Hot Blade Shape Reconstruction Considering Variable Stiffness and Unbalanced Load in a Steam Turbine
Abstract
1. Introduction
2. Analysis of the Variable Stiffness of the Blades
- is the displacement vector of a blade node;
- is the nonlinear internal force vector of ; and
- is an external force vector.
3. Hot Blade Shape Reconstruction Under an Unbalanced Load
- The CFD solver is used to simulate the flow field around the cold blade under the preset boundary conditions to obtain the aerodynamic load acting on the blade surface.
- The external force vector under the action of the aerodynamic and the centrifugal loads and the internal force vector in its current state based on the variable stiffness analysis of the blade are calculated to obtain the unbalanced load . The deformation of the current cold blade is then calculated using a structural mechanics solver.
- The deformation of the cold blade is transmitted to the fluid mesh, which is updated by the dynamic mesh technique, and the CFD solver is used again to simulate the flow field around the cold blade under the set boundary conditions to obtain the aerodynamic load acting on the blade surface corresponding to the current blade shape.
- If the difference of the aerodynamic load data from step (1) and step (3) meets the convergence condition of the CFD solver, the analysis process is ended, and the structural mechanics solver is used to obtain the deformation of the cold blade based on the aerodynamic load in the current state. Otherwise, the analysis of the cold blade deformation is continued from step (2).
- is used as the hypothetical solution to modify the cold blade shape and obtain the hot blade , which is simulated using the CFD solver to obtain the corresponding aerodynamic load.
- Steps (2) and (3) are executed again to obtain the deformation of the current hot blade and the corresponding aerodynamic load.
- The external force vector and the internal force vector of the blade in its current state are calculated according to the aerodynamic and the centrifugal loads to determine whether the convergence conditions of the Newton–Raphson iteration method are met. If they are, it can be considered that the state of the hot blade shape is no longer changed, and the solution process ends. Otherwise, the process is performed again from step (5).
4. Simulation Model of Hot Blade Shape Reconstruction
- Inlet pressure: 49.25 kPa;
- Temperature: 348.27 K;
- Outlet pressure: 0.0135 MPa;
- Blade material: 2Cr13;
