Emission and Neutralization of Methane from a Municipal Landfill-Parametric Analysis
Abstract
1. Introduction
2. Materials and Methods
2.1. Case Study Description
2.2. Research on the Morphological Composition of Waste
- mw—mass of the individual waste components,
- m—mass of the sample collected for examination.
2.3. Measurements of Landfill Gas
2.4. Model of Emission and Production of CH4 in a Landfill
- —potential CH4 production [GgCH4/Gg waste],
- MCF-CH4—correction factor (depending on the type of landfill),
- DOCF—fraction of carbon that eventually undergoes decomposition,
- F-CH4—content by volume in the landfill gas,
- DOC—carbon content in the biodegradable organic in a given year [GgC/Gg of waste].
- A—waste such as paper, cardboard and textiles,
- B—waste from parks, gardens and other organic waste, excluding food,
- C—food waste,
- D—wood and straw waste.
- —potential volume of CH4 emission [Gg·y−1],
- —total mass of municipal waste deposited in the landfill over a year [Gg],
- —a part of municipal waste collected from the landfill [Gg·y−1],
- R—the volume of CH4 from the landfill, recovered and neutralized in the landfill [Gg·y−1],
- OX-CH4—oxidation index in soil or in the material covering the waste.
3. Results
- MCF-CH4 correction factor (depending on the type of landfill); the value was adopted at 1. Following the IPCC guidelines, it is recommended that, for organized landfills with sealing and a waste transfer system, waste is thickened with a compactor,
- —carbon fraction, which ultimately undergoes decomposition; the value 0.5 (weight fraction) was adopted following the IPCC recommendations,
- F—volumetric content of CH4 in the landfill gas; the value adopted on the basis of actual measurements as an annual average, amounting to 44.69%—i.e., 0.447,
- DOC—carbon content in the biodegradable organic part of the landfilled waste in a given year was calculated as follows:
- —total mass of municipal waste deposited in the landfill during the year based on operational data; adopted at 31.21 [Gg],
- —the waste collected or extracted from the landfill; 0 was adopted since such a case did not occur,
- R—the amount of CH4 generated in the landfill and neutralized in a collective flare based on the measurements; value of 0.1253 [Gg·y−1] was adopted,
- OX-CH4 oxidation index in the soil or in the material covering the waste, which reflects the amount of CH4 oxidized in the soil or in other material covering the waste. For surface-sealed landfills with a material enabling the migration of oxygen (e.g., soil, compost); set at 0.1 according to the IPCC guidelines.
- —the efficiency of passive degassing installation [%],
- —potential CH4 production 561.78 [MgCH4·y−1],
- —estimated CH4 emission from the landfill 393.1 [MgCH4·y−1],
- —CH4 oxidized in the soil 43.38 [MgCH4·y−1],
4. Discussion
5. Conclusions and Recommendations
Author Contributions
Funding
Acknowledgments
Conflicts of Interest
References
- UN. The Sustainable Development Goals Report. Available online: https://unstats.un.org/sdgs/report/2019/The-Sustainable-Development-Goals-Report-2019.pdf (accessed on 21 November 2020).
