How to Select the Optimal Electrochemical Energy Storage Planning Program? A Hybrid MCDM Method
Abstract
1. Introduction
2. Basic Theory of the Proposed MCDM Method for the Optimal EES Planning Program Selection
2.1. The BBWM
2.2. Entropy Weighting Method
2.3. Grey Cumulative Prospect Theory
3. The MCDM-Based Framework and Procedure of the Optimal EES Planning Program Selection
4. Empirical Analysis
4.1. Standardize the Original Performance Values of Five Criteria
4.2. Identify the NIS and PIS Reference Values of Five Criteria
4.3. Calculate the Prospect Values Based on the Value Function
4.4. Calculate the Grey Cumulative Prospect Weights for the Five Criteria
4.4.1. Calculate Subjective Weights Determined by the BBWM
4.4.2. Calculate Objective Weights Calculated by the Entropy Weighting Method
4.4.3. Calculate the Grey Cumulative Prospect Weights
4.5. Calculate the Integrated Grey Prospect Values for the Five EES Planning Programs
5. Discussions
5.1. Discussion of Ranking Results
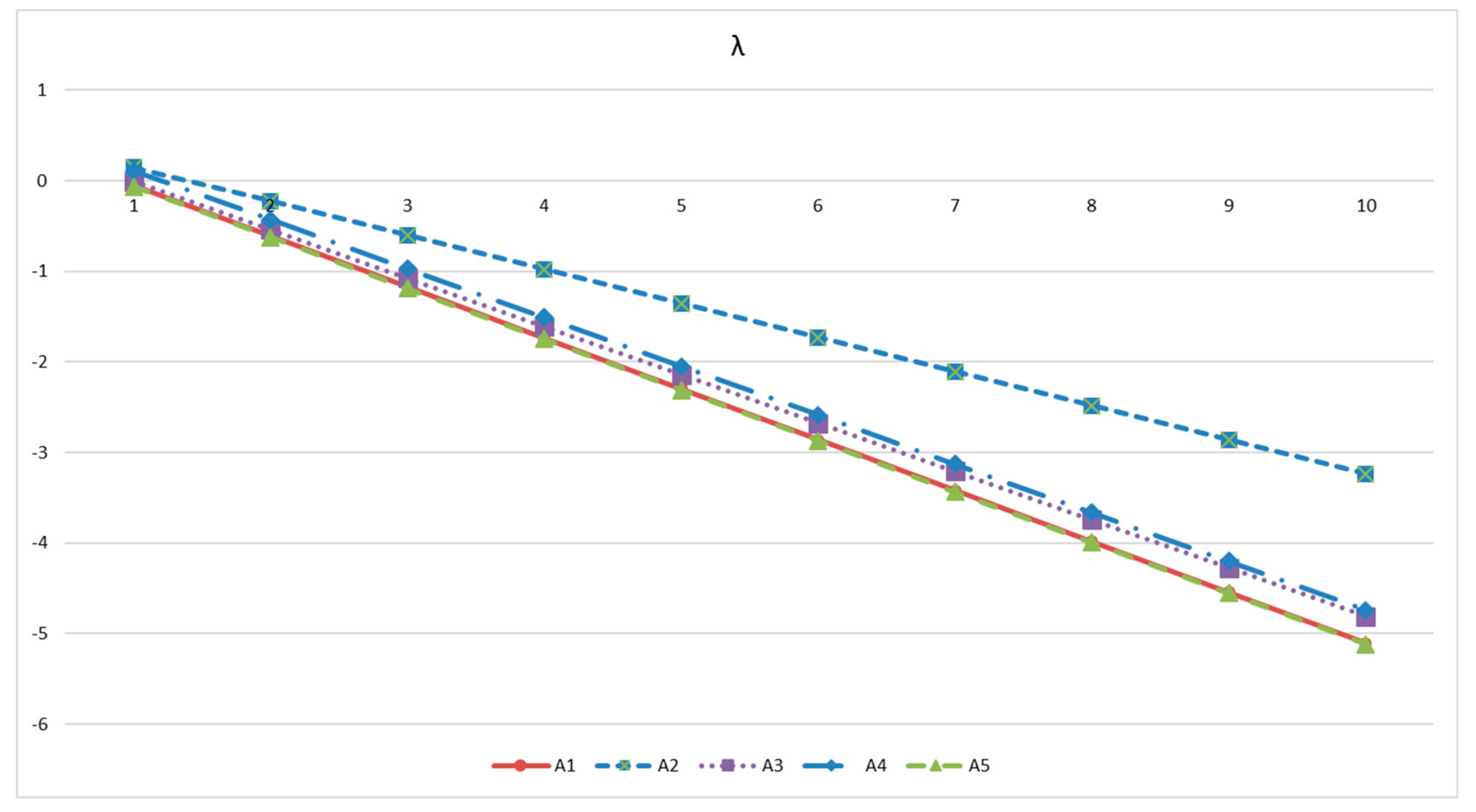
5.2. Sensitivity Analysis
6. Conclusions
Author Contributions
Funding
Conflicts of Interest
Nomenclature
| EES | electrochemical energy storage |
| ROI | return on investment |
| MCDM | multi-criteria decision-making |
| BBWM | Bayesian best worst method |
| BWM | best worst method |
| AHP | Analytic Hierarchy Process |
| NPV | net present value |
| TOPSIS | Technique for Order Preference by Similarity to an Ideal Solution |
| PIS | positive ideal solution |
| NIS | negative ideal solution |
| the best criterion | |
| the worst ctiterion | |
| ‘Best-to-Others’ vector | |
| ‘Others-to-Worst’ vector | |
| optimal weight of decision-making criteria | |
| original performance value of the ith decision-making criterion for the jth alternative j, | |
| normalized performance value of the ith decision-making criterion for the jth alternative | |
| m | total amount of alternatives |
| entropy value | |
| deviation degree | |
| V | prospect value |
| risk preference for the ith decision-making criterion of the jth alternative | |
| the weight of the ith decision-making criterion | |
| concavity parameter | |
| convexity parameter | |
| grey correlation degree | |
| identification coefficient | |
| unit cost of bidirectional converter and monitoring system | |
| unit cost of battery pack and battery management system | |
| rated power of EES | |
| rated capacity of EES | |
| net present value of EES planning program at the year of k-1 | |
| net cash flow at the year of k | |
| NPV | net present value of EES planning program |
| discounted rate | |
| standardized performance value of the ith decision-making criterion for the jth EES planning program |
References
- Zhao, H.; Guo, S.; Zhao, H. Provincial energy efficiency of China quantified by three-stage data envelopment analysis. Energy 2019, 166, 96–107. [Google Scholar] [CrossRef]