- Material density: 7750 kg/m3;
- Young’s modulus: 2.19 × 105MPa;
- Poisson’s ratio: 0.315;
- Yield strength: 440 MPa;
- Tensile strength: 655 MPa.
5. Analysis of the Simulation Results of Hot Blade Shape Reconstruction
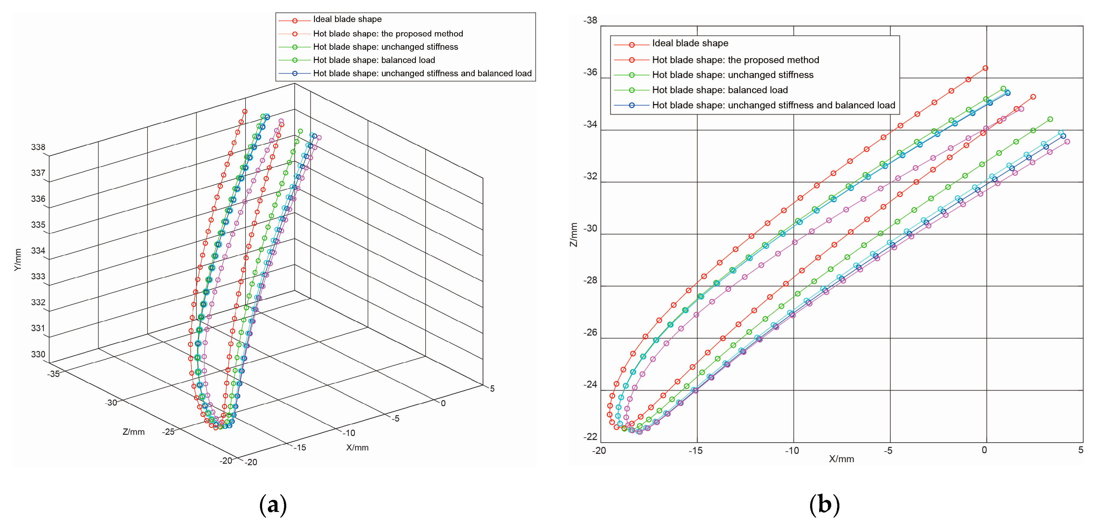
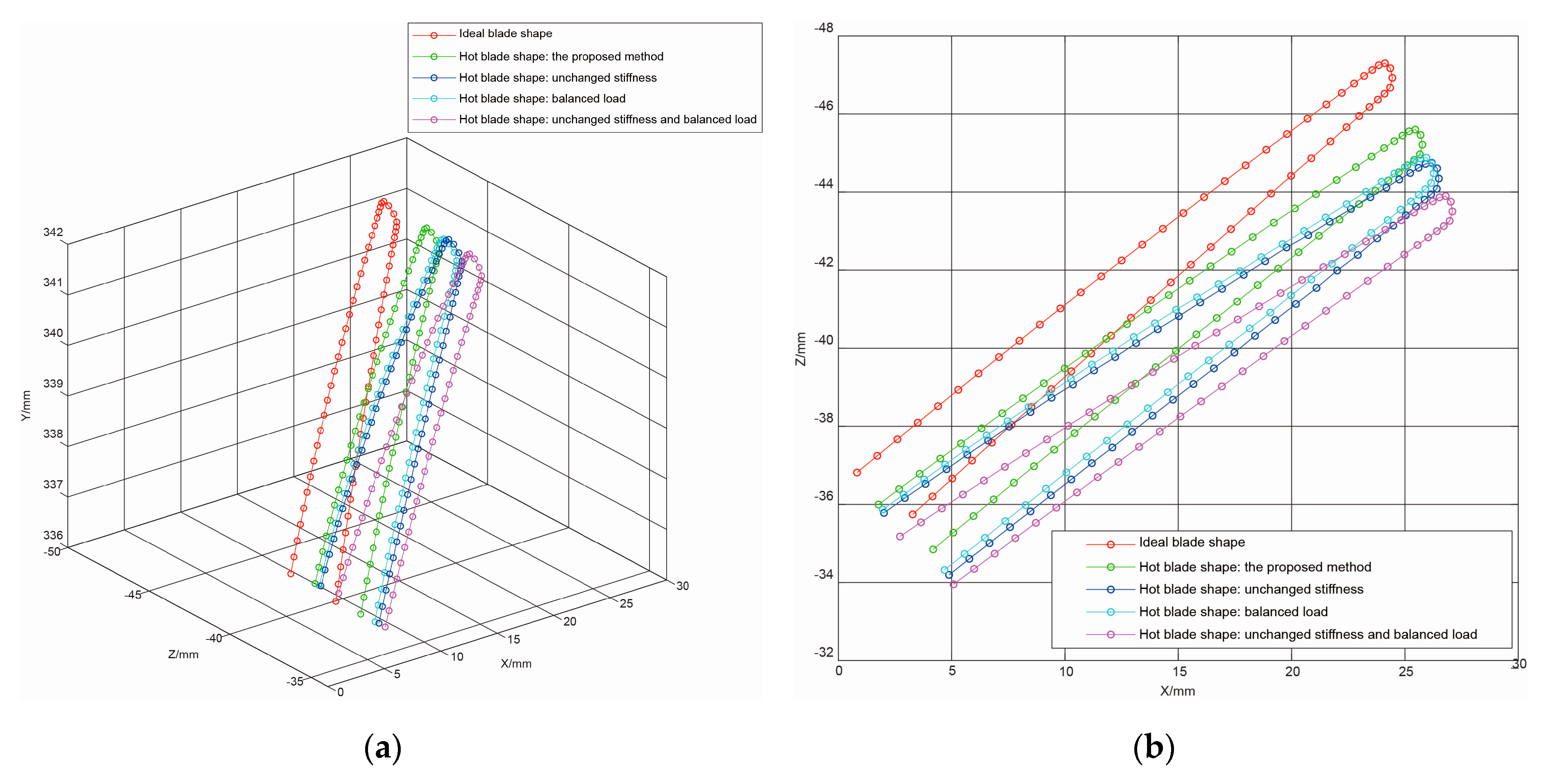
5.1. Deviation of the Reconstructed Blade Shape
5.2. Changes in Aerodynamic Loads on the Hot Blade
6. Conclusions
Author Contributions
Funding
Conflicts of Interest
References
- Sarkar, D.K. Steam Turbines. In Thermal Power Plant; Sarkar, D.K., Ed.; Elsevier: Amsterdam, The Netherlands, 2015; pp. 189–237. [Google Scholar] [CrossRef]
- Prabhunandan, G.S.; Byregowda, H.V. Dynamic Analysis of a Steam Turbine with Numerical Approach. Mater. Today-Proc. 2018, 5, 5414–5420. [Google Scholar] [CrossRef]
- Lucacci, G. Steels and alloys for turbine blades in ultra-supercritical power plants. In Materials for Ultra-Supercritical and Advanced Ultra-Supercritical Power Plants; Di Gianfrancesco, A., Ed.; Woodhead Publishing: Cambridge, UK, 2017; pp. 175–196. [Google Scholar]
- Tanuma, T. Development of last-stage long blades for steam turbines. In Advances in Steam Turbines for Modern Power Plants; Tanuma, T., Ed.; Woodhead Publishing: Cambridge, UK, 2017; pp. 279–305. [Google Scholar] [CrossRef]
- Jiang, S.; Chen, F.; Yu, J.Y.; Chen, S.W.; Song, Y.P. Treatment and optimization of casing and blade tip for aerodynamic control of tip leakage flow in a turbine cascade. Aerosp. Sci. Technol. 2019, 86, 704–713. [Google Scholar] [CrossRef]
- Li, L.; Jiao, J.K.; Sun, S.Y.; Zhao, Z.A.; Kang, J.L. Aerodynamic shape optimization of a single turbine stage based on parameterized Free-Form Deformation with mapping design parameters. Energy 2019, 169, 444–455. [Google Scholar] [CrossRef]
- Baran, J. Redesign of steam turbine rotor blades and rotor packages—Environmental analysis within systematic eco-design approach. Energy Convers. Manag. 2016, 116, 18–31. [Google Scholar] [CrossRef]
- Chaibakhsh, A.; Ghaffari, A. Steam turbine model. Simul. Model. Pract. Theory 2008, 16, 1145–1162. [Google Scholar] [CrossRef]
- Khalili, R.; Rabieyan, H.; Khodadadi, A.; Zaker, B.; Karrari, M.; Karrari, S. Mathematical Modelling and Parameter Estimation of an Industrial Steam Turbine-Generator Based on Operational Data. IFAC PapersOnline 2018, 51, 214–219. [Google Scholar] [CrossRef]
- Dulau, M.; Bica, D. Mathematical modelling and simulation of the behaviour of the steam turbine. Proc. Technol. 2014, 12, 723–729. [Google Scholar] [CrossRef]