- Morrissey, A.J.; Browne, J. Waste management models and their application to sustainable waste management. Waste Manag. 2004, 24, 297–308. [Google Scholar] [CrossRef] [PubMed]
- Pleissner, D.; Demichelis, F.; Mariano, S.; Fiore, S.; Navarro Gutiérrez, I.M.; Schneider, R.; Venus, J. Direct production of lactic acid based on simultaneous saccharification and fermentation of mixed restaurant food waste. J. Clean. Prod. 2017, 143, 615–623. [Google Scholar] [CrossRef]
- Wojnicz, M.; Anielak, A.M. Kinetics of dairy wastewater treatment in the SBR system. Arch. Environ. Prot. 2010, 36, 27–37. [Google Scholar]
- Pavlas, M.; Dvořáček, J.; Pitschke, T.; Peche, R. Biowaste Treatment and waste-to-energy—Environmental benefits. Energies 2020, 13, 1994. [Google Scholar] [CrossRef]
- Ng, K.S.; Yang, A.; Yakovleva, N. Sustainable waste management through synergistic utilisation of commercial and domestic organic waste for efficient resource recovery and valorisation in the UK. J. Clean. Prod. 2009, 227, 248–262. [Google Scholar] [CrossRef]
- Indrawan, N.; Simkins, B.; Kumar, A.; Huhnke, R.L. Economics of distributed power generation via gasification of biomass and municipal solid waste. Energies 2020, 13, 3703. [Google Scholar] [CrossRef]
- Ferrer-Martí, L.; Ferrer, I.; Sánchez, E.; Garfí, M. A multi-criteria decision support tool for the assessment of household biogas digester programmes in rural areas. A case study in Peru. Renew. Sustain. Energy Rev. 2018, 95, 74–83. [Google Scholar]
- López-Gómez, J.P.; Alexandri, M.; Schneider, M.; Latorre-Sánchez, M.; Lozano, C.C.; Venus, J. Organic fraction of municipal solid waste for the production of L-lactic acid with high optical purity. J. Clean. Prod. 2019, 247, 119165–119173. [Google Scholar] [CrossRef]
- Vlachokostas, C.; Achillas, C.; Agnantiaris, I.; Michailidou, A.V.; Pallas, C.; Feleki, E.; Moussiopoulos, N. Decision support system to implement units of alternative biowaste treatment for producing bioenergy and boosting local bioeconomy. Energies 2020, 13, 2306. [Google Scholar] [CrossRef]
- Ryu, C.; Shin, D. Combined heat and power from municipal solid waste: Current status and issues in South Korea. Energies 2013, 6, 45. [Google Scholar] [CrossRef]
- Lokesh, K.; Ladu, L.; Summerton, L. Bridging the gaps for a ‘circular’ bioeconomy: Selection criteria, bio-Based value chain and stakeholder mapping. Sustainability 2018, 10, 1695. [Google Scholar] [CrossRef]
- Anielak, A.M.; Piecuch, T. Comparison of dewatering with pressure filtration and centrifugal filtration. Chem. Technik. 1987, 39, 101–103. [Google Scholar]
- Liikanen, M.; Havukainen, J.; Viana, E.; Horttanainen, M. Steps towards more environmentally sustainable municipal solid waste management—A life cycle assessment study of São Paulo, Brazil. J. Clean. Prod. 2018, 196, 150–162. [Google Scholar] [CrossRef]
- Połomka, J.; Jędrczak, A. RDF from compost-like-output’s produced in the MBT installation in the case of Marszów, Poland. Energies 2020, 13, 4353. [Google Scholar] [CrossRef]
- Mazzanti, M.; Zoboli, R. Municipal waste Kuznets curves: Evidence on socio-economic drivers and policy effectiveness from the EU. Environ. Resour. Econ. 2009, 44, 203–230. [Google Scholar] [CrossRef]
- Przydatek, G. Multi-indicator analysis of the influence of old municipal landfill sites on the aquatic environment: Case study. Environ. Monit. Assess. 2019, 191, 773–792. [Google Scholar] [CrossRef]
- Rybicki, S.M.; Wiewiórska, I. Minimizing the concentration of aluminum in tap water after coagulation. Przemysł Chem. 2017, 96, 1719–1722. [Google Scholar]
- Wysowska, E.; Kudlik, K.; Kicińska, A. Bacteriological health threats to water in home wells. Arch. Environ. Prot. 2020, 46, 21–34. [Google Scholar]
- Wysowska, E.; Kicińska, A.; Nikiel, G. Analysis of natural vulnerability of groundwater intakes to migration of surface pollutants based on a selected part of the Dunajec river basin. Pol. J. Environ. Stud. 2020, 29, 2925–2934. [Google Scholar] [CrossRef]
- Spyridi, D.; Vlachokostas, C.; Michailidou, A.V.; Sioutas, C.; Moussiopoulos, N. Strategic planning for climate change mitigation and adaptation: The case of Greece. Int. J. Clim. Chang Strateg. Manag. 2015, 7, 272–289. [Google Scholar] [CrossRef]
- Brindley, T. Landfill Gas—Industry Code of Practice: The Management of Landfill Gas; Environment Services Association: London, UK, 2012; Available online: http://www.esauk.org/reports_press_releases/esa_reports/LandfillgasICoP2012web.pdf (accessed on 16 August 2020).
