variations decreased. Figure 4d shows the behavior of VFAs over time. At the beginning of the experiment, VFAs concentration was 85.13 mg/L, and on day 5, the PBRMICRO-AERATION reached a maximum concentration of 7146 mg/L indicating that it was the optimal time to couple both reactors. After coupling of both reactors, a reduction in the VFAs concentration was observed, mainly in the PBRMICRO-AERATION, see Figure 4d; and reached minimum values of 350 mg/L on day 14, which is a lower time than that described by Michele et al. [53]. In their work with OFMSW, they required more than 20 days to consume the VFAs and stabilize the waste. As observed in Figure 4d, the high VFAs concentration coming from the PBRMICRO-AERATION reactor did not cause any troubles to UASB reactor and maintained similar concentrations from day 1 to 14. This stability presented by UASB reactor was due to acclimatization during the start-up and in which the microorganisms were adapted to the process conditions.
In Figure 4e the methane production profile of the UASB is shown before and after coupling. The generation was 4520 mL/d on average, with a percentage of methane in the biogas of 90% and a constant organic loading rate of 2 kg of COD/m3d. This same load rate was maintained during the time of the experiment. After the coupling of PBRMICRO-AERATION-UASB reactors, methane generation decreased continuously from day 5 until day 13, with a minimum volume of 800 mL per day. Despite the concentration of 5500 mg/L of COD recorded in the PBRMICRO-AERATION, this result is due to residues of recalcitrant materials such as; seed particles, fruit or vegetable husks, and lignocellulosic materials found in the OFMSW, which were not readily biodegradable, therefore, did not favor methane production. In a review by Li et al. [54], where different treatments and substrates were used, they mentioned that wastes with high solid concentrations require pre-treatment to increase their biodegradation and transformation into methane. In the same way, Shahriari et al. [55], who worked with FORSU, used different percentages of leachate recirculation in BMP tests. They describe how the high COD concentration in the leachate is due to the accumulation of recalcitrant or less biodegradable material, therefore, influences the production of methane, however, they only described accumulation of biogas production up to 550 mL in 14 days. Due to the similarity in the concentrations of the VFAs, COD, bicarbonate alkalinity, and pH in both reactors on day 14, they were disconnected. After the biodegradation process, the hydrolytic reactors were emptied and the amount of TS and VS were determined, reporting the removal results of TS and VS 67.5 ± 4 and 69.4 ± 3. Forster-Carneiro, Pérez, and Romero [28], who used OFMSW substrate, reported a reduction of TS of 34.7% and VS of 44.2% in a time of 60 days, in the same way, Fantozzi and Buratti [56], who also worked with OFMSW, registered a VS reduction of 55% in a time of 39 days. Therefore, we consider that in our study the removal efficiency was more efficient.
The methane yield after coupling was 400.2 LCH4/kgVS removed, and with a biogas methane content of up to 90%. Forster-Carneiro, Pérez, and Romero [28], who conducted ss in one phase tests using OFMSW as substrate, recorded yields of 0.18 LCH4/gVS, Similarly Angelidaki et al. [33], those who worked with OFMSW in a phase of an AD process reported a methane yield of 320 LCH4/kgVS. In another work using OFMSW in a single phase conducted by Nguyen et al. [57], they reported a methane yield of 260 LCH4/kg VS. According to these comparisons, the methane yield of 400.2 LCH4/kgVS removed that was obtained in 2 phases was higher compared to a single phase and the OFMSW degradation through the AD system in two phases is more efficient than that of one phase. Finally, as shown in Figure 4, the behavior of pH, acid-base balance, the concentration of VFAs in values below 1500 mg/L and the percentage of methane in the biogas in a range of 80 to 90%. The application of DIET in the methanogenic phase helped to reestablish the UASB after intoxication, in this sense, during the coupling in the PBRMICRO-AERATION balance was reached, without affecting the consumption of the VFAs present in the hydrolytic reactor.