- Ibrahim, H.; Ilinca, A.; Perron, J. Energy storage systems—Characteristics and comparisons. Renew. Sustain. Energy Rev. 2008, 12, 1221–1250. [Google Scholar] [CrossRef]
- Zhang, N.; Lu, X.; McElroy, M.B.; Nielsen, C.P.; Chen, X.; Deng, Y.; Kang, C. Reducing curtailment of wind electricity in China by employing electric boilers for heat and pumped hydro for energy storage. Appl. Energy 2016, 184, 987–994. [Google Scholar] [CrossRef]
- Beaudin, M.; Zareipour, H.; Schellenberglabe, A.; Rosehart, W. Energy storage for mitigating the variability of renewable electricity sources: An updated review. Energy Sustain. Dev. 2010, 14, 302–314. [Google Scholar] [CrossRef]
- Yu, H.; Duan, J.; Du, W.; Xue, S.; Sun, J. China’s energy storage industry: Develop status, existing problems and countermeasures. Renew. Sustain. Energy Rev. 2017, 71, 767–784. [Google Scholar] [CrossRef]
- Dunn, B.; Kamath, H.; Tarascon, J.-M. Electrical energy storage for the grid: A battery of choices. Science 2011, 334, 928–935. [Google Scholar] [CrossRef] [PubMed]
- Yang, Z.; Zhang, J.; Kintner-Meyer, M.C.; Lu, X.; Choi, D.; Lemmon, J.P.; Liu, J. Electrochemical energy storage for green grid. Chem. Rev. 2011, 111, 3577–3613. [Google Scholar] [CrossRef]
- Gogotsi, Y.; Simon, P. True performance metrics in electrochemical energy storage. Science 2011, 334, 917–918. [Google Scholar] [CrossRef]
- Goodenough, J.B. Electrochemical energy storage in a sustainable modern society. Energy Environ. Sci. 2014, 7, 14–18. [Google Scholar] [CrossRef]
- Zhang, Y.; Gevorgian, V.; Wang, C.; Lei, X.; Chou, E.; Yang, R.; Li, Q.; Jiang, L. Grid-level application of electrical energy storage: Example use cases in the United States and China. IEEE Power Energy Mag. 2017, 15, 51–58. [Google Scholar] [CrossRef]
- Han, X.; Ji, T.; Zhao, Z.; Zhang, H. Economic evaluation of batteries planning in energy storage power stations for load shifting. Renew. Energy 2015, 78, 643–647. [Google Scholar] [CrossRef]
- Dicorato, M.; Forte, G.; Pisani, M.; Trovato, M. Planning and operating combined wind-storage system in electricity market. IEEE Trans. Sustain. Energy 2012, 3, 209–217. [Google Scholar] [CrossRef]
- Shi, Y.; Xu, B.; Tan, Y.; Zhang, B. A convex cycle-based degradation model for battery energy storage planning and operation. In Proceedings of the 2018 Annual American Control Conference (ACC), Milwaukee, WI, USA, 27–29 June 2018; pp. 4590–4596. [Google Scholar]
- Saboori, H.; Hemmati, R. Optimal management and planning of storage systems based on particle swarm optimization technique. J. Renew. Sustain. Energy 2016, 8, 024105. [Google Scholar] [CrossRef]
- Sauhats, A.; Coban, H.H.; Baltputnis, K.; Broka, Z.; Petrichenko, R.; Varfolomejeva, R. Optimal investment and operational planning of a storage power plant. Int. J. Hydrogen Energy 2016, 41, 12443–12453. [Google Scholar] [CrossRef]
- Kittner, N.; Lill, F.; Kammen, D.M. Energy storage deployment and innovation for the clean energy transition. Nat. Energy 2017, 2, 17125. [Google Scholar] [CrossRef]