- Smol, M.; Avdiushchenko, A.; Kulczycka, J.; Nowaczek, A. Public awareness of circular economy in southern Poland: Case of the Malpolska region. J. Clean. Prod. 2018, 197, 1035–1045. [Google Scholar] [CrossRef]
- Lee, U.; Han, J.; Wang, M. Evaluation of landfill gas emissions from municipal solid waste landfills for the life-cycle analysis of waste-to-energy pathways. J. Clean. Prod. 2017, 166, 335–342. [Google Scholar] [CrossRef]
- Hoo, P.Y.; Hashim, H.; Ho, W.S. Opportunities and challenges: Landfill gas to bioCH4 injection into natural gas distribution grid through pipeline. J. Clean. Prod. 2018, 175, 409–419. [Google Scholar] [CrossRef]
- Themelis, N.J.; Ulloa, P.A. CH4 generation in landfills. Renew. Energy 2007, 32, 1243–1257. [Google Scholar] [CrossRef]
- Winquist, E.; Rikkonen, P.; Pyysiäinen, J.; Varho, V. Is biogas an energy or a sustainability product?—Business opportunities in the Finnish biogas branch. J. Clean. Prod. 2019, 233, 1344–1354. [Google Scholar] [CrossRef]
- Smol, M.; Włodarczyk-Makuła, M.; Skowron-Grabowska, B. PAHs removal from municipal landfill leachate using integrated membrane system aspect of legal regulation. Desalin. Water Treat. 2017, 69, 335–343. [Google Scholar] [CrossRef]
- Ciuła, J.; Gaska, K.; Iljuczonek, Ł.; Generowicz, A.; Koval, V. Energy efficiency economics of conversion of biogas from the fermentation of sewage sludge to bioCH4 as a fuel for automotive vehicles. ACEE Archit. Civ. Eng. Environ. 2019, 12, 131–140. [Google Scholar]
- Barbusiński, K.; Kalemba, K. Use of biological methods for removal of H2S from biogas in wastewater treatment plants—A review. ACEE Archit. Civ. Eng. Environ. 2016, 9, 103–111. [Google Scholar] [CrossRef]
- Turner, D.A.; Williams, I.D.; Kemp, S. Combined material flow analysis and life cycle assessment as a support tool for solid waste management decision making. J. Clean. Prod. 2016, 129, 234–248. [Google Scholar] [CrossRef]
- Olejnik, T.P.; Sobiecka, E. Utilitarian technological solutions to reduce CO2 emission in the aspect of sustainable development. Probl. Ekorozw. Probl. Sustain. Dev. 2017, 12, 173–179. [Google Scholar]
- Boltze, U.; de Freitas, M.H. Monitoring gas emissions from landfill sites. Waste Manag. Res. 1997, 15, 463–476. [Google Scholar] [CrossRef]
- Ljungberg, S.A.; Meijer, J.E.; Rosqvint, H.; Martenss, S.G. Rapport SGS 204. Detection and quantification of CH4 from landfills leakage from landfills. Sven. Gasteklniskt Center 2009, 204, 1102–7371. [Google Scholar]
- Spokas, K.; Bogner, J.; Chanton, J.P.; Morcet, M.; Aran, C.; Graff, C.; Moreau, Y.; Hebe, I. CH4 mass balance at three landfill sites: What is the efficiency of capture by gas collection systems? Waste Manag. 2006, 26, 516–525. [Google Scholar] [CrossRef] [PubMed]
- Raco, B.; Battaglini, R.; Lell, M. Gas emission into the atmosphere from controlled landfills:an example from Legoli landfill (Tuscany, Italy). Environ. Sci. Pollut. Res. 2010, 17, 1197–1206. [Google Scholar] [CrossRef]
- Di Maria, F.; Sordi, A.; Micale, C. Experimental and life cycle assessment analysis of gas emission from mechanically–biologically pretreated waste in a landfill with energy recovery. Waste Manag. 2013, 33, 2557–2576. [Google Scholar] [CrossRef]
- TIBCOI Software Inc. Statistica; Version 13.3; TIBCOI Software Inc.: Palo Alto, CA, USA, 2017. [Google Scholar]
- IPCC Guidelines for National Greenhouse Gas Inventories 2006, 5 (Waste). 2006. Available online: https://www.ipcc-nggip.iges.or.jp/public/2006gl/vol5.html (accessed on 2 September 2020).
