The Enhancement of Weak Bearing Fault Signatures by Stochastic Resonance with a Novel Potential Function
Abstract
1. Introduction
2. Theoretical Section
2.1. Potential Model
2.1.1. Power Type Potential Model
2.1.2. Woods-Saxon Potential Model
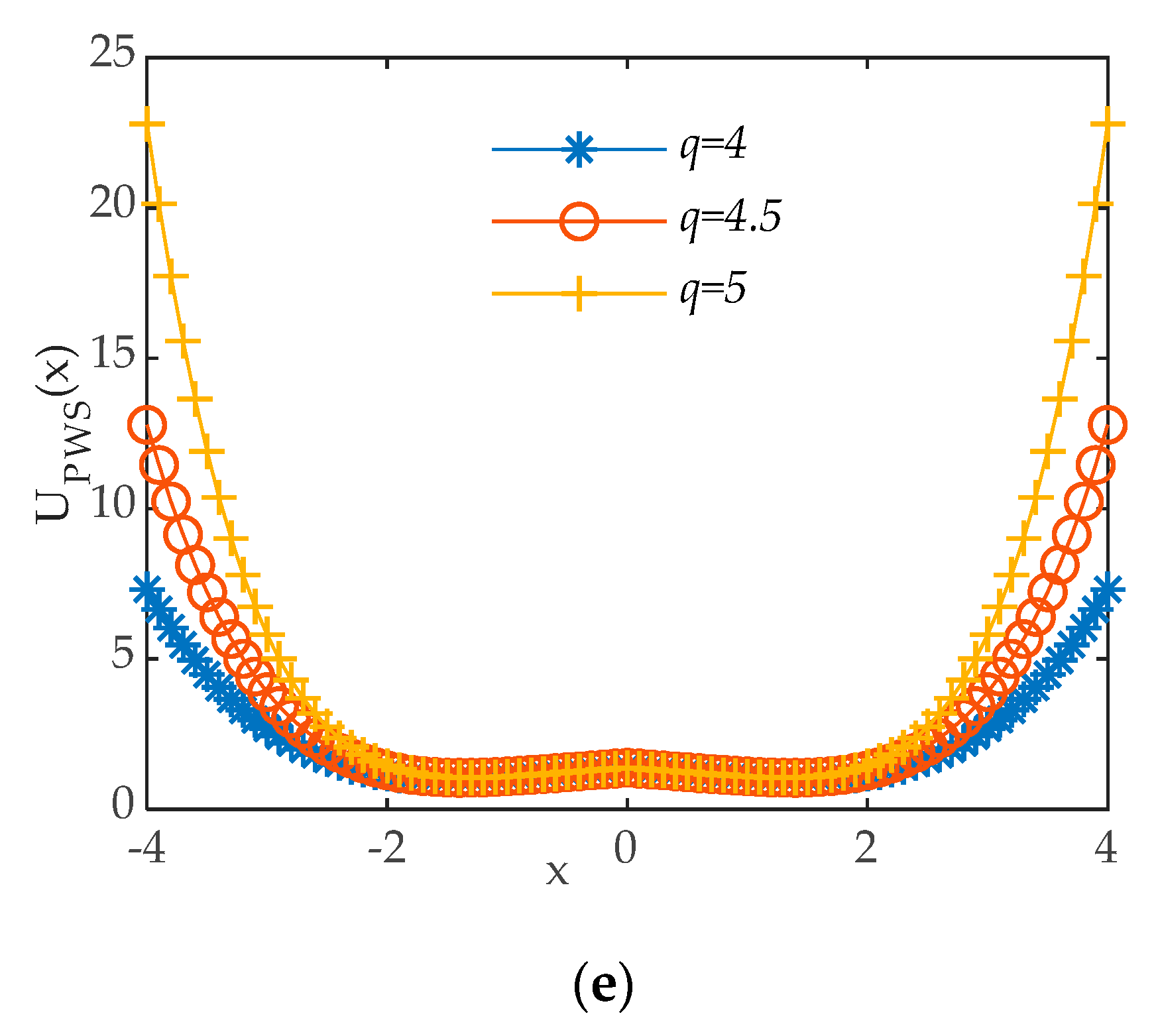
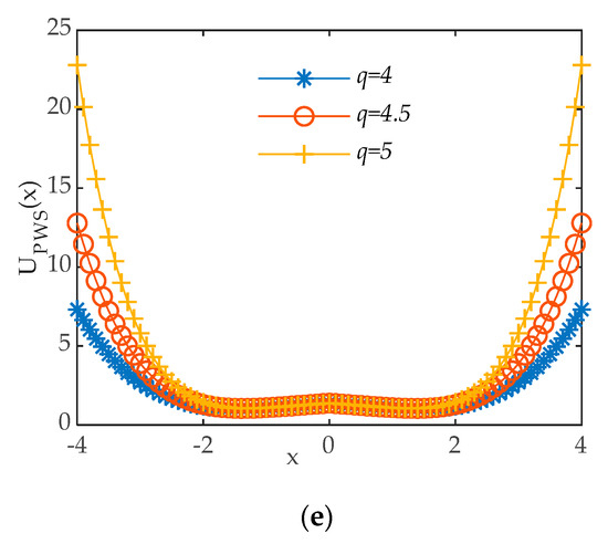
2.1.3. Joint Power Function and Woods-Saxon
2.2. Stochastic Resonance
2.2.1. Classical Stochastic Resonance System
2.2.2. PWS Stochastic Resonance System
2.3. Fourier Decomposition Method
3. Simulated Signal Analysis
4. Experimental Verification
5. Conclusions
Author Contributions
Funding
Acknowledgments
Conflicts of Interest
References
- Wang, J.; Qiao, W.; Qu, L. Wind Turbine Bearing Fault Diagnosis Based on Sparse Representation of Condition Monitoring Signals. IEEE Trans. Ind. Appl. 2019, 55, 1844–1852. [Google Scholar] [CrossRef]
- Koukoura, S.; Carroll, J.; Weiss, S.; McDonald, A. Wind turbine gearbox vibration signal signature and fault development through time. In Proceedings of the 2017 25th European Signal Processing Conference (EUSIPCO), Kos Island, Greece, 28 August–2 September 2017; pp. 1380–1384. [Google Scholar]
- Barbini, L.; Cole, M.O.; Hillis, A.; Du Bois, J.L. Weak signal detection based on two dimensional stochastic resonance. In Proceedings of the 23rd European Signal Processing Conference (EUSIPCO), Nice, France, 31 August–4 September 2015; Institute of Electrical and Electronics Engineers (IEEE): Piscataway, NJ, USA, 2015; pp. 2147–2151. [Google Scholar]
- Yang, C.; Jia, M. A novel weak fault signal detection approach for a rolling bearing using variational mode decomposition and phase space parallel factor analysis. Meas. Sci. Technol. 2019, 30, 115004. [Google Scholar] [CrossRef]
- Lu, S.; Zheng, P.; Liu, Y.; Cao, Z.; Yang, H.; Wang, Q. Sound-aided vibration weak signal enhancement for bearing fault detection by using adaptive stochastic resonance. J. Sound Vib. 2019, 449, 18–29. [Google Scholar] [CrossRef]
- Wang, J.; Xu, M.; Zhang, C.; Huang, B.; Gu, F. Online Bearing Clearance Monitoring Based on an Accurate Vibration Analysis. Energies 2020, 13, 389. [Google Scholar] [CrossRef]
- Fan, Y.; Zhang, C.; Xue, Y.; Wang, J.; Gu, F. A Bearing Fault Diagnosis Using a Support Vector Machine Optimised by the Self-Regulating Particle Swarm. Shock. Vib. 2020, 2020, 9096852. [Google Scholar] [CrossRef]
- Huang, N.E.; Shen, Z.; Long, S.R.; Wu, M.C.; Shih, H.H.; Zheng, Q.; Yen, N.-C.; Tung, C.C.; Liu, H.H. The empirical mode decomposition and the Hilbert spectrum for nonlinear and non-stationary time series analysis. Proc. R. Soc. A Math. Phys. Eng. Sci. 1998, 454, 903–995. [Google Scholar] [CrossRef]