4. Conclusions

The application of micro-aeration and GAC in a two-phase anaerobic digestion process PBRMICRO-AERATION and UASB can be an alternative to be used in the biodegradation of substrates with high concentrations of solids, such as OFMSW. In addition, solubilization of organic matter is favored and it reduces the stabilization time of the UASB reactors when methanogenic microorganisms suffer from VFAs accumulation poisoning. The micro-aeration (254 L-air/kg-TS-day) increased the hydrolysis rate, which was favored by the development of facultative microorganisms, reflecting in the increase of the enzymatic activity since the concentration of CMCase was 3 times higher compared to the control reactor. Therefore, in the PBRMICRO-AERATION, the COD concentration was 200% higher compared to the control and the formation of VFAs was greater than 250% due to solubilization of the organic matter in the leachate, which caused a reduction in the time of coupling with the UASB. The application of GAC (DIET process) to the methanogenic phase favored the activity of methanogenic microorganisms by increasing the production of biogas by 10% with a methane content of up to 90%, in addition, the methane yield was 400.2 ± 57 LCH4/ kgVS, which is higher compared to the reported literature and with a TS reduction of 67.5 ± 4%, thus, the stabilization time of the OFMSW was around 12 days.

Author Contributions

All authors contributed equally to all the sections of this work. Writing—original draft preparation. Conceptualization and writing—review and editing, F.C.B., E.E.G., and L.A.-G.; methodology, J.E.R.E. and R.M.L.-B.; supervision, R.T.T., J.D.M., and B.C.C. All authors have read and agreed to the published version of the manuscript.

Funding

The research received no external funding.

Conflicts of Interest

The authors declare that they have no conflict of interest.

Abbreviations

OFMSWOrganic Fraction Municipal Solid Waste
ADAnaerobic digestion
GACGranular activated carbon
DIETDirect interspecies electrons transfer
PBRPacked Bed Reactor
UASBUpflow anaerobic Sludge Blanket
CODChemical Oxygen Demand
VSVolatile Solids
TSTotal Solids