- Dimishkovska, B.; Berisha, A.; Lisichkov, K. Estimation of CH4 emissions from Mirash municipal solid waste sanitary landfill, Differences between IPPC 2006 and LandGEM Method. J. Ecol. Eng. 2019, 20, 35–41. [Google Scholar] [CrossRef]
- Börjesson, G.; Samuelsson, J.; Chanton, J.; Adolfsson, R.; Galle, B.; Svensson, B. A national landfill CH4 budget for Sweden based onfield measurements, and an evaluation of IPCC models. Tellus B Chem. Phys. Meteorol. 2009, 61, 424–435. [Google Scholar] [CrossRef]
- Joe, H.; Ward, J.H., Jr. Hierarchical grouping to optimize an objective function. J. Amer. Statist. Assoc. 1963, 58, 236–244. [Google Scholar]
- Jigar, E.; Bairu, A.; Gesessew, A. Application of IPCC model for estimation of CH4 from municipal solid waste landfill. J. Environ. Sci. Water Res. 2014, 3, 52–58. [Google Scholar]
- Rolewicz-Kalińska, A.; Lelicińska-Serafin, K.; Manczarski, P. The circular economy and organic fraction of municipal solid waste recycling strategies. Energies 2020, 13, 4366. [Google Scholar] [CrossRef]
- Scaglia, B.; Confalonieri, R.; D’Imporzano, G.; Adani, G. Estimating biogas production of biologically treated municipal solid waste. Bioresour. Technol. 2010, 101, 945–995. [Google Scholar] [CrossRef] [PubMed]
- Przydatek, G.; Ciągło, K. Assessment of the variability of the landfill gas composition captured on a used landfill. In Renewable Energy Sources: Engineering, Technology, Innovation; Wróbel, M., Jewiarz, M., Szlęk, A., Eds.; Springer Proceedings in Energy; Springer: Cham, Switzerland, 2020; pp. 775–785. [Google Scholar]
- Nastev, M.; Therrien, R.; Lefebvre, R.; Gelinas, P. Gas production and migration in landfills and geological materials. J. Contam. Hydrol. 2001, 52, 187–211. [Google Scholar] [CrossRef]