- Fuls, W.F. Accurate stage-by-stage modelling of axial turbines using an appropriate nozzle analogy with minimal geometric data. Appl. Therm. Eng. 2017, 116, 134–146. [Google Scholar] [CrossRef]
- Jang, H.J.; Kang, S.Y.; Lee, J.J.; Kim, T.S.; Park, S.J. Performance analysis of a multi-stage ultra-supercritical steam turbine using computational fluid dynamics. Appl. Therm. Eng. 2015, 87, 352–361. [Google Scholar] [CrossRef]
- Mambro, A.; Galloni, E.; Congiu, F.; Maraone, N. Modelling of low-pressure steam turbines operating at very low flowrates: A multiblock approach. Appl. Therm. Eng. 2019, 158, 113782. [Google Scholar] [CrossRef]
- Chen, L.-C.; Lin, G.C.I. Reverse engineering in the design of turbine blades—A case study in applying the MAMDP. Robot. Comput. Integr. Manuf. 2000, 16, 161–167. [Google Scholar] [CrossRef]
- Richter, C.-H. Structural design of modern steam turbine blades using ADINA™. Comput. Struct. 2003, 81, 919–927. [Google Scholar] [CrossRef]
- Tanuma, T. Design and analysis for aerodynamic efficiency enhancement of steam turbines. In Advances in Steam Turbines for Modern Power Plants; Tanuma, T., Ed.; Woodhead Publishing: Cambridge, UK, 2017; pp. 109–126. [Google Scholar] [CrossRef]
- Zhou, F.-Z.; Feng, G.-T.; Jiang, H.-D. The Development of Highly Loaded Turbine Rotating Blades by Using 3D Optimization Design Method of Turbomachinery Blades Based on Artificial Neural Network & Genetic Algorithm. Chin. J. Aeronaut. 2003, 16, 198–202. [Google Scholar] [CrossRef][Green Version]
- Korakianitis, T.; Hamakhan, I.A.; Rezaienia, M.A.; Wheeler, A.P.S.; Avital, E.J.; Williams, J.J.R. Design of high-efficiency turbomachinery blades for energy conversion devices with the three-dimensional prescribed surface curvature distribution blade design (CIRCLE) method. Appl. Energy 2012, 89, 215–227. [Google Scholar] [CrossRef]
- Kaneko, Y.; Kanki, H.; Kawashita, R. Steam turbine rotor design and rotor dynamics analysis. In Advances in Steam Turbines for Modern Power Plants; Tanuma, T., Ed.; Woodhead Publishing: Cambridge, UK, 2017; pp. 127–151. [Google Scholar] [CrossRef]
- Zhu, X.C.; Chen, H.F.; Xuan, F.Z.; Chen, X.H. Cyclic plasticity behaviors of steam turbine rotor subjected to cyclic thermal and mechanical loads. Eur. J. Mech. A Solid 2017, 66, 243–255. [Google Scholar] [CrossRef]
- Yao, J.H.; Zhang, Q.L.; Kong, F.Z.; Ding, Q.M. Laser Hardening Techniques on Steam Turbine Blade and Application. Phys. Procedia 2010, 5, 399–406. [Google Scholar] [CrossRef]
