Location and Capacity Optimization of Distributed Energy Storage System in Peak-Shaving
Abstract
1. Introduction
2. Model Formulation
2.1. DESS Model
2.2. Economic Analysis
3. Simulation-Based Optimization for Capacity Allocation
3.1. Location Selection Based on PLS
3.2. Capacity Allocation Based on Monte Carlo Simulation
3.2.1. Objective and Constraints
3.2.2. The Capacity Allocation Strategy Based on Greedy Algorithm
4. Case Study
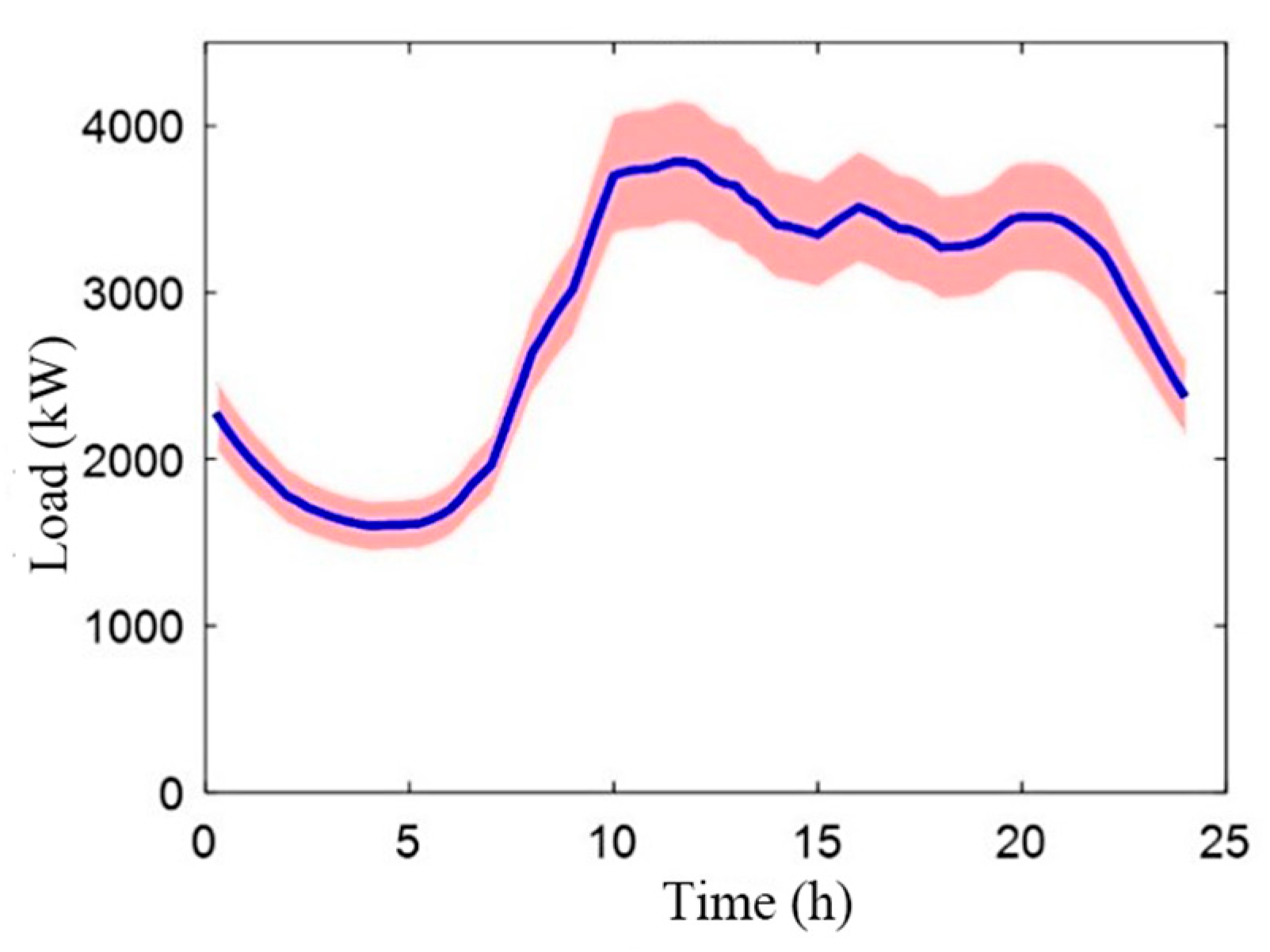
4.1. Simulation Parameters
4.2. Simulation Result
4.3. Parameters Analysis
4.3.1. Subsidy for Peak-Shaving
4.3.2. Load Distribution in the Distribution Network
5. Conclusions
Author Contributions
Funding
Conflicts of Interest
References
- Liang, H.; Liu, Y.; Li, F.; Shen, Y. Dynamic Economic/Emission Dispatch Including PEVs for Peak Shaving and Valley Filling. IEEE Trans. Ind. Electron. 2019, 66, 2880–2890. [Google Scholar] [CrossRef]
- Mahmud, K.; Sahoo, A. Multistage energy management system using autoregressive moving average and artificial neural network for day-ahead peak shaving. Electron. Lett. 2019, 55, 853–855. [Google Scholar] [CrossRef]
- Celli, G.; Pegoraro, P.A.; Pilo, F.; Pisano, G.; Sulis, S. DMS cyber-physical simulation for assessing the impact of state estimation and communication media in smart grid operation. IEEE Trans. Power Syst. 2014, 29, 2436–2446. [Google Scholar] [CrossRef]
- He, J.; Lu, C.; Jin, X.; Li, P. Analysis of time delay effects on wide area damping control. In Proceedings of the APCCAS 2008—2008 IEEE Asia Pacific Conference on Circuits and Systems, Macao, China, 30 November–3 December 2008; IEEE: Piscataway, NJ, USA, 2008; pp. 758–761. [Google Scholar]
- Zhao, Y.; Yuan, Z.; Lu, C.; Zhang, G.; Li, X.; Chen, Y. Improved model-free adaptive wide-area coordination damping controller for multiple-input–multiple-output power systems. IET Gener. Transm. Distrib. 2016, 10, 3264–3275. [Google Scholar] [CrossRef]
- Uddin, M.; Romlie, M.F.; Abdullah, M.F.; Halim, S.A.; Kwang, T.C. A review on peak load shaving strategies. Renew. Sustain. Energy Rev. 2017, 82, 3323–3332. [Google Scholar] [CrossRef]
- Sant’Ana, W.C.; Gonzatti, R.B.; Lambert-Torres, G.; Bonaldi, E.L.; Torres, B.S.; de Oliveira, P.A.; Pereira, R.R.; Borges-da-Silva, L.E.; Mollica, D.; Santana Filho, J. Development and 24 Hour Behavior Analysis of a Peak-Shaving Equipment with Battery Storage. Energies 2019, 12, 2056. [Google Scholar] [CrossRef]