References

  1. Hoornweg, D.; Bhada-Tata, P. Waste generation. In What a Waste. A Global Review of Solid Waste Management; Urban Development Series; World Bank: Washington, DC, USA, 2012; pp. 1–5. [Google Scholar]
  2. SEMARNAT. Informe de la Situación del Medio Ambiente en México. 2015, pp. 1–498. Available online: https://apps1.semarnat.gob.mx:8443/dgeia/informe15/tema/pdf/Informe15_completo.pdf (accessed on 19 February 2020).
  3. Siddharth, J.; Shivani, J.; Wolf, T.; Lee, J.; Wah-Tong, Y. A comprehensive review on operating parameters and different pretreatment methodologies for anaerobic digestion of municipal solid waste. Renew. Sustain. Energy Rev. 2015, 52, 142–154. [Google Scholar]
  4. Alibardi, L.; Cossu, R. Composition Variability of The Organic Fraction of Municipal Solid Waste and Effects on Hydrogen and Methane Production Potentials. Waste Manag. 2015, 36, 147–155. [Google Scholar] [CrossRef] [PubMed]
  5. Xu, S.; Selvam, A.; Wong, J.W.C. Optimization of micro-aeration intensity in acidogenic reactor of a two-phase anaerobic digester treating food waste. Waste Manag. 2014, 34, 363–369. [Google Scholar] [CrossRef] [PubMed]
  6. Nguyen, D.; Khanal, S.K. A little breath of fresh air into an anaerobic system: How microaeration facilitates anaerobic digestion process. Biotech. Advan. 2018, 36, 1971–1983. [Google Scholar] [CrossRef] [PubMed]
  7. Lim, J.W.; Jing-Yuan, W. Enhanced hydrolysis and methane yield by applying microaeration pretreatment to the anaerobic co-digestion of brown water and food waste. Waste Manag. 2013, 33, 813–819. [Google Scholar] [CrossRef]
  8. Jensen, T.R.; Milone, T.L.; Petersen, G.; Andersen, H.R. Accelerated anaerobic hydrolysis rates under a combination of intermittent aeration and anaerobic conditions. Water Sci. Technol. 2017, 75, 1944–1951. [Google Scholar] [CrossRef]
  9. Yin, J.; Yu, X.; Zhang, Y.; Shen, D.; Wang, M.; Long, Y.; Chen, T. Enhancement of acidogenic fermentation for volatile fatty acid production from food waste: Effect of redox potential and inoculum. Bioresour. Technol. 2016, 216, 996–1003. [Google Scholar] [CrossRef]
  10. Barua, S.; Dhar, B.R. Advances towards understanding and engineering direct interspecies electron transfer in anaerobic digestion. Bioresour. Technol. 2017, 244, 698–707. [Google Scholar] [CrossRef]
  11. Stams, A.J.M.; Plugge, C.M. Electron transfer in syntrophic communities of anaerobic bacteria and archaea. Nat. Rev. Microbiol. 2009, 7, 568–577. [Google Scholar] [CrossRef]
  12. Valero, D.; Alzate-Gaviria, L.; Montes, J.A.; Rico, C. Influence of a Conductive Material and Different Anaerobic Inocula| on Biochemical Methane Potential of Substrates from Alcoholic Beverage Production. Waste Biomass Valori. 2019. [Google Scholar] [CrossRef]
  13. Zhang, R.; El-Mashad, H.M.; Hartman, K.; Wang, F.; Liu, G.; Choate, C.; Gamble, P. Characterization of food waste as feedstock for anaerobic digestion. Bioresour. Technol. 2007, 98, 929–935. [Google Scholar] [CrossRef] [PubMed]
  14. Poggi-Varaldo, H.M.; Alzate-Gaviria, L.M.; Pérez-Hernández, A.; Nevarez-Morillón, V.G.; Rinderknecht-Seijas, N. A side-by-side comparison of two systems of sequencing coupled reactors for anaerobic digestion of the organic fraction of municipal solid waste. Waste Manag. Resear. 2005, 23, 270–280. [Google Scholar] [CrossRef] [PubMed]
  15. Latif, M.A.; Ghufran, R.; Wahid, Z.A.; Ahmad, A. Integrated application of upflow anaerobic sludge blanket reactor for the treatment of wastewaters. Water Res. 2011, 45, 4683–4699. [Google Scholar] [CrossRef] [PubMed]
  16. Milquez-Sanabria, H.; Blanco-Cocom, L.; Alzate-Gaviria, L. A fast linear predictive adaptive model of packed bed coupled with UASB reactor treating onion waste to produce biofuel. Microb. Cell Fact. 2016, 15, 167. [Google Scholar] [CrossRef] [PubMed][Green Version]
  17. Dang, Y.; Holmes, D.E.; Zhao, Z.; Woodard, T.L.; Zhang, Y.; Sun, D.; Li-Ying, W.; Nevin, K.P.; Lovley, D.R. Enhancing anaerobic digestion of complex organic waste with carbon-based conductive materials. Bioresour. Technol. 2016, 220, 516–522. [Google Scholar] [CrossRef]