- Korpas, M.; Holen, A.T. Operation planning of hydrogen storage connected to wind power operating in a power market. IEEE Trans. Energy Convers. 2006, 21, 742–749. [Google Scholar] [CrossRef]
- Aguado, J.; de la Torre, S.; Triviño, A. Battery energy storage systems in transmission network expansion planning. Electr. Power Syst. Res. 2017, 145, 63–72. [Google Scholar] [CrossRef]
- Dvorkin, Y.; Fernandez-Blanco, R.; Wang, Y.; Xu, B.; Kirschen, D.S.; Pandžić, H.; Watson, J.-P.; Silva-Monroy, C.A. Co-planning of investments in transmission and merchant energy storage. IEEE Trans. Power Syst. 2017, 33, 245–256. [Google Scholar] [CrossRef]
- Abed, N.; Teleke, S.; Castaneda, J. Planning and operation of dynamic energy storage for improved integration of wind energy. In Proceedings of the 2011 IEEE Power and Energy Society General Meeting, Detroit, MI, USA, 24–28 July 2011; pp. 1–7. [Google Scholar]
- Xu, B.; Wang, Y.; Dvorkin, Y.; Fernández-Blanco, R.; Silva-Monroy, C.A.; Watson, J.-P.; Kirschen, D.S. Scalable planning for energy storage in energy and reserve markets. IEEE Trans. Power Syst. 2017, 32, 4515–4527. [Google Scholar] [CrossRef]
- Rezaei, J. Best-worst multi-criteria decision-making method. Omega 2015, 53, 49–57. [Google Scholar] [CrossRef]
- Mohammadi, M.; Rezaei, J. Bayesian Best-Worst Method: A Probabilistic Group Decision Making Model. Omega 2019. [Google Scholar] [CrossRef]
- Klein, M.; Deissenroth, M. When do households invest in solar photovoltaics? An application of prospect theory. Energy Policy 2017, 109, 270–278. [Google Scholar] [CrossRef]
- Zhao, H.; Guo, S.; Zhao, H. Selecting the optimal micro-grid planning program using a novel multi-criteria decision making model based on grey cumulative prospect theory. Energies 2018, 11, 1840. [Google Scholar] [CrossRef]
- Guo, S.; Zhao, H. Fuzzy best-worst multi-criteria decision-making method and its applications. Knowl.-Based Syst. 2017, 121, 23–31. [Google Scholar] [CrossRef]
- Zhao, H.; Guo, S.; Zhao, H. Comprehensive benefit evaluation of eco-industrial parks by employing the best-worst method based on circular economy and sustainability. Environ. Dev. Sustain. 2018, 20, 1229–1253. [Google Scholar] [CrossRef]
- Rezaei, J. Best-worst multi-criteria decision-making method: Some properties and a linear model. Omega 2016, 64, 126–130. [Google Scholar] [CrossRef]
- Zhao, H.; Guo, S.; Zhao, H. Comprehensive assessment for battery energy storage systems based on fuzzy-MCDM considering risk preferences. Energy 2019, 168, 450–461. [Google Scholar] [CrossRef]
- Tversky, A.; Kahneman, D. Advances in prospect theory: Cumulative representation of uncertainty. J. Risk Uncertain. 1992, 5, 297–323. [Google Scholar] [CrossRef]
- Xiu, X.; Tang, W.; Li, J.; Tian, C. Collaborative optimization method for geenration-storage-load considering battery healthy assessment. High Volt. Eng. 2017, 43, 3118–3126. [Google Scholar]