- Cintuglu, M.H.; Martin, H.; Mohammed, O.A. Real-time implementation of multiagent-based game theory reverse auction model for microgrid market operation. IEEE Trans. Smart Grid 2015, 6, 1064–1072. [Google Scholar] [CrossRef]
- Thrampoulidis, C.; Bose, S.; Hassibi, B. Optimal placement of distributed energy storage in power networks. IEEE Trans. Autom. Control 2016, 61, 416–429. [Google Scholar] [CrossRef]
- Miranda, I.; Leite, H.; Silva, N. Coordination of multifunctional distributed energy storage systems in distribution networks. IET Gener. Transm. Distrib. 2015, 10, 726–735. [Google Scholar] [CrossRef]
- Carpinelli, G.; Celli, G.; Mocci, S. Optimal integration of distributed energy storage devices in smart grids. IEEE Trans. Smart Grid 2013, 4, 985–995. [Google Scholar] [CrossRef]
- Parra, D.; Norman, S.A.; Wailer, G.S. Optimum community energy storage system for demand load shifting. Appl. Energy 2016, 174, 130–143. [Google Scholar] [CrossRef]
- Rao, H.; Xu, S.; Zhao, Y.; Hong, C.; Wei, W.; Li, X.; Zhang, J.; Song, Q. Research and application of multiple STATCOMs to improve the stability of AC/DC power systems in China Southern Grid. IET Gener. Transm. Distrib. 2016, 10, 3111–3118. [Google Scholar] [CrossRef]
- Xu, Y.; Dong, Z.Y.; Meng, K.; Yao, W.F.; Zhang, R.; Wong, K.P. Multi-Objective Dynamic VAR Planning Against Short-Term Voltage Instability Using a Decomposition-Based Evolutionary Algorithm. IEEE Trans. Power Syst. 2014, 29, 2813–2822. [Google Scholar] [CrossRef]
- Poonpun, P.; Jewell, W.T. Analysis of the Cost per Kilowatt Hour to Store Electricity. IEEE Trans. Energy Convers. 2008, 23, 529–534. [Google Scholar] [CrossRef]
- Schoenung, S.; Hassenzahl, W. Long- vs. Short-Term Energy Storage Technologies Analysis: A Life-Cycle Cost Study; Sandia National Laboratories: Albuquerque, NM, USA; Livermore, CA, USA, 2003. [Google Scholar]
- Vrettos, E.I.; Papathanassiou, S.A. Operating policy and optimal sizing of a high penetration res-bess system for small isolated grids. IEEE Trans. Energy Convers. 2011, 26, 744–756. [Google Scholar] [CrossRef]
- Li, W.; Lu, C.; Pan, X.; Song, J. Optimal Placement and Capacity Allocation of Distributed Energy Storage Devices in Distribution Networks. In Proceedings of the 2017 13th IEEE Conference on Automation Science and Engineering (CASE), Xi’an, China, 20–23 August 2017; pp. 1403–1407. [Google Scholar]
- Tinney, W.F.; Hart, C.E. Power Flow Solution by Newton’s Method. IEEE Trans. Power Appar. Syst. 1967, 1449–1460. [Google Scholar] [CrossRef]