  18. Martín-González, L.; Font, X.; Vicent, T. Alkalinity ratios to identify process imbalances in anaerobic digesters treating source-sorted organic fraction of municipal wastes. Biochem. Eng. J. 2013, 76, 1–5. [Google Scholar] [CrossRef]
  19. Azbar, N.; Ursillo, P.; Speece, R.E. Effect of Process Configuration and Substrate Complexity on The Performance of Anaerobic Processes. Water Res. 2000, 35, 817–829. [Google Scholar]
  20. Cirne, D.G.; Lehtoma, A.; Bjornsson, L.; Blackall, L.L. Hydrolysis and microbial community analyses in two-stage anaerobic digestion of energy crops. J. Appl. Microbiol. 2007, 103, 516–527. [Google Scholar] [CrossRef]
  21. Pezzolla, D.; Maria, F.D.; Zadra, C.; Massaccesi, L.; Sordi, A.; Gigliotti, G. Optimization of solid-state anaerobic digestion through the percolate recirculation. Biomass Bioener. 2017, 96, 112–118. [Google Scholar] [CrossRef]
  22. España-Gamboa, E.; Domínguez-Maldonado, J.A.; Tapia-Tussell, R.; Chale-Canul, J.S.; Alzate-Gaviria, L. Corn industrial wastewater (nejayote): A promising substrate in Mexico for methane production in a coupled system (APCR-UASB). Environ. Sci. Pollut. Res. 2018, 25, 712–722. [Google Scholar] [CrossRef]
  23. Purser, B.J.J.; Thai, S.M.; Fritz, T.; Esteves, S.R.; Dindale, R.M.; Guwy, A.J. An improved titration model reducing over estimation of total volatile fatty acids in anaerobic digestion of energy crop, animal slurry and food waste. Water Res. 2014, 61, 62–70. [Google Scholar]
  24. APHA. Standard Methods for the Examination of Water Wastewater, 21st ed.; APHA: Washington, DC, USA, 2005. [Google Scholar]
  25. Zhu, M.; Li, F.L.; Hao, P.; He, P.J.; Shao, L.M. Regulating the hydrolysis of organic wastes by micro-aeration and effluent recirculation. Waste Manag. 2009, 29, 2042–2050. [Google Scholar] [CrossRef] [PubMed]
  26. Zhang, B.; Zhang, B.; He, P.-J.; Lü, F.; Li-Ming, S.; Wang, P. Extracellular enzyme activities during regulated hydrolysis of high-solid organic wastes. Water Res. 2007, 41, 4468–4478. [Google Scholar] [CrossRef] [PubMed]
  27. Wang, K.; Yin, J.; Shen, D.; Li, N. Anaerobic digestion of food waste for volatile fatty acids (VFAs) production with different types of inoculum: Effect of pH. Bioresour. Technol. 2014, 161, 395–401. [Google Scholar] [CrossRef] [PubMed]
  28. Forster-Carneiro, T.; Pérez, M.; Romero, L.I. Thermophilic anaerobic digestion of source-sorted organic fraction of municipal solid waste. Bioresour. Technol. 2008, 99, 6763–6770. [Google Scholar] [CrossRef]
  29. Garcia-Peña, E.I.; Parameswaran, P.; Kang, D.W.; Canul-Chan, M.; Krajmalnik-Brown, R. Anaerobic digestion and co-digestion processes of vegetable and fruit residues: Process and microbial ecology. Bioresour. Technol. 2011, 102, 9447–9455. [Google Scholar] [CrossRef]
  30. Campuzano, R.; González-Martínez, S. Characteristics of the organic fraction of municipal solid waste and methane production: A review. Waste Manag. 2016, 54, 3–12. [Google Scholar] [CrossRef]
  31. Dogan, E.; Dunaev, T.; Erguder, T.H.; Demirer, G.N. Performance of leaching bed reactor converting the organic fraction of municipal solid waste to organic acids and alcohols. Chemosphere 2009, 74, 797–803. [Google Scholar] [CrossRef]
  32. Jiang, J.; Zhang, Y.; Li, K.; Wang, Q.; Gong, C.; Li, M. Volatile fatty acid production from food waste: Effects of pH, temperature, and organic loading rate. Bioresour. Technol. 2013, 143, 525–530. [Google Scholar] [CrossRef]
  33. Angelidaki, I.; Chen, X.; Cui, J.; Kaparaju, P.; Ellegaard, L. Thermophilic anaerobic digestion of source-sorted organic fraction of household municipal solid waste: Start-up procedure for continuously stirred tank reactor. Water Res. 2006, 40, 2671–2678. [Google Scholar] [CrossRef]
  34. Raposo, F.; Rubia, M.A.D.L.; Fernández-Cegrí, V.; Borja, R. Anaerobic Digestion of Solid Organic Substrates in Batch Mode: An Overview Relating to Methane Yields and Experimental Procedures. Renew. Sustain. Energy Rev. 2011, 16, 861–877. [Google Scholar] [CrossRef]
