A Review on Real-Size Epoxy Cast Resin Insulators for Compact High Voltage Direct Current Gas Insulated Switchgears (GIS) and Gas Insulated Transmission Lines (GIL)—Current Achievements and Envisaged Research and Development
Abstract
:1. Introduction
2. Technical Challenges for the Development of Spacers for Compact HVDC GIS/GIL
2.1. Resistive Electric Field Enhancement
2.2. Charges’ Accumulation on the Spacer’s Surface
2.3. Flashover under Superimposed Lightning/Switching Impulse Voltage onto DC Operating Voltage
2.4. Metallic Particles
3. Basic Theoretical Aspects
3.1. Calculation of the Electric Field Distribution
3.1.1. Simplified Calculation Method
Electric Conductivity Models for the Electric Field Calculation
3.1.2. Calculation Method Based on Gas Conduction Model
3.2. Calculation of the Charges’ Accumulation on the Spacer’s Surface
3.3. Calculation of the Temperature Distribution
4. Results of the Numerical Simulations
4.1. Electric Field Distribution
- -
- The electric field distribution, the maximum electric field strength and its location vary with the type of the applied voltage. The electric field distribution on the concave side of the spacer is different from that of the convex one. The electric field is intensified near the triple junction areas formed by the triple contact: HV conductor/grounded enclosure—epoxy spacer—the gas.
- -
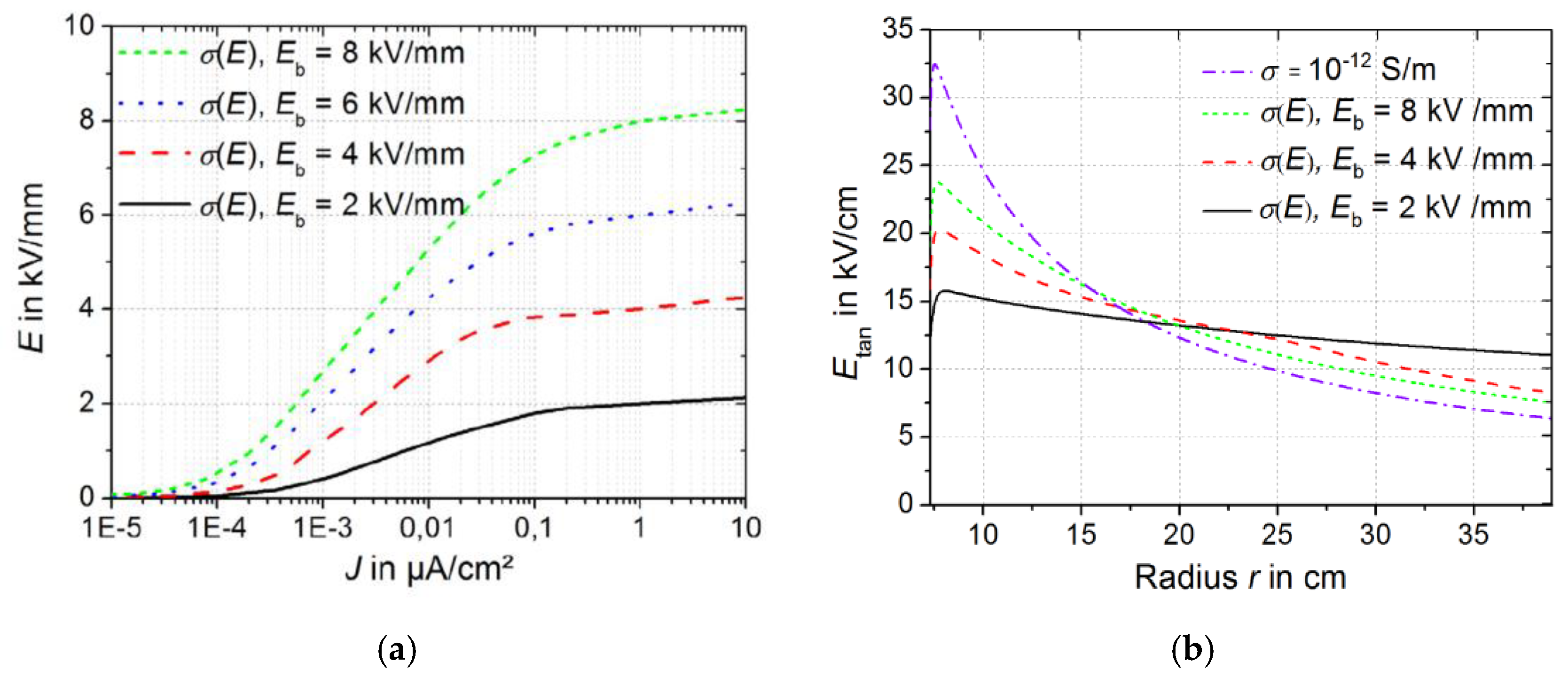
- The electric field distribution is strongly influenced by the electric conductivities of the epoxy spacer’s material and the surrounding gas.