- Behzadian, M.; Otaghsara, S.K.; Yazdani, M.; Ignatius, J. A state-of the-art survey of TOPSIS applications. Expert Syst. Appl. 2012, 39, 13051–13069. [Google Scholar] [CrossRef]
- Xiu, X. Research on Capacity Optimization Configuration and Life Cycle Economic Evaluation Method of Energy Storage System. Ph.D. Thesis, China Agricultural University, Beijing, China, 2018. [Google Scholar]





| Alternative | A1 | A2 | A3 | A4 | A5 |
|---|---|---|---|---|---|
| Program name | 9MW PbC battery EES | 2MW LiFePO lithium ion battery EES | 3MW LiFePO lithium ion battery EES | 2MW vanadium redox flow battery EES | 3MW vanadium redox flow battery EES |
| C1 | 6300 | 520 | 780 | 875 | 1312.5 |
| C2 | 5.21 | 4.03 | 4.46 | 8.76 | 10.03 |
| C3 | 592.03 | 49.57 | 63.91 | 148.8 | 186.65 |
| C4 | 8.7 | 6.7 | 6.91 | 30.9 | 32.61 |
| C5 | 6.91% | 8.54% | 7.34% | 6.10% | 5.00% |
| Expert Number | The Best Criteria | The Worst Criteria |
|---|---|---|
| 1 | net earnings | battery lifetime |
| 2 | ROI | investment cost |
| 3 | investment cost | battery lifetime |
| 4 | ROI | investment cost |
| 5 | payback period | investment cost |
| Expert Number | 1 | 2 | 3 | 4 | 5 |
|---|---|---|---|---|---|
| The Best Criteria | C3 | C5 | C1 | C5 | C2 |
| C1 | 4 | 5 | 1 | 6 | 5 |
| C2 | 3 | 3 | 3 | 4 | 1 |
| C3 | 1 | 2 | 3 | 6 | 3 |
| C4 | 6 | 5 | 4 | 5 | 4 |
| C5 | 2 | 1 | 2 | 1 | 2 |
| Expert Number | 1 | 2 | 3 | 4 | 5 |
|---|---|---|---|---|---|
| The Worst Sub-Criteria | C4 | C1 | C4 | C1 | C1 |
| C1 | 3 | 1 | 5 | 1 | 1 |
| C2 | 4 | 4 | 2 | 3 | 5 |
| C3 | 5 | 5 | 3 | 2 | 3 |
| C4 | 1 | 2 | 1 | 2 | 2 |
| C5 | 5 | 6 | 3 | 6 | 4 |
| The Evaluated EES Planning Programs | A1 | A2 | A3 | A4 | A5 |
|---|---|---|---|---|---|
| The integrated grey prospect values | −0.7522 | −0.3222 | −0.6748 | −0.5676 | −0.7676 |
| Ranking | A2 > A4 > A3 > A1 > A5 | ||||
© 2020 by the authors. Licensee MDPI, Basel, Switzerland. This article is an open access article distributed under the terms and conditions of the Creative Commons Attribution (CC BY) license (http://creativecommons.org/licenses/by/4.0/).
Share and Cite
Li, N.; Zhang, H.; Zhang, X.; Ma, X.; Guo, S. How to Select the Optimal Electrochemical Energy Storage Planning Program? A Hybrid MCDM Method. Energies 2020, 13, 931. https://doi.org/10.3390/en13040931
Li N, Zhang H, Zhang X, Ma X, Guo S. How to Select the Optimal Electrochemical Energy Storage Planning Program? A Hybrid MCDM Method. Energies. 2020; 13(4):931. https://doi.org/10.3390/en13040931
Chicago/Turabian StyleLi, Nan, Haining Zhang, Xiangcheng Zhang, Xue Ma, and Sen Guo. 2020. "How to Select the Optimal Electrochemical Energy Storage Planning Program? A Hybrid MCDM Method" Energies 13, no. 4: 931. https://doi.org/10.3390/en13040931
APA StyleLi, N., Zhang, H., Zhang, X., Ma, X., & Guo, S. (2020). How to Select the Optimal Electrochemical Energy Storage Planning Program? A Hybrid MCDM Method. Energies, 13(4), 931. https://doi.org/10.3390/en13040931