- Pant, B.K.; Sundar, R.; Kumar, H.; Kaul, R.; Pavan, A.H.V.; Ranganathan, K.; Bindra, K.S.; Oak, S.M.; Kukreja, L.M.; Prakash, R.V.; et al. Studies towards development of laser peening technology for martensitic stainless steel and titanium alloys for steam turbine applications. Mater. Sci. Eng. A 2013, 587, 352–358. [Google Scholar] [CrossRef]
- Timon, V.P.; Corral, R. A Study on the Effects of Geometric Non Linearities on the Un-Running Transformation of Compressor Blades. In Proceedings of the ASME Turbo Expo: Turbine Technical Conference and Exposition, Düsseldorf, Germany, 16–20 June 2014; Volume 7. [Google Scholar] [CrossRef]
- Zheng, Y. A Fluid-Structure Coupling Method for Rotor Blade Unrunning Design. In Proceedings of the ASME Turbo Expo 2013: Turbine Technical Conference and Exposition, San Antonio, TX, USA, 2013; Volume 7. [Google Scholar]
- Obert, B.; Cinnella, P. Comparison of steady and unsteady RANS CFD simulation of a supersonic ORC turbine. Energy Procedia 2017, 129, 1063–1070. [Google Scholar] [CrossRef]
- Cao, L.H.; Si, H.Y.; Lin, A.Q.; Li, P.; Li, Y. Multi-factor optimization study on aerodynamic performance of low-pressure exhaust passage in steam turbines. Appl. Therm. Eng. 2017, 124, 224–231. [Google Scholar] [CrossRef]
- Hashemian, A.; Lakzian, E.; Ebrahimi-Fizik, A. On the application of isogeometric finite volume method in numerical analysis of wet-steam flow through turbine cascades. Comput. Math. Appl. 2019. [Google Scholar] [CrossRef]
- Zhu, W.; Wang, J.W.; Yang, L.; Zhou, Y.C.; Wei, Y.G.; Wu, R.T. Modeling and simulation of the temperature and stress fields in a 3D turbine blade coated with thermal barrier coatings. Surface Coat. Technol. 2017, 315, 443–453. [Google Scholar] [CrossRef]
- Eleftheriou, K.D.; Efstathiadis, T.G.; Kalfas, A.I. Stator Blade Design of an Axial Turbine using Non-Ideal Gases with Low Real-Flow Effects. Energy Procedia 2017, 105, 1606–1613. [Google Scholar] [CrossRef]
- Brahimi, F.; Ouibrahim, A. Blade dynamical response based on aeroelastic analysis of fluid structure interaction in turbomachinery. Energy 2016, 115, 986–995. [Google Scholar] [CrossRef]
- Bhagi, L.K.; Rastogi, V.; Gupta, P.; Pradhan, S. Dynamic Stress Analysis of L-1 Low Pressure Steam Turbine Blade: Mathematical Modelling and Finite Element Method. Mater. Today-Proc. 2018, 5, 28117–28126. [Google Scholar] [CrossRef]
- Chatterjee, A. Lumped parameter modelling of turbine blade packets for analysis of modal characteristics and identification of damage induced mistuning. Appl. Math. Model. 2016, 40, 2119–2133. [Google Scholar] [CrossRef]