- Wu, Z.; Huang, N.E. A study of the characteristics of white noise using the empirical mode decomposition method. Proc. R. Soc. A: Math. Phys. Eng. Sci. 2004, 460, 1597–1611. [Google Scholar] [CrossRef]
- Wu, Z.; Huang, N.E. Ensemble empirical mode decomposition: a noise-assisted data analysis method. Adv. Adapt. Data Anal. 2009, 1, 1–41. [Google Scholar] [CrossRef]
- McDonald, G.L.; Zhao, Q.; Zuo, M.J. Maximum correlated Kurtosis deconvolution and application on gear tooth chip fault detection. Mech. Syst. Signal. Process. 2012, 33, 237–255. [Google Scholar] [CrossRef]
- Dubey, G.; Dwivedi, R. Rolling Element Bearing Fault Detection Through Adaptive Filtering Wavelet Transform Using Vibration & Current Signals. Int. J. Curr. Eng. Sci. Res. 2016, 3, 22–26. [Google Scholar]
- Liu, F.; Yang, L.; Shi, R. Weak Life Signal Detection Based on Wavelet Transform and Threshold De-noising Theory. Rev. Tec. Fac. Ing. Univ. Zulia 2016, 39, 54–60. [Google Scholar] [CrossRef]
- He, L.-F.; Cao, L.; Zhang, G.; Yi, T. Weak signal detection based on underdamped stochastic resonance with an exponential bistable potential. Chin. J. Phys. 2018, 56, 1588–1598. [Google Scholar] [CrossRef]
- Benzi, R.; Parisi, G.; Sutera, A.; Vulpiani, A. A Theory of Stochastic Resonance in Climatic Change. SIAM J. Appl. Math. 1983, 43, 565–578. [Google Scholar] [CrossRef]
- Benzi, R.; Parisi, G.; Sutera, A.; Vulpiani, A. Stochastic resonance in climate change. Tellus 2010, 34, 10–16. [Google Scholar]
- Kojima, N.; Lamsal, B.; Matsumoto, N.; Yamashiro, M. Proposing autotuning image enhancement method using stochastic resonance. Electron. Commun. Jpn. 2019, 102, 1–12. [Google Scholar] [CrossRef]
- Niu, S.-Y.; Guo, L.-Z.; Li, Y. Boundary-Preserved Deep Denoising of the Stochastic Resonance Enhanced Multiphoton Images. arXiv 2019, arXiv:1904.06329. [Google Scholar]
- Gu, X.; Chen, C. Adaptive parameter-matching method of SR algorithm for fault diagnosis of wind turbine bearing. J. Mech. Sci. Technol. 2019, 33, 1007–1018. [Google Scholar] [CrossRef]
- Zhang, J.; Yang, J.-H.; Litak, G.; Hu, E. Feature extraction under bounded noise background and its application in low speed bearing fault diagnosis. J. Mech. Sci. Technol. 2019, 33, 3193–3204. [Google Scholar] [CrossRef]
- Chi, K.; Kang, J.; Zhang, X.; Zhao, F. Effect of scale-varying fractional-order stochastic resonance by simulation and its application in bearing diagnosis. Int. J. Model. Simul. Sci. Comput. 2019, 10, 1–21. [Google Scholar] [CrossRef]
- He, D.; Chen, X.; Pei, L.; Jiang, L.; Yu, W. Improvement of Noise Uncertainty and Signal-To-Noise Ratio Wall in Spectrum Sensing Based on Optimal Stochastic Resonance. Sensors 2019, 19, 841. [Google Scholar] [CrossRef]