- Frasi, N.; Rossi, E.; Pecorini, I.; Iannelli, R. Methane oxidation efficiency in biofiltration systems with different moisture content treating diluted landfill gas. Energies 2020, 13, 2872. [Google Scholar] [CrossRef]
- Beylot, A.; Villeneuve, J.; Bellenfant, G. Life cycle assessment of landfill biogas management: Sensitivity to diffuse and combustion air emissions. Waste Manag. 2013, 33, 401–411. [Google Scholar] [CrossRef] [PubMed]
- Han, D.; Kim, Y.; Cho, W.; Baek, Y. Effect of oxidants on syngas synthesis from biogas over 3 wt % Ni-Ce-MgO-ZrO2/Al2O3 catalyst. Energies 2020, 13, 297. [Google Scholar] [CrossRef]
- Scheutz, C.; Kjeldsen, P.; Bogner, J.E.; De Visscher, A.; Gebert, J.; Hilger, H.A.; Huber-Humer, M.; Spokas, K. Microbial CH4 oxidation processes and technologies for mitigation of landfill gas emissions. Waste Manag. Res. 2009, 27, 409–455. [Google Scholar] [CrossRef]
- Barański, A.; Bojanowicz-Bablok, A. Estimating the externalities of CH4 emission from municipal solid waste landfill: A case study. Environ. Prot. Nat. Res. 2014, 25, 11–16. [Google Scholar]
- Kallistova, A.; Yu, M.V.; Kevbrina, M.V.; Nekrasova, V.K.; Glagole, M.V.; Serebryanaya, M.I.; Nozhevnikova, A.N. CH4 oxidation in landfill cover soil. Microbiology 2005, 74, 608–614. [Google Scholar] [CrossRef]
- Eklund, B.; Anderson, E.G.; Walker, B.I.; Burrows, D.B. Characterization of landfill gas composition at the fresh kills municipal solid-waste landfill. Environ. Sci. Technol. 1998, 32, 2233–2237. [Google Scholar] [CrossRef]
- Young, A. The effects of fluctuations in atmospheric pressure on landfill gas migration and composition. Water Air Soil Pollut. 1992, 64, 601–616. [Google Scholar] [CrossRef]
- Vakalis, S.; Moustakas, K. Applications of the 3T method and the R1 formula as efficiency assessment tools for comparing waste-to-energy and landfilling. Energies 2019, 12, 1066. [Google Scholar] [CrossRef]