- -
- An increase of gas ion-pair (IP) generation rate by a factor of 10 of the natural ionization causes an increase of the electric field as shown in Figure 3 [12,34]. Such enhancement of the electric field is also observed when additional source of ions generation in the gas is increased by electrons field emission [37,45].
- -
- The temperature gradient across the insulation has a large effect on the electric field distribution due to the temperature dependency of the electric conductivity of the epoxy spacer’s material. The high electric field location shifts along the spacer’s surface towards the colder regions near the earthed enclosure as shown in Figure 4 [20,23]. Without temperature gradient (ΔT = 0), the maximum electric field stress is in contrast within the spacer near the HV conductor.
- -
- The electric field distribution under impulse voltage superimposed on pre-stress DC voltage is different from that under impulse voltage alone [35,36,45] due to surface charges accumulation. Furthermore, it has been found that the resulting calculated electric field intensity when the impulse voltage is superimposed on pre-applied DC voltage of opposite polarity, is higher than the electric field intensity under the condition of DC voltage polarity reversal [35,36]. It is therefore suggested that undertaking this latter DC voltage polarity reversal qualification testing could not be necessary.
- -
- Geometrical modification of the spacer’s profile (spacer’s inclination angle, creepage distance, and thickness) can mitigate the local concentration of the electric field at the critical locations [13,38,39,40,41]. In the work [13], different spacer geometries as shown in Figure 5 have been investigated and the results were compared with an already optimized conical insulator which is commercially in DC GIS use. It has been found that the best geometry for minimizing the electric field is the rectangle version as illustrated in Figure 6, however it is not practical for mechanical and production related reasons. The second-best version is that of the already optimized conical spacer, thus confirming its reliability.
- -
- Spacers made of nonlinear conductivity electric field grading material composed of epoxy filled with a functional filler lead to a significant lowering of the electric field concentration in highly stressed regions compared to conventional epoxy spacers. Figure 7 and Figure 8 show the tangential electric field distributions under 500 kV DC along spacers made of epoxy filled with zinc oxide (ZnO) microvaristors [42] and epoxy filled with IriotecR 7000 (Merck Group Company, Darmstadt, Germany) that consist of flake shaped mica particles, covered with a nano scaled semiconducting antimony-doped tin oxide (ATO) layer, denoted in the reviewed papers as mica functional filler (MFF) [43], respectively. The experimental characteristics of the electric field dependent current density/conductivity of the two filled epoxy composites used in the simulations are also given. It should be noted that such new stress control materials are still under development.
4.2. Simulated Surface Charges’ Accumulation
- -
- In general, the accumulation of charges on the concave and convex surfaces of the conical spacer is different. Most of positive charges build up on one side of the surface while most of negative charges on the other side. In addition, the distribution of surface charges varies with the temperature distribution as reported in [44,47].
- -
- The accumulation of surface charges depends strongly on the conductivities of the spacer’s epoxy material and the surrounding gas. Also, if besides the natural ionization of the gas, additional ion sources are present like from electrons field emission, surface charging of the spacer is dominated by gas conduction [34,37,43].
- -
- The accumulated charge density on the spacer’s surface under DC steady state could be controlled by the modification of the spacer’s shape. An example is given in Figure 9 which shows that the smaller the spacer’s angle inclination (θ), the more significant surface charge density is. Moreover, it has been found that the accumulated charges can be critical when the voltage polarity is reversed [40,41].
5. Experimental Investigation
5.1. Surface Potential Measurement and Surface Charges’ Distribution
- -
- The build-up of surface charges is confirmed by the experimental investigations. The accumulated charge distribution depends on the DC voltage testing conditions (polarity, duration, and magnitude). The surface charge has a non-uniform distribution on the spacer, and it is highly localized in certain zones. However, the maximum surface density of the accumulated charges under the operating DC electric field is low.
- -
- The measured surface charge density distribution does not match the theoretical one. This difference is explained to be caused by: (i) the surface quality of the investigated spacers may present some defects caused by the casting manufacturing process, finishing, material surface morphology (size/shape of the filler and uneven distribution of the filler) that can result in further surface charge build-up; (ii) the accuracy of the surface charges measurement technique. Indeed, the measurements by the non-contact active electrostatic probe technique are done when the applied voltage is switched off and consequently some of the charges maybe neutralized or reduced especially if the measurement time is long. Moreover, and as mentioned above, solving the charge inversion algorithm to get the measured surface charge density distribution is sensitive to noise and measurement method especially for complex-shaped spacers and thus it is not very accurate.
5.2. High Voltage Testing Verification and Examples of Commercially Available HVDC Gas Insulated Systems
6. Envisaged Research and Development of HVDC Spacers
6.1. Electric Field Control Using Advanced Field Grading Materials
6.2. Thermoplastic Polymers-Based Spacers
6.3. Compatibility of the HVDC GIS/GIL Spacers with SF6-Free Alternative Gases
- -
- Low GWP
- -
- No ozone depletion potential (ODP)
- -
- Low toxicity and non-flammability
- -
- Safe to human health
- (i)
- Green gas for grid (G3) [78,79] developed by GE Grid Solutions (Villeurbanne, France) in partnership with the 3M Company (Saint Paul, MN, USA) based on 4% to 6% Novec™ 4710 with CO2 which has a low GWP of 427–600, has no ozone depletion potential (ODP = 0), non-toxic, and not flammable. In addition, it is not a carcinogenic and mutagenic gas. G3 is integrated in GE Grid Solutions HVAC gas insulated products up to 420 kV [78].