- Tadokoro, Y.; Tanaka, H.; Nakashima, Y.; Yamazato, T.; Arai, S. Enhancing a BPSK receiver by employing a practical parallel network with Stochastic resonance. Nonlinear Theory Appl. IEICE 2019, 10, 106–114. [Google Scholar] [CrossRef]
- Jiang, X.; Diao, M.; Qu, S. Signal Detection Algorithm Design Based on Stochastic Resonance Technology Under Low Signal-to-Noise Ratio. J. Shanghai Jiaotong Univ. 2019, 24, 328–334. [Google Scholar] [CrossRef]
- Yao, Y.; Yang, L.; Wang, C.; Liu, Q.; Gui, R.; Xiong, J.; Yi, M. Subthreshold Periodic Signal Detection by Bounded Noise-Induced Resonance in the FitzHugh–Nagumo Neuron. Complexity 2018, 2018, 5632650. [Google Scholar] [CrossRef]
- Fan, S.; Wang, T.; Leng, Y.; Wang, W. Detection of Weak Periodic Impact Signals Based on Scale Transformation Stochastic Resonance. China Mech. Eng. 2006, 17, 387–390. [Google Scholar]
- Tan, J.; Chen, X.; Wang, J.; Chen, H.; Cao, H.; Zi, Y.; He, Z. Study of frequency-shifted and re-scaling stochastic resonance and its application to fault diagnosis. Mech. Syst. Signal. Process. 2009, 23, 811–822. [Google Scholar] [CrossRef]
- Kumar, S.; Jha, R.K. Noise-Induced Resonance and Particle Swarm Optimization-Based Weak Signal Detection. Circuits Syst. Signal. Process. 2018, 38, 2677–2702. [Google Scholar] [CrossRef]
- He, L.; Hu, D.; Zhang, G.; Lu, S. Stochastic resonance in asymmetric time-delayed bistable system under multiplicative and additive noise and its applications in bearing fault detection. Mod. Phys. Lett. B 2019, 33, 1950341. [Google Scholar] [CrossRef]
- Hu, B.; Guo, C.; Wu, J.; Tang, J.; Zhang, J.; Wang, Y. An Adaptive Periodical Stochastic Resonance Method Based on the Grey Wolf Optimizer Algorithm and Its Application in Rolling Bearing Fault Diagnosis. J. Vib. Acoust. 2019, 141, 041016-30. [Google Scholar] [CrossRef]
- Tang, J.; Shi, B.; Li, Z. Asymmetric delay feedback stochastic resonance detection method based on prior knowledge particle swarm optimization. Chin. J. Phys. 2018, 56, 2104–2118. [Google Scholar] [CrossRef]
- Zhe, J.; Li, G.; Zhang, R. Stochastic Resonance Based on Quantum Genetic Algorithm and Applications in Weak Signal Detection; Atlantis Press: Shenyang, China, 2015; pp. 2120–2124. [Google Scholar]
- YuanDong, J.; Lu, Z.; MaoKang, L. Generalized stochastic resonance of power function type single-well system. Acta Phys. Sin. 2014, 63, 242–252. [Google Scholar]
- Tang, R. A New Second-Order Bistable Adaptive Stochastic Resonance Noise Reduction Method; Atlantis Press: Shenyang, China, 2018; pp. 121–125. [Google Scholar]
- Chen, Z.; Ning, L.J. Impact of depth and location of the wells on vibrational resonance in a triple-well system. Pramana 2018, 90, 49. [Google Scholar] [CrossRef]
- Liu, Y.; Wang, F.; Liu, L.; Zhu, Y. Symmetry tristable stochastic resonance induced by parameter under levy noise background. Eur. Phys. J. B 2019, 92, 161–168. [Google Scholar] [CrossRef]