- Pehme, K.M.; Orupõld, K.; Kuusemets, V.; Tamm, O.; Jani, Y.; Tamm, T.; Kriipsalu, M. Field study on the efficiency of a methane degradation layer composed of fine fraction soil from landfill mining. Sustainability 2020, 12, 6209. [Google Scholar] [CrossRef]
- Willis, J.; Checkel, D.; Handford, D.; Shah, A.; Joiner, M. Flare Efficiency Estimator and Case Studies; Water Environment Research Foundation: Alexandria, VA, USA, 2013. [Google Scholar]
- Bour, O.; Zdanevitch, I.; Huyard, A.; Akerman, A.; Lacour, G.; Chassagnac, T. Passive biomitigation of diff use landfill gas emissions on 12 French landfills: Return of experience on design criteria used. In Proceedings of the 15th International Waste Management and Landfill Symposium, Sardinia, Italy, 5–9 October 2015. [Google Scholar]
- Mou, Z.; Scheutz, C.; Kjeldsen, P. Evaluation and application of site-specific data to revise the first-order decay model for estimating landfill gas generation and emissions at Danish landfills. J. Air Waste Manag. Assoc. 2014, 65, 686–698. [Google Scholar] [CrossRef] [PubMed]
- Mohsen, R.A.; Abbassi, B. Prediction of greenhouse gas emissions from Ontario’s solid waste landfills using fuzzy logic based model. Waste Manag. 2020, 102, 743–750. [Google Scholar] [CrossRef] [PubMed]
- Bogner, J.; Matthews, M. Global CH4 emissions from landfills: New methodology and annual estimates 1980–1996. Glob. Biogeochem. Cycles 2003, 17, 1065–1083. [Google Scholar] [CrossRef]
- Barlaz, M.A.; Jeff, P.; Chanton, J.P.; Green, R.B. Controls on landfill gas collection efficiency: Instantaneous and lifetime performance. J. Air Waste Manag. Assoc. 2009, 59, 1399–1404. [Google Scholar] [CrossRef] [PubMed]







| No. | Component Name of Waste Fraction | Characteristics of Component | Content of Individual Components, % |