- (ii)
- AirPlusTM gas [80,81] developed by Hitachi Power Grids in collaboration with 3M Company based on 6% NovecTM 5110 mixed with CO2 (82%) and O2(12%) which has a negligible GWP (<1), its ODP = 0, non-toxic and not flammable. It is mentioned in [81] that this gas mixture was used in a pilot GIS installation in Switzerland with a rated voltage of 170 kV.
7. Conclusions
- -
- The optimization of today’s developed spacers is based on the combination of the appropriate spacer shape design and the adjustment of the DC electric conductivity of the spacer’s epoxy material by modifying slightly its chemical composition.
- -
- Long term (one year) testing of HVDC GIS and GIL prototype installations have been developed to demonstrate the reliability of the systems under real service conditions.
- -
- Research and development activities are continuing for higher electric field applications where new advanced insulation techniques such as electric field grading materials and functionally graded materials will be required to be integrated.
- -
- Furthermore, as the developed gases C5-perfluoroketone mixed with CO2 and O2, and C4-perfluoronitile mixed with CO2 have entered the market and are presently used as alternative to SF6 in some commercial HVAC gas insulated systems, their reliability and compatibility with the epoxy insulators of the HVDC GIS/GIL will be in the future extensively studied and test verified.
Author Contributions
Funding
Acknowledgments
Conflicts of Interest
References
- NKT A/S. World´s Most Powerful Underground Power Transmission Cable System. Available online: https://www.nkt.com/products-solutions/high-voltage-cable-solutions/innovation/640-kv-extruded-hvdc-cable-systems (accessed on 24 October 2019).
- Nitta, T.; Nakanishi, K. Charge Accumulation on Insulating Spacers for HVDC GIS. IEEE Trans. Dielectr. Electr. Insul. 1991, 26, 418–427. [Google Scholar] [CrossRef]
- Hasegawa, T.; Yamaji, K.; Hatano, M.; Endo, F.; Aoyagi, H.; Taniguchi, Y.; Kobayashi, A. DC Dielectric Characteristics and Conception of Insulation Design for DC GIS. IEEE Trans. Power Deliv. 1996, 11, 1776–1782. [Google Scholar] [CrossRef]
- Hasegawa, T.; Yamaji, K.; Hatano, M.; Endo, F.; Rokunohe, T.; Yamagiwa, T. Development of Insulation Structure and Enhancement of Insulation Reliability of 500 kV DC GIS. IEEE Trans. Power Deliv. 1997, 12, 194–202. [Google Scholar] [CrossRef]
- Shikata, M.; Yamaji, K.; Hatano, M. Development and design of DC GIS. Electr. Eng. Jpn. 1999, 129, 51–61. [Google Scholar] [CrossRef]
- Shimato, T.; Hashimoto, T.; Sampei, M. The Kii Channel HVDC Link in Japan; CIGRE: Paris, France, 2002. [Google Scholar]
- Yasuoka, T.; Abe, Y.; Shiiki, M.; Karube, T. Dielectric Tests for 250 kV DC-GIS. In Proceedings of the CIGRE-IEC 2019 Conference on EHV and UHV (AC&DC), Hakodate, Hokkaido, Japan, 23–26 April 2019. [Google Scholar]
- Yasuoka, T.; Hoshina, Y.; Shiiki, M.; Takei, M.; Kumada, A.; Hikada, K. Insulation characteristics in DC-GIS: Surface charge phenomena on epoxy spacer and metallic particle motions. In Proceedings of the CIGRE Conference, Paris, France, 26–31 August 2018. [Google Scholar]
- Shigemitsu, O.; Genyo, U.; Tomoaki, U.; Jun, N. Insulation Characteristics of GIS Insulators under Lightning Impulse with DC Voltage Superimposed. IEEE Trans. Dielectr. Electr. Insul. 2015, 22, 3269–3277. [Google Scholar]
- Shigemitsu, O.; Genyo, U.; Kenichi, N. Insulation Characteristics of GIS Epoxy Insulators with Non-uniform Surface Resistance under DC Voltage. IEEE Trans. Dielectr. Electr. Insul. 2015, 22, 516–525. [Google Scholar]
- Riechert, U.; Gremaud, R.; Thorson, S.; Callavik, M. Application options and electrical field studies as basis for adequate testing of gas-insulated systems for HVDC. In Proceedings of the CIGRE Winnipeg 2017 Colloquium Study Committees A3, B4 & D1, Winnipeg, MB, Canada, 30 September–6 October 2017. [Google Scholar]
- Gremaud, R.; Riechert, U.; Straumann, U. Compact Gas-insulated Systems for High Voltage Direct Current Transmission: Basic Design. In Proceedings of the 2016 IEEE PES Transmission & Distribution Conference & Exposition, Dallas, TX, USA, 3–5 May 2016. [Google Scholar]
- Riechert, U.; Straumann, U.; Gremaud, R.; Callavik, M. Compact Gas-insulated Systems for High Voltage Direct Current Transmission: Design and Testing. In Proceedings of the 2016 IEEE PES Transmission & Distribution Conference & Exposition, Dallas, TX, USA, 3–5 May 2016. [Google Scholar]
- Hering, M.; Koch, H.; Jurhe, K. Direct Current High-Voltage Gas Insulated Switchgear up to ±550 kV. In Proceedings of the CIGRE-IEC 2019 Conference on EHV and UHV (AC&DC), Hakodate, Hokkaido, Japan, 23–26 April 2019. [Google Scholar]
- Tenzer, M.; Koch, H.; Imamovic, D. Compact Systems for High Voltage Direct Current Transmission. In Proceedings of the International ETG Congress, Bonn, Germany, 17–18 November 2015. [Google Scholar]
- Imamovic, D.; Lutz, B.; Juhre, K.; Uecker, K.; Langens, A. Development of 320 kV DC Compact Switchgear; CIGRE: Toronto, ON, Canada, 2014. [Google Scholar]
- Siemens Energy. Gas-insulated DC Switchgear (DC GIS). Available online: https://www.siemens-energy.com/global/en/offerings/power-transmission/transmission-products/gas-insulated/dc-gis.html (accessed on 24 October 2020).