  35. Cysneiros, D.; Banks, C.J.; Heaven, S.; Karatzas, K.A.G. The effect of pH control and hydraulic flush on hydrolysis and Volatile Fatty Acids (VFA) production and profile in anaerobic leach bed reactors digesting a high solids content substrate. Bioresour. Technol. 2012, 123, 263–271. [Google Scholar] [CrossRef] [PubMed]
  36. Sarkar, O.; Mohan, S.V. Pre-aeration of food waste to augment acidogenic process at higher organic load: Valorizing biohydrogen, volatile fatty acids and biohythane. Bioresour. Technol. 2017, 242, 68–76. [Google Scholar] [CrossRef] [PubMed]
  37. Guang, L.C.; Xue, C.; Yen-Han, L.; Feng-Wu, B. Redox potential control and applications in microaerobic and anaerobic fermentations. Biotechnol. Advan. 2013, 31, 257–265. [Google Scholar]
  38. Charles, W.; Walker, L.; Cord-Ruwisch, R. Effect of pre-aeration and inoculum on the start-up of batch thermophilic anaerobic digestion of municipal solid waste. Bioresour. Technol. 2009, 100, 2329–2335. [Google Scholar] [CrossRef]
  39. Behera, S.S.; Ray, B.R.C. Solid State Fermentation for Production of Microbial Cellulases: Recent Advances and Improvement Strategies. Int. J. Biol. Macromol. 2016, 86, 656–669. [Google Scholar] [CrossRef]
  40. Lynd, L.R.; Weimer, P.J.; Zyl, W.H.V.; Pretorius, I.S. Microbial Cellulose Utilization: Fundamentals and Biotechnology. Microbiol. Mol. Biol. Rev. 2002, 66, 506–577. [Google Scholar] [CrossRef]
  41. Dollhofer, V.; Podmirseg, S.M.; Callaghan, T.M.; Griffith, G.W.; Fliegerová, K. Anaerobic Fungi and Their Potential for Biogas Production. Biogas Sci. Technol. 2015, 200, 41–61. [Google Scholar]
  42. Zhang, Y.-H.P.; Lynd, L.R. Toward an Aggregated Understanding of Enzymatic Hydrolysis of Cellulose: Noncomplexed cellulase Systems. Wiley InterSci. 2004, 88, 1–28. [Google Scholar] [CrossRef]
  43. Agdag, O.N.; Sponza, D.T. Effect of Aeration on the Performance of a Simulated Landfilling Reactor Stabilizing Municipal Solid Wastes. J. Environ. Sci. Health 2012, 39, 1–20. [Google Scholar]
  44. Xu, Z.; Zhao, M.; Miao, H.; Huang, Z.; Gao, S.; Ruan, W. In situ volatile fatty acids influence biogas generation from kitchen wastes by anaerobic digestion. Bioresour. Technol. 2014, 163, 186–192. [Google Scholar] [CrossRef] [PubMed]
  45. Liu, R.; Liang, L.; Jiang, M.; Ma, J.; Chen, K.; Honghua, J.; Wei, P.; Ouyang, P. Effects of redox potential control on succinic acid production by engineered Escherichia coli under anaerobic conditions. Process Biochem. 2014, 49, 740–744. [Google Scholar] [CrossRef]
  46. Jun, D.; Yong-Sheng, Z.; Mei, H.; Wei-Hong, Z. Inlfuence of alkalinity on the stabilitatión of municipal solid waste in anaerobic simulated boreactor. J. Hazard. Mater. 2009, 163, 217–722. [Google Scholar] [CrossRef]
  47. Ahring, B.K. Perspectives for Anaerobic Digestion. In Biomethanation I. Advances in Biochemical Engineering/Biotechnology; Ahring, B.K., Scheper, T., Eds.; Springer: Berlin/Heidelberg, Germany, 2003; Volume 81, pp. 1–30. [Google Scholar]
  48. Gao, Y.; Kong, X.; Xing, T.; Sun, Y.; Zhang, Y.; Luo, X.; Sun, Y. Digestion Performance and Microbial Metabolic Mechanism in Thermophilic and Mesophilic Anaerobic Digesters Exposed to Elevated Loadings of Organic Fraction of Municipal Solid Waste. Energies 2018, 11, 952. [Google Scholar] [CrossRef]
  49. Park, J.-H.; Kang, H.-J.; Park, K.-H.; Park, H.-D. Direct interspecies electron transfer via conductive materials: A perspective for anaerobic digestion applications. Bioresour. Technol. 2018, 254, 300–311. [Google Scholar] [CrossRef]
  50. Parawira, W.; Murto, M.; Zvauya, R.; Mattiasson, B. Comparative performance of a UASB reactor and an anaerobic packed-bed reactor when treating potato waste leachate. Renew. Energy 2006, 31, 893–903. [Google Scholar] [CrossRef]