- Wu, W.C.; Zhang, B.M. A Three-Phase Power Flow Algorithm for Distribution System Power Flow Based on Loop analysis Method. Int. J. Electr. Power Energy Syst. 2008, 30, 8–15. [Google Scholar] [CrossRef]
- Li, Z.; Guo, Q.; Sun, H.; Wang, J. Storage-like devices in load leveling: Complementarity constraints and a new and exact relaxation method. Appl. Energy 2015, 151, 13–22. [Google Scholar] [CrossRef]
- Chacra, F.A.; Bastard, P.; Fleury, G.; Clavreul, R. Impact of energy storage costs on economical performance in a distribution substation. IEEE Trans. Power Syst. 2005, 20, 684–691. [Google Scholar] [CrossRef]








| Time Period | Peak Load | Valley Load | Peacetime |
|---|---|---|---|
| Price (yuan/kWh) | 1.0044 | 0.3946 | 0.6950 |
| Node | 12 | 13 | 14 | 15 | 16 | 17 | 29 | 30 | 31 | 32 |
|---|---|---|---|---|---|---|---|---|---|---|
| Capacity/kWh | 0 | 0 | 2.5 | 52.5 | 107.5 | 230 | 0 | 0 | 170 | 157.5 |
| Node | 15 | 16 | 17 | 31 | 32 | Net Benefit/yuan |
|---|---|---|---|---|---|---|
| Capacity/kWh | 5 | 75 | 182.5 | 25 | 112.5 | 198 |
| Node | 15 | 16 | 17 | 31 | 32 | Net Benefit/yuan |
|---|---|---|---|---|---|---|
| Capacity/kWh | 5.9 | 75.1 | 181.7 | 25.4 | 111.9 | 202 |
| Node | 12 | 13 | 14 | 15 | 16 | 17 | 29 | 30 | 31 | 32 |
|---|---|---|---|---|---|---|---|---|---|---|
| Capacity/kWh | 0 | 0 | 0 | 7.5 | 57.5 | 142.5 | 0 | 0 | 362.5 | 210 |
© 2020 by the authors. Licensee MDPI, Basel, Switzerland. This article is an open access article distributed under the terms and conditions of the Creative Commons Attribution (CC BY) license (http://creativecommons.org/licenses/by/4.0/).
Share and Cite
Jin, R.; Song, J.; Liu, J.; Li, W.; Lu, C. Location and Capacity Optimization of Distributed Energy Storage System in Peak-Shaving. Energies 2020, 13, 513. https://doi.org/10.3390/en13030513
Jin R, Song J, Liu J, Li W, Lu C. Location and Capacity Optimization of Distributed Energy Storage System in Peak-Shaving. Energies. 2020; 13(3):513. https://doi.org/10.3390/en13030513
Chicago/Turabian StyleJin, Ruiyang, Jie Song, Jie Liu, Wei Li, and Chao Lu. 2020. "Location and Capacity Optimization of Distributed Energy Storage System in Peak-Shaving" Energies 13, no. 3: 513. https://doi.org/10.3390/en13030513
APA StyleJin, R., Song, J., Liu, J., Li, W., & Lu, C. (2020). Location and Capacity Optimization of Distributed Energy Storage System in Peak-Shaving. Energies, 13(3), 513. https://doi.org/10.3390/en13030513