- Magier, T.; Tenzer, M.; Koch, H. Direct Current Gas-Insulated Transmission Lines. IEEE Trans. Power Deliv. 2018, 33, 440–446. [Google Scholar] [CrossRef]
- Tenzer, M.; Rudenko, P.; Koch, H. Direct Current Gas-Insulated Transmission Lines: Development and testing of the ±550 kV DC GIL. In Proceedings of the International Symposium on HVDC Cable Systems, Dunkirk, France, 20–22 November 2017. [Google Scholar]
- Koch, H.; Imamovic, D.; Lutz, B.; Juhre, K.; Neidhart, T.; Rogler, R.D. High Power Underground Transmission for HVDC. In Proceedings of the CIGRE Conference, Paris, France, 22–26 August 2016. paper B3-104. [Google Scholar]
- Tenzer, M.; Koch, H.; Imamovic, D. Underground transmission lines for AC and DC. In Proceedings of the 2016 IEEE/PES Transmission and Distribution Conference and Exposition (T&D), Texas, USA, 3–5 May 2016. [Google Scholar]
- Koch, H.; Imamovic, D. High Power AC and DC Underground Transmission Lines. In Proceedings of the 2016 CIGRE-IEC Colloquium, Montreal, QC, Canada, 9–11 May 2016. [Google Scholar]
- Imamovic, D.; Tenzer, M.; Koch, H. High Power Underground Transmission Lines. In Proceedings of the 9th International Conference on Insulated Power Cables-Jicable 2015, Versailles, France, 21–25 June 2015. [Google Scholar]
- Li, C.; Lin, C.; Yang, Y.; Zhang, B.; Liu, W.; Li, Q.; Hu, J.; He, S.; Liu, X.; He, J. Novel HVDC Spacers by Adaptively Controlling Surface Charges—Part I: Charge Transport and Control Strategy. IEEE Trans. Dielectr. Electr. Insul. 2018, 25, 1238–1247. [Google Scholar]
- Li, C.; Lin, C.; Yang, Y.; Zhang, B.; Liu, W.; Li, Q.; Hu, J.; He, S.; Liu, X.; He, J. Novel HVDC Spacers by Adaptively Controlling Surface Charges—Part II: Experiment. IEEE Trans. Dielectr. Electr. Insul. 2018, 25, 1248–1258. [Google Scholar]
- Li, C.; Lin, C.; Yang, Y.; Zhang, B.; Liu, W.; Li, Q.; Hu, J.; He, S.; Liu, X.; He, J. Novel HVDC Spacers by Adaptively Controlling Surface Charges—Part III: Industrialization Prospects. IEEE Trans. Dielectr. Electr. Insul. 2018, 25, 1259–1266. [Google Scholar]
- Hering, M.; Gremaud, R.; Speck, J.; Groβmann, S.; Riechert, U. Flashover behaviour of insulators with inhomogeneous temperature distribution in gas insulated systems under DC voltage stress. In Proceedings of the 2014 ICHVE International Conference on High Voltage Engineering and Application, Boznan, Poland, 8–11 September 2014. [Google Scholar]
- Zebouchi, N.; Li, H.; Haddad, M. Development of Future Compact and Eco-Friendly HVDC Gas-Insulated Systems: Shape Optimization of a DC Spacer Model and Novel Materials Investigation. Energies 2020, 13, 3288. [Google Scholar] [CrossRef]
- Li, C.; Liu, B.; Wang, J.; Gong, R.; Wang, G.; Lei, Z.; Fabiani, D.; Lin, C.; Hu, J. Novel HVDC Spacers in GIS/GIL by Adaptively Controlling Surface Charges—Insulation Compounding Scheme. In Proceedings of the 2nd International Conference on High Voltage Engineerin and Power Systems (ICHVEPS), Bali, Indonesia, 1 October 2019. [Google Scholar]
- Koch, H.; Hopkins, M. Overview of Gas Insulated Lines (GIL). In Proceedings of the IEEE Power Engineering Society General Meeting, San Francisco, CA, USA, 16 June 2005; pp. 940–944. [Google Scholar]
- Riechert, U.; Blumenroth, F.; Straumann, U.; Kaufmann, B.; Saltzer, M.; Bergelin, P. Experiences in Dielectric Testing of Gas-insulated HVDC Systems. In Proceedings of the CIGRE Conference, Paris, France, 26–31 August 2018. [Google Scholar]
- Endo, F.; Hama, H.; Okabe, S.; Juhre, K.; Kindersberger, J.; Meijer, S.; Schichler, U. Gas Insulated System for HVDC: DC Stress at DC and AC Systems; CIGRE Technical Brochure 506; CIGRE: Paris, France, 2012; ISBN 978-2-85873-198-5. [Google Scholar]