  51. Stabnikova, O.; Xue-Yan, L.; Jing-Yuan, W. Anaerobic digestion of food waste in a hybrid anaerobic solid–liquid system with leachate recirculation in an acidogenic reactor. Biochem. Eng. J. 2008, 41, 198–201. [Google Scholar] [CrossRef]
  52. Li, L.; He, Q.; Wei, Y.; He, Q.; Peng, X. Early warning indicators for monitoring the process failure of anaerobic digestion system of food waste. Bioresour. Technol. 2014, 17, 491–494. [Google Scholar] [CrossRef]
  53. Michele, P.; Giuliana, D.I.; Carlo, M.; Sergio, S.; Fabrizio, A. Optimization of solid state anaerobic digestion of the OFMSW by digestate recirculation: A new approach. Waste Manag. 2015, 35, 111–118. [Google Scholar] [CrossRef]
  54. Li, Y.; Chen, Y.; Wuc, J. Enhancement of methane production in anaerobic digestion process: A review. App. Energy 2019, 240, 120–137. [Google Scholar] [CrossRef]
  55. Shahriari, H.; Warith, M.; Hamoda, M.; Kennedy, K. Effect of leachate recirculation on mesophilic anaerobic digestion of food waste. Waste Manag. 2012, 32, 400–403. [Google Scholar] [CrossRef] [PubMed]
  56. Fantozzi, F.; Buratti, C. Anaerobic digestion of mechanically treated OFMSW: Experimental data on biogas/methane production and residues characterization. Bioresour. Technol. 2011, 102, 8885–8892. [Google Scholar] [CrossRef] [PubMed]
  57. Nguyen, P.H.L.; Kuruparan, P.; Visvanathan, C. Anaerobic digestion of municipal solid waste as a treatment prior to land Wll. Bioresour. Technol. 2007, 98, 380–387. [Google Scholar] [CrossRef] [PubMed]
Figure 1. Layout of experiments for the coupling of reactors; (a) packed bed reactor with micro-aereation, (b) upflow anaerobic sludge blanket, (c) Coupling Packed Bed Reactor with micro-aereation and upflow anaerobic sludge blanket with direct interspecies electrons transfer.
Figure 1. Layout of experiments for the coupling of reactors; (a) packed bed reactor with micro-aereation, (b) upflow anaerobic sludge blanket, (c) Coupling Packed Bed Reactor with micro-aereation and upflow anaerobic sludge blanket with direct interspecies electrons transfer.
Energies 13 00933 g001
Figure 2. Packed bed reactor control reactor or with micro-aereation (a) chemical oxygen demand and enzymatic activity, (b) volatile fatty acids and pH, (c) oxide-reduction potential. *Carboxymethyl cellulose.
Figure 2. Packed bed reactor control reactor or with micro-aereation (a) chemical oxygen demand and enzymatic activity, (b) volatile fatty acids and pH, (c) oxide-reduction potential. *Carboxymethyl cellulose.
Energies 13 00933 g002
Figure 3. Upflow anaerobic sludge blanket acclimatization: (a) organic loading rate and chemical oxygen demand removal, (b) alpha and buffer indices, (c) volatile fatty acids and pH.
Figure 3. Upflow anaerobic sludge blanket acclimatization: (a) organic loading rate and chemical oxygen demand removal, (b) alpha and buffer indices, (c) volatile fatty acids and pH.
Energies 13 00933 g003
Figure 4. Coupling reactors with 2 kg COD/m3d of organic load rate: packed bed reactor with micro-aereation and upflow anaerobic sludge blanket with direct interspecies electrons transfer. (a) chemical oxygen demand, (b) partial alkalinity, (c) pH, (d) volatile fatty acids and (e) mL of methane and percentage of methane.
Figure 4. Coupling reactors with 2 kg COD/m3d of organic load rate: packed bed reactor with micro-aereation and upflow anaerobic sludge blanket with direct interspecies electrons transfer. (a) chemical oxygen demand, (b) partial alkalinity, (c) pH, (d) volatile fatty acids and (e) mL of methane and percentage of methane.
Energies 13 00933 g004
Table 1. Physical-chemical characteristics of OFMSW.
Table 1. Physical-chemical characteristics of OFMSW.
Wang et al., 2014Foster Carneiro et al., 2015Dong et al., 2008Present Study
Humidity %768181.679.3 ± 0.7
Ph6.17.95.36.9 ± 0.5
TS %241918.420.7 ± 0.7
FS %1870.1± 0.004
VS %231111.420.5 ± 0.7
VS/TS%96.25861.999.4 ± 0.0
Total Phosphorus %0.830.23.7 ± 0.5
Protein %1126.8914.3512.3 ±. 3.1
TKN %1.84.312.31.9 ± 0.5
TS; Total Solids, FS; Fixed Solids, VS; Volatile Solids, TKN; Total Kjeldahl Nitrogen.