- Shankar, M.; Kumar, K.; Prasad, S.L.A. T-root blades in a steam turbine rotor: A case study. Eng. Fail. Anal. 2010, 17, 1205–1212. [Google Scholar] [CrossRef]
- Wood, N.B.; Morton, V.M. Inlet angle distribution of last stage moving blades for large steam turbines. Int. J. Heat Fluid Flow 1984, 5, 101–111. [Google Scholar] [CrossRef]
- Wagner, W.; Cooper, J.R.; Dittmann, A.; Kijima, J.; Kretzschmar, H.J.; Kruse, A.; Mares, R.; Oguchi, K.; Sato, H.; Stocker, I.; et al. The IAPWS industrial formulation 1997 for the thermodynamic properties of water and steam. J. Eng. Gas Turbines Power 2000, 122, 150–182. [Google Scholar] [CrossRef]
















| Solver | Type | Pressure-Based | |
|---|---|---|---|
| Velocity Formulation | Absolute | ||
| Time | Steady | ||
| Model | Viscous | Renormalization-group (RNG) k-epsilon, Standard Wall Functions | |
| Solution Methods | Pressure-Velocity Coupling Scheme | Simple | |
| Spatial Discretization | Gradient | Least Squares Cell Based | |
| Pressure | PRESTO! | ||
| Momentum | Second Order Upwind | ||
| Volume Fraction | First Order Upwind | ||
| Turbulent Kinetic Energy | First Order Upwind | ||
| Solution Controls | Under-Relaxation Factors | Pressure | 0.3 |
| Density | 1 | ||
| Body Forces | 1 | ||
| Momentum | 0.7 | ||
| Volume Fraction | 0.5 | ||
© 2020 by the authors. Licensee MDPI, Basel, Switzerland. This article is an open access article distributed under the terms and conditions of the Creative Commons Attribution (CC BY) license (http://creativecommons.org/licenses/by/4.0/).
Share and Cite
Yi, G.; Zhou, H.; Qiu, L.; Wu, J. Hot Blade Shape Reconstruction Considering Variable Stiffness and Unbalanced Load in a Steam Turbine. Energies 2020, 13, 835. https://doi.org/10.3390/en13040835
Yi G, Zhou H, Qiu L, Wu J. Hot Blade Shape Reconstruction Considering Variable Stiffness and Unbalanced Load in a Steam Turbine. Energies. 2020; 13(4):835. https://doi.org/10.3390/en13040835
Chicago/Turabian StyleYi, Guodong, Huifang Zhou, Lemiao Qiu, and Jundi Wu. 2020. "Hot Blade Shape Reconstruction Considering Variable Stiffness and Unbalanced Load in a Steam Turbine" Energies 13, no. 4: 835. https://doi.org/10.3390/en13040835
APA StyleYi, G., Zhou, H., Qiu, L., & Wu, J. (2020). Hot Blade Shape Reconstruction Considering Variable Stiffness and Unbalanced Load in a Steam Turbine. Energies, 13(4), 835. https://doi.org/10.3390/en13040835