- Imamovic, D. Compact Systems for HVDC Applications. In Proceedings of the Symposium Energieinnovation, Graz, Austria, 12–14 February 2014. [Google Scholar]
- Gremaud, R.; Molitor, F.; Doiron, C.; Christen, T.; Riechert, U.; Straumann, U.; Kallstrand, B.; Johansson, K.; Hjorstram, O. Solid Insulation in DC Gas-Insulated Systems. In Proceedings of the CIGRE Conference, Paris, France, 24–29 August 2014. [Google Scholar]
- Vu-Cong, T.; Zavattoni, L.; Vinson, P.; Girodet, A. DC GIS: Importance of Simulations for the Design and Testing; CIGRE D1-102; CIGRE: Paris, France, 2016. [Google Scholar]
- Vu-Cong, T.; Vinson, P.; Girodet, A. Simulation Methodology for DC GIS. In Proceedings of the MATPOST 2015, 5th International Substation Equipment’s Conference, Lyon, France, 24 November 2015. [Google Scholar]
- Winter, A.; Kindersberger, J. Transient Field Distribution in Gas-Solid Insulation Systems under DC Voltages. IEEE Trans. Dielectr. Electr. Insul. 2014, 21, 116–128. [Google Scholar] [CrossRef]
- Hong Koo, J.; Hwang, J.-S.; Kwon, I.-S.; Lee, H.-Y.; Ju Shin, W.; Lee, B.-W. Modeling and simulation of HVDC epoxy spacer for SF6 gas insulated system. In Proceedings of the 19th International Symposium on High Voltage Engineering, Pilsen, Czech Republic, 23–28 August 2015. [Google Scholar]
- Sakai, T.; Furuyashiki, T.; Kato, K.; Okubo, H. Electric field analysis and electrical insulation performance for solid insulator in HVDC gas insulated switchgear. In Proceedings of the 19th International Symposium on High Voltage Engineering, Pilsen, Czech Republic, 23–28 August 2015. [Google Scholar]
- Nakane, R.; Takabayashi1, K.; Kato, K.; Okubo, H. Electric field analysis an electrical insulation performance for Gas-Solid composite insulation in HVDC GIS. In Proceedings of the 20th International Symposium on High Voltage Engineering, Buenos Aires, Argentina, 27 August–1 September 2017. [Google Scholar]
- Nakane, R.; Takabayashi1, K.; Kato, K.; Okubo, H. Electrical insulation performance of HVDC-GIS spacer under various testing conditions. In Proceedings of the IEEE Conference on Electrical Insulation and Dielectric Phenomena, Fort Worth, TX, USA, 22–25 October 2017. [Google Scholar]
- Tenzer, M.; Hinrichsen, H. Investigations on microvaristor-filled polymeric insulating materials focused on DC applications. In Proceedings of the 22nd Nordic Insulation Symposium, NORD-IS 11, Tampere, Finland, 13–15 June 2011. [Google Scholar]
- Winter, A.; Kindersberger, J.; Tenzer, M.; Hinrichsen, V.; Zavattoni, L.; Lesaint, O.; Muhr, M.; Imamovic, D. Solid/Gaseous insulation systems for compact HVDC solutions. In Proceedings of the CIGRE Conference, Paris, France, 24–29 August 2014. [Google Scholar]
- Du, B.X.; Liang, H.C.; Li, J.; Ran, Z.Y. Electrical Field Distribution along SF6/N2 Filled DC-GIS/GIL Epoxy Spacer. IEEE Trans. Dielectr. Electr. Insul. 2018, 25, 1203–1210. [Google Scholar] [CrossRef]
- Vu-Cong, T.; Jacquier, F.; Girodet, A. Electric field computation for HVDC GIS/GIL spacer under superimposed impulse conditions. In Proceedings of the 2019 IEEE Conference on Electrical Insulation and Dielectric Phenomena, Richland, WA, USA, 20–23 October 2019. [Google Scholar]
- Zhang, B.; Guo, Y.; Yao, Y.; Wang, Z.; Zhang, H.; Jin, G. Charge transport and accumulation around the cone-type insulator in SF6-filled 550 kV DC GIL. J. Eng. 2019, 2019, 2610–2614. [Google Scholar] [CrossRef]
- Hong-Yang, Z.; Guo-Ming, M.; Cheng-Rong, L.; Cheng, S.; Si-Chen, Q. Impact of temperature on surface charges accumulation on insulators in SF6-filled DC GIL. IEEE Trans. Dielectr. Electr. Insul. 2017, 24, 601–610. [Google Scholar]