Share and Cite

MDPI and ACS Style

Canul Bacab, F.; España Gamboa, E.; Ruiz Espinoza, J.E.; Leal-Bautista, R.M.; Tapia Tussell, R.; Domínguez Maldonado, J.; Canto Canché, B.; Alzate-Gaviria, L. Two Phase Anaerobic Digestion System of Municipal Solid Waste by Utilizing Microaeration and Granular Activated Carbon. Energies 2020, 13, 933. https://doi.org/10.3390/en13040933

AMA Style

Canul Bacab F, España Gamboa E, Ruiz Espinoza JE, Leal-Bautista RM, Tapia Tussell R, Domínguez Maldonado J, Canto Canché B, Alzate-Gaviria L. Two Phase Anaerobic Digestion System of Municipal Solid Waste by Utilizing Microaeration and Granular Activated Carbon. Energies. 2020; 13(4):933. https://doi.org/10.3390/en13040933

Chicago/Turabian Style

Canul Bacab, Fernando, Elda España Gamboa, Juan Enrique Ruiz Espinoza, Rosa M Leal-Bautista, Raúl Tapia Tussell, Jorge Domínguez Maldonado, Blondy Canto Canché, and Liliana Alzate-Gaviria. 2020. "Two Phase Anaerobic Digestion System of Municipal Solid Waste by Utilizing Microaeration and Granular Activated Carbon" Energies 13, no. 4: 933. https://doi.org/10.3390/en13040933

APA Style

Canul Bacab, F., España Gamboa, E., Ruiz Espinoza, J. E., Leal-Bautista, R. M., Tapia Tussell, R., Domínguez Maldonado, J., Canto Canché, B., & Alzate-Gaviria, L. (2020). Two Phase Anaerobic Digestion System of Municipal Solid Waste by Utilizing Microaeration and Granular Activated Carbon. Energies, 13(4), 933. https://doi.org/10.3390/en13040933

Note that from the first issue of 2016, this journal uses article numbers instead of page numbers. See further details here.

Article Metrics

Back to TopTop