|---|---|---|---|
| 1. | Fraction < 10 mm | Remains from the mechanical treatment of waste | 39.3 |
| 2. | Food waste of plant origin | Remains of plant substances generated during meal preparation | 3.1 |
| 3. | Paper and cardboard waste | Remains of paper and cardboard products | 6.6 |
| 4. | Plastic waste | Remains of plastic products | 13.1 |
| 5. | Textile waste | Remains of products made of wool, cotton, linen and chemical fibers | 4.8 |
| 6. | Glass waste | Remains of glass products and glass cullet | 7.5 |
| 7. | Metal waste | Remains of products made from all types of metal and metal scrap | 0.5 |
| 8. | Other organic waste | Organic waste remaining after the selection of components 1 ÷ 5 | 6.3 |
| 9. | Mineral waste | Mineral waste remaining after the selection of components 5 ÷ 6 | 18.8 |
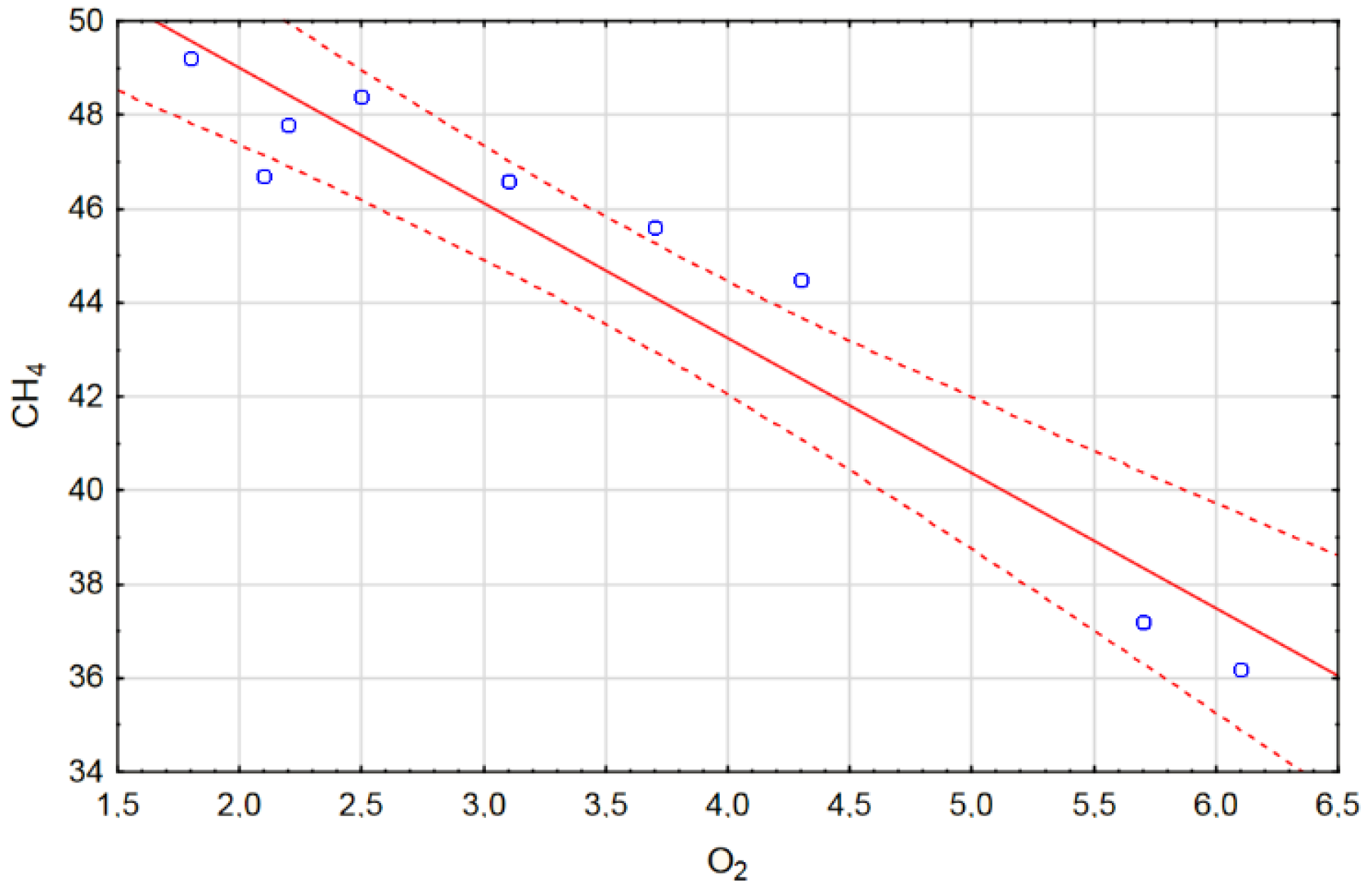
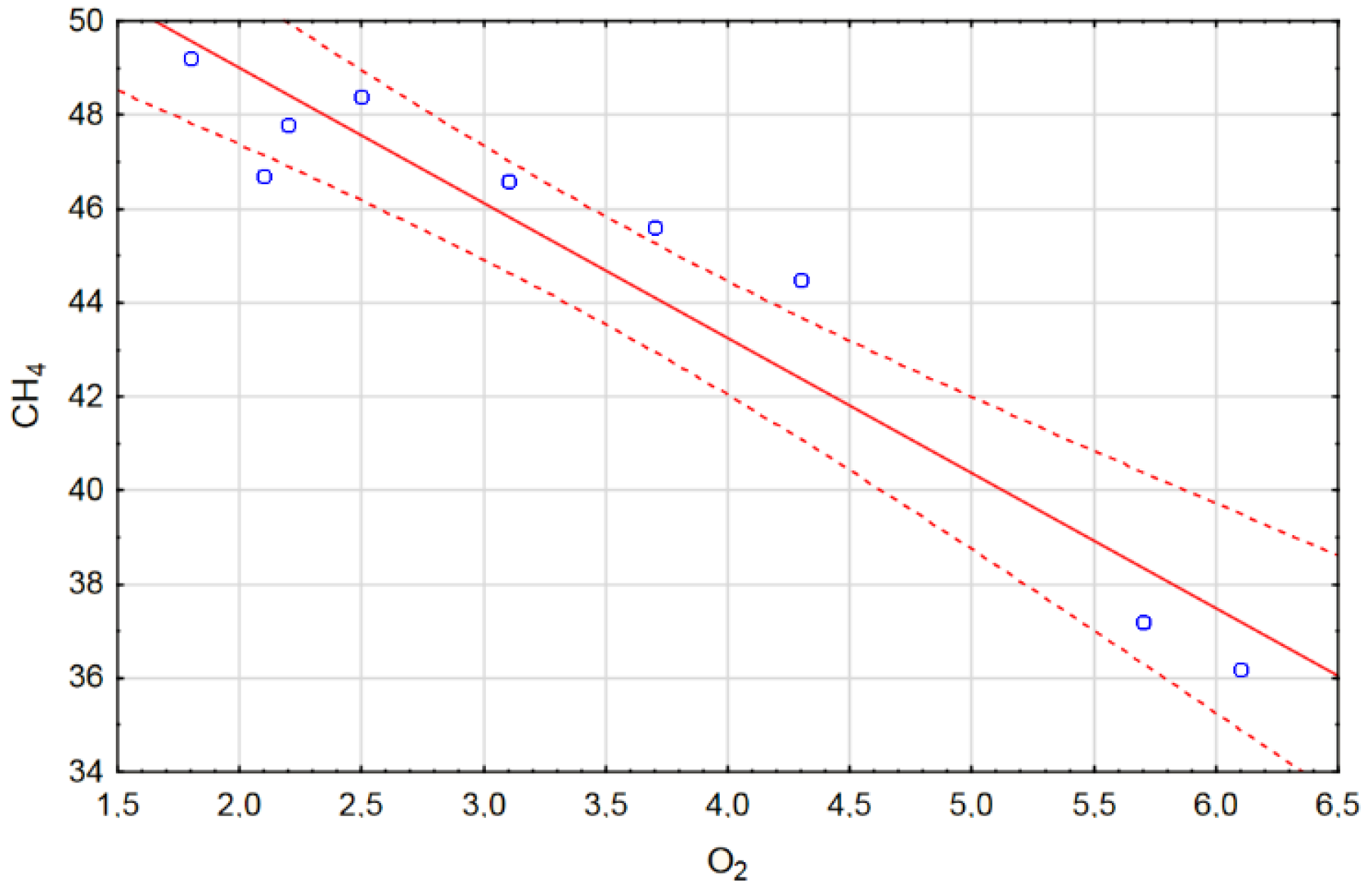
| Number of Well/Flare | Percentage Content of Individual Parameters in Biogas | Stream of Biogas Volume in the Flare | Biogas Neutralized in the Flare | CH4 Neutralized in the Flare | Annual Volume of Neutralized CH4 in the Flare | |||
|---|---|---|---|---|---|---|---|---|
| CH4 | CO2 | O2 | N2 | (Nm3·h−1) | (Nm3·y−1) | (kg·h−1) | (Mg·y−1) | |
| SO1 | 49.2 | 34.5 | 1.8 | 14.1 | 6.2 | 54,312 | 2.20 | 19.24 |
| SO2 | 46.6 | 29.8 | 3.1 | 20.3 | 5.4 | 47,304 | 1.81 | 15.87 |
| SO3 | 45.6 | 25.2 | 3.7 | 24.8 | 4.3 | 37,668 | 1.77 | 15.53 |
| SO4 | 44.5 | 28.2 | 4.3 | 22.5 | 4.5 | 39,420 | 1.44 | 12.63 |
| SO5 | 48.4 | 33.2 | 2.5 | 15.6 | 5.2 | 45,552 | 1.81 | 15.87 |
| SO6 | 46.7 | 31.2 | 2.1 | 19.5 | 5.2 | 45,552 | 1.75 | 15.32 |
| SO7 | 37.2 | 25.3 | 5.7 | 31.4 | 4.6 | 40,296 | 1.23 | 10.79 |
| SO8 | 36.2 | 24.3 | 6.1 | 32.8 | 3.1 | 27,156 | 0.81 | 7.08 |