- Zhang, L.; Lin, C.; Li, C.; Suraci, S.V.; Chen, G.; Riechert, U.; Shahsavarian, T.; Hikita, M.; Tu, Y.; Zhang, Z.; et al. Gas–solid interface charge characterisation techniques for HVDC GIS/GIL insulators. High Volt. 2020, 5, 95–109. [Google Scholar] [CrossRef]
- Zhou, H.; Ma, G.; Wang, Y.; Li, C.; Tu, Y.; Ye, S.; Zhang, B.; Guo, X.; Yan, X. Surface Charge Accumulation on 500kV Cone-Type GIS Spacer under Residual DC Voltage. IEEE Trans. Dielectr. Electr. Insul. 2018, 25, 1230–1237. [Google Scholar] [CrossRef]
- Chuanjie, L.; Chuanyang, L.; Jinliang, H.; Jun, H.; Bo, Z. Surface Charge Inversion Algorithm Based on Bilateral Surface Potential Measurements of Cone-type Spacer. IEEE Trans. Dielectr. Electr. Insul. 2017, 24, 1905–1912. [Google Scholar]
- Gremaud, R.; Doiron, C.B.; Baur, M.; Simka, P.; Teppati, V.; Källstrand, B.; Johansson, K.; Hering, M.; Speck, J.; Großmann, S.; et al. Solid-gas insulation in HVDC gas-insulated system: Measurement, modeling and experimental validation for reliable operation. CIGRE Sci. Eng. 2017, 7, 133–142. [Google Scholar]
- Zhao, S.; Kindersberger, J.; Hering, M.; Juhre, K. Measurement of surface potential at the gas-solid interface for validating electric field simulations in gas-insulated DC systems. In Proceedings of the CIGRE Conference, Paris, France, 26–31 August 2018. [Google Scholar]
- Vu-Cong, T.; Zavattoni, L.; Vinson, P.; Girodet, A. Surface charge measurements on epoxy spacer in HVDC GIS/GIL in SF6. In Proceedings of the IEEE Conference on Electrical Insulation and Dielectric Phenomena, Toronto, ON, Canada, 16–19 October 2016. [Google Scholar]
- Zhang, B.Y.; Wang, Q.; Zhang, G.X. Measurement and modeling of surface charge accumulation on insulators in HVDC gas insulated line (GIL). CIGRE Sci. Eng. 2015, 3, 81–88. [Google Scholar]
- Qiang, W.; Guixin, Z.; Xinxin, W. Characteristics and Mechanisms of Surface Charge Accumulation on a Cone-type Insulator under dc Voltage. IEEE Trans. Dielectr. Electr. Insul. 2012, 19, 150–155. [Google Scholar] [CrossRef]
- Wang, Q.; Zhang, G.X.; Wang, X.X.; Wang, B. Surface Charge Accumulation on the Cone-Type Insulator under DC Voltage. In Proceedings of the IEEE International Power Modulator and High Voltage Conference, Atlanta, GA, USA, 23–27 May 2010. [Google Scholar]
- Juhre, K.; Lutz, B.; Imamovic, D. Testing and long-term performance of gas-insulated DC compact switchgear. CIGRE Sci. Eng. 2016, 6, 103–108. [Google Scholar]
- CIGRE Working Group. JWG D1/B3.57 “Dielectric Testing of Gas Insulated HVDC Systems”; Draft Paper; CIGRE: Paris, France, 2013. [Google Scholar]
- ABB. ABB Installs Latest HVDC Gas-Insulated Switchgear Innovation. Available online: https://new.abb.com/news/detail/7703/abb-installs-latest-hvdc-gas-insulated-switchgear-innovation (accessed on 24 October 2019).
- Transformers Magazine. DNV GL Completes HVDC GIS Test Prototype Installation. Available online: https://transformers-magazine.com/tm-news/5900-dnv-gl-completes-hvdc-gis-test-prototype-installation/ (accessed on 24 October 2019).
- Sperling, E.; Riechert, U. Long-term qualification procedure on a GIS HVDC RC-divider and HVDC GIS system up to ±350 kV. In Proceedings of the CIGRE-IEC 2019 Conference on EHV and UHV (AC&DC), Hakodate, Hokkaido, Japan, 23–26 April 2019. [Google Scholar]
- Juhre, K.; Hering, M. Testing and long-term performance of gas-insulated systems for DC application. In Proceedings of the CIGRE-IEC 2019 Conference on EHV and UHV (AC&DC), Hakodate, Hokkaido, Japan, 23–26 April 2019. [Google Scholar]
- Lutz, B.; Juhre, K.D. Imamovic. Long-term term performance of solid insulators in gas insulated systems under HVDC stress. In Proceedings of the 19th International Symposium on High Voltage Engineering, Pilsen, Czech Republic, 23–28 August 2015.