- Lu, L.; Yuan, Y.; Wang, H.; Zhao, X.; Zheng, J. A New Second-Order Tristable Stochastic Resonance Method for Fault Diagnosis. Symmetry 2019, 11, 965. [Google Scholar] [CrossRef]
- Jialei, D. Study on incipient fault diagnosis of machinery based on piecewise linearity and unsaturated stochastic resonance. China Meas. Test. Technol. 2017, 43, 106–112. [Google Scholar]
- Woods, R.D.; Saxon, D.S. Diffuse Surface Optical Model for Nucleon-Nuclei Scattering. Phys. Rev. 1954, 95, 577–578. [Google Scholar] [CrossRef]
- Singh, P.; Joshi, S.D.; Patney, R.K.; Saha, K. The Fourier decomposition method for nonlinear and non-stationary time series analysis. Proc. R. Soc. A Math. Phys. Eng. Sci. 2017, 473, 20160871. [Google Scholar] [CrossRef]
- Jiang, X.; Li, S. BAS: Beetle Antennae Search Algorithm for Optimization Problems. Int. J. Robot. Control. 2018, 1, 1. [Google Scholar] [CrossRef]
- Li, H. Weak Fault Enhancement Method for Blade Crack by Using Stochastic Resonance. Chin. J. Mech. Eng. 2016, 52, 94–101. [Google Scholar] [CrossRef]
- Strömbergsson, D.; Marklund, P.; Berglund, K.; Larsson, P. Bearing monitoring in the wind turbine drivetrain: A comparative study of the FFT and wavelet transforms. Wind. Energy 2020, 23, 1381–1393. [Google Scholar] [CrossRef]



















Publisher’s Note: MDPI stays neutral with regard to jurisdictional claims in published maps and institutional affiliations. |
© 2020 by the authors. Licensee MDPI, Basel, Switzerland. This article is an open access article distributed under the terms and conditions of the Creative Commons Attribution (CC BY) license (http://creativecommons.org/licenses/by/4.0/).
Share and Cite
Zhang, C.; Duan, H.; Xue, Y.; Zhang, B.; Fan, B.; Wang, J.; Gu, F. The Enhancement of Weak Bearing Fault Signatures by Stochastic Resonance with a Novel Potential Function. Energies 2020, 13, 6348. https://doi.org/10.3390/en13236348
Zhang C, Duan H, Xue Y, Zhang B, Fan B, Wang J, Gu F. The Enhancement of Weak Bearing Fault Signatures by Stochastic Resonance with a Novel Potential Function. Energies. 2020; 13(23):6348. https://doi.org/10.3390/en13236348
Chicago/Turabian StyleZhang, Chao, Haoran Duan, Yu Xue, Biao Zhang, Bin Fan, Jianguo Wang, and Fengshou Gu. 2020. "The Enhancement of Weak Bearing Fault Signatures by Stochastic Resonance with a Novel Potential Function" Energies 13, no. 23: 6348. https://doi.org/10.3390/en13236348
APA StyleZhang, C., Duan, H., Xue, Y., Zhang, B., Fan, B., Wang, J., & Gu, F. (2020). The Enhancement of Weak Bearing Fault Signatures by Stochastic Resonance with a Novel Potential Function. Energies, 13(23), 6348. https://doi.org/10.3390/en13236348