| SO9 | 47.8 | 31.3 | 2.2 | 18.3 | 4.3 | 37,668 | 1.48 | 12.96 |
| Waste Category | Waste Type | Value |
|---|---|---|
| A—paper and textiles | Remains of products made of paper, cardboard and textiles | 0.114 |
| B—organic waste except for food | Organic waste from parks and gardens | 0.063 |
| C—waste made up of food | Remains of plant substances generated during preparation of meals | 0.031 |
| D—wood and straw | Not found | 0 |
Publisher’s Note: MDPI stays neutral with regard to jurisdictional claims in published maps and institutional affiliations. |
© 2020 by the authors. Licensee MDPI, Basel, Switzerland. This article is an open access article distributed under the terms and conditions of the Creative Commons Attribution (CC BY) license (http://creativecommons.org/licenses/by/4.0/).
Share and Cite
Ciuła, J.; Kozik, V.; Generowicz, A.; Gaska, K.; Bak, A.; Paździor, M.; Barbusiński, K. Emission and Neutralization of Methane from a Municipal Landfill-Parametric Analysis. Energies 2020, 13, 6254. https://doi.org/10.3390/en13236254
Ciuła J, Kozik V, Generowicz A, Gaska K, Bak A, Paździor M, Barbusiński K. Emission and Neutralization of Methane from a Municipal Landfill-Parametric Analysis. Energies. 2020; 13(23):6254. https://doi.org/10.3390/en13236254
Chicago/Turabian StyleCiuła, Józef, Violetta Kozik, Agnieszka Generowicz, Krzysztof Gaska, Andrzej Bak, Marlena Paździor, and Krzysztof Barbusiński. 2020. "Emission and Neutralization of Methane from a Municipal Landfill-Parametric Analysis" Energies 13, no. 23: 6254. https://doi.org/10.3390/en13236254
APA StyleCiuła, J., Kozik, V., Generowicz, A., Gaska, K., Bak, A., Paździor, M., & Barbusiński, K. (2020). Emission and Neutralization of Methane from a Municipal Landfill-Parametric Analysis. Energies, 13(23), 6254. https://doi.org/10.3390/en13236254