- Juhre, K.; Hering, M. Influence of extreme temperature conditions on the gas-solid insulating system under DC voltage stress. In Proceedings of the CIGRE Winnipeg 2017 Colloquium Study Committees A3, B4 & D1, Winnipeg, MB, Canada, 30 September–6 October 2017. [Google Scholar]
- Siemens. Gas Insulated DC Switchgear for up to ±550 kV, 5000 A; Siemens DC GIS Technical Brochure; Siemens AG: Erlangen, Germany, 2013; Available online: https://assets.new.siemens.com/siemens/assets/api/uuid:eaee0c6a63a0f7edf5372a1f5a370fefd53de9ab/e50001-g630-a240-x-4a00-ws-gis-8dq1-1-550-kv-lowres.pdf (accessed on 24 October 2020).
- CIGRE. Recommendations for Testing DC Extruded Cable Systems for Power Transmission at a Rated Voltage up to 500 kV; CIGRE Technical Brochure 496; CIGRE: Paris, France, 2012. [Google Scholar]
- Available online: https://www.hst.tu-darmstadt.de/links_2/projekt__griesheim_/inhalt_mit_marginalienspalte_184.de.jsp (accessed on 24 October 2019).
- Neumann, C.; Hallas, M.; Felk, M.; Tenzer, M.; Riechert, U. Some thoughts regarding prototype installation tests of gas-insulated HVDC systems. In Proceedings of the CIGRE Winnipeg 2017 Colloquium Study Committees A3, B4 & D1, Winnipeg, MB, Canada, 30 September–6 October 2017. [Google Scholar]
- Vu-Cong, T.; Ortiz, G.; Jacquier, F.; Vinson, P.; Girodet, A. Design and validation tests of 320 kV HVDC GIL/GIS. In Proceedings of the MATPOST 2019 Conference, Lyon, France, 20–22 November 2019. [Google Scholar]
- CIGRE. Optimized Gas-Insulated Systems by Advanced Insulation Techniques; CIGRE Technical Brochure 571; CIGRE: Paris, France, 2014. [Google Scholar]
- Hering, M.; Juhre, K.; Secklehner, M.; Hinrichsen, V. Requirements on Solid Insulating Materials and Gas-Solid Interfaces in Compact HVDC Gas-Insulated Systems. In Proceedings of the 20th International Symposium on High Voltage Engineering, Buenos Aires, Argentina, 27 August–1 September 2017. [Google Scholar]
- Hayakawa, N.; Oishi, R.; Kojima, H.; Zebouchi, N. Electric Field Grading by Functionally Graded Materials (FGM) for HVDC Gas Insulated Power Apparatus. In Proceedings of the IEEE Conference on Electrical Insulation and Dielectric Phenomena, Cancun, Mexico, 21–24 October 2018. [Google Scholar]
- Rachmawati, I.A.; Nakane, R.; Kojima, H.; Kato, K.; Zebouchi, N.; Hayakawa, N. Electric Field Grading by Permittivity and Conductivity Graded Materials (ε/σ-FGM) for HVDC Gas Insulated Power Apparatus. In Proceedings of the 2020 International Symposium on Electrical Insulating Materials (ISEIM 2020), Tokyo, Japan, 13–17 September 2020. [Google Scholar]
- Li, J.; Liang, H.C.; Du, B.X.; Wang, Z.H. Surface Functional Graded Spacer for Compact HVDC Gaseous Insulated System. IEEE Trans. Dielectr. Electr. Insul. 2019, 26, 664–667. [Google Scholar] [CrossRef]
- Juhre, K.; Siemens, Berlin, Germany. Private communication, 2012.
- Seeger, M.; Smeets, R.; Yan, J.; Ito, H.; Claessens, M.; Dullni, E.; Franck, C.M.; Gentils, F.; Hartmann, H.; Kiefel, Y.; et al. Recent development of alternative gases to SF6 for switching applications. Electra 2017, 291, 26–29. [Google Scholar]
- Li, X.; Zhao, H.; Murphy, A.-B. SF6-alternative gases for application in gas-Insulated switchgear. J. Phys. D Appl. Phys. 2018, 51, 153001. [Google Scholar] [CrossRef]
- General Electric. g3—SF6 Alternative For High Voltage Applications. Available online: https://www.gegridsolutions.com/HVMV_Equipment/catalog/g3/ (accessed on 24 October 2020).
- Baofeng, P.; Guoming, W.; Huimin, S.; Jiahua, S.; Hong-Keun, J.; Gyung-Suk, K. Green Gas for Grid as an Eco-Friendly Alternative Insulation Gas to SF6: A Review. MDPA Appl. Sci. 2020, 10, 2526. [Google Scholar]
- ABB. AirPlusTM: An Alternative to SF6 as an Insulation and Switching Medium in Electrical Switchgear. Available online: https://library.e.abb.com/public/3405a31190934a8c98997eca8fc811be/ABB%20Review%202-2016_AirPlus_An%20Alternative%20to%20SF6.pdf (accessed on 24 October 2020).
- Diggelmann, T.; Tehlar, D.; Müller, P. 170 kV Pilot Installation with a Ketone Based Insulation Gas with First Experience from Operation in the Grid. CIGRE Conference: Paris, France, 2016; pp. 105–113. [Google Scholar]
- Siemens Energy. Siemens to Retrofit One of the Largest Substations in Germany. Available online: https://press.siemens.com/global/en/pressrelease/siemens-retrofit-one-largest-substations-germany (accessed on 24 October 2019).
- Wang, C.; Cheng, Y.; Tu, Y.; Chen, G.; Yuan, Z.; Xiao, A.; Owens, J.; Zhang, A.; Mi, N. Characteristics of C3F7CN/CO2 as an Alternative to SF6 in HVDC-GIL Systems. IEEE Trans. Dielectr. Electr. Insul. 2018, 25, 1351–1356. [Google Scholar] [CrossRef]















| Insulation Domain | Electric Conductivity Model |
|---|---|
| Spacer |
|
| Gas |
|
| Surface layer |
|
| Test | Conditions | |
|---|---|---|
| Test Values | Load | |
| Pre-Tests | Heating Dielectric Pre-Tests | |
| Long duration continuous DC voltage test (30 days = time to reach 90% of the DC steady field) | Maximum continuous operating DC voltage (−) = −350 kV | High load |
| DC voltage = −350 kV Lightning impulse voltage = ±1050 kV Switching impulse voltage = ±950 V | High load |
| Polarity reversal | High load | |
| Long duration continuous DC voltage test (30 days) | Maximum continuous operating DC voltage (+) = +350 kV | High load |
| DC voltage = +350 kV Lightning impulse voltage = ±1050 kV Switching impulse voltage = ±950 V | High load |
| ZL | ZL | HL | HL | ZL | ZL | HL | HL | HL | HL | HL | HL | LC | ZL | LC | ZL | |
|---|---|---|---|---|---|---|---|---|---|---|---|---|---|---|---|---|
| Days | 60 | 1 | 60 | 1 | 60 | 1 | 60 | 1 | 60 | 1 | 60 | 1 | 15 | 1 | 15 | 1 |
| Test | - | - | + | + | - | + | + | - | ||||||||
| UT | SIM | UT | SIM | UT | SIM | UT | SIM AC PD | UT | SIM | UT | SIM | UT | SIM | UT | SIM AC PD |
| Pre-Test (Zero Load-Without Temperature Gradient) | |
|---|---|
| Test | Level |
| AC withstand voltage test (1 min) | 700 kV AC |
| DC withstand voltage test (10 min) | ±825 kV DC |
| LI withstand voltage test (15 impulses) | ±1550 kV LI |
| SI withstand voltage test (15 impulses) | ±1175 kV SI |
| Insulation system test (high load-with temperature gradient) | |
| Test | Level |
| Composite voltage test DC and LI voltage with >120 h of DC pre-stress ±550 kV (3 impulses) | ±550 kV DC & ±1550 kV LI (all 4 quadrants) |
| Composite voltage test DC and SI voltage with >120 h of DC pre-stress ±550 kV (3 impulses) | ±550 kV DC & ±1175 kV LI (all 4 quadrants) |
Publisher’s Note: MDPI stays neutral with regard to jurisdictional claims in published maps and institutional affiliations. |
© 2020 by the authors. Licensee MDPI, Basel, Switzerland. This article is an open access article distributed under the terms and conditions of the Creative Commons Attribution (CC BY) license (http://creativecommons.org/licenses/by/4.0/).
Share and Cite
Zebouchi, N.; Haddad, M.A. A Review on Real-Size Epoxy Cast Resin Insulators for Compact High Voltage Direct Current Gas Insulated Switchgears (GIS) and Gas Insulated Transmission Lines (GIL)—Current Achievements and Envisaged Research and Development. Energies 2020, 13, 6416. https://doi.org/10.3390/en13236416
Zebouchi N, Haddad MA. A Review on Real-Size Epoxy Cast Resin Insulators for Compact High Voltage Direct Current Gas Insulated Switchgears (GIS) and Gas Insulated Transmission Lines (GIL)—Current Achievements and Envisaged Research and Development. Energies. 2020; 13(23):6416. https://doi.org/10.3390/en13236416
Chicago/Turabian StyleZebouchi, Nabila, and Manu. A. Haddad. 2020. "A Review on Real-Size Epoxy Cast Resin Insulators for Compact High Voltage Direct Current Gas Insulated Switchgears (GIS) and Gas Insulated Transmission Lines (GIL)—Current Achievements and Envisaged Research and Development" Energies 13, no. 23: 6416. https://doi.org/10.3390/en13236416
APA StyleZebouchi, N., & Haddad, M. A. (2020). A Review on Real-Size Epoxy Cast Resin Insulators for Compact High Voltage Direct Current Gas Insulated Switchgears (GIS) and Gas Insulated Transmission Lines (GIL)—Current Achievements and Envisaged Research and Development. Energies, 13(23), 6416. https://doi.org/10.3390/en13236416

