Abstract
In this paper, a deep learning-based successive interference cancellation (SIC) scheme for use in nonorthogonal multiple access (NOMA) communication systems is investigated. NOMA has become a notable technique in the field of mobile wireless communication because of its capacity to overcome orthogonality, unlike a conventional orthogonal frequency division multiple access (OFDMA) communication system. In NOMA communication systems, SIC is one of the decoding schemes applied at receivers for downlink NOMA transmissions. In this paper, a convolutional neural network (CNN)-based SIC scheme is proposed to improve performance of the single base station and multiuser NOMA scheme. In contrast to existing SIC schemes, the proposed CNN-based SIC scheme can effectively mitigate losses resulting from imperfections of the SIC. The simulation results indicate that the CNN-based SIC method can successfully relieve conventional SIC impairments and achieve good detection performance. Consequently, a CNN-based SIC scheme can be considered as a potential technique for use in NOMA detection schemes.
1. Introduction
Since the nonorthogonal multiple access (NOMA) system was proposed, related issues have been actively studied. Through 5G and 6G communication systems, NOMA can improve the quality of wireless mobile systems [1]. In this paper, the power-domain NOMA system is considered with regard to its capacity to distribute signals through power allocation according to channel state information (CSI). The conventional power-domain NOMA communication systems have successive interference cancellation (SIC) schemes for decoding nonorthogonal signals. In the downlink communication of NOMA, the transmitted signal from the base station (BS) is a multiplexed superposition signal with power allocation which depends on CSI. In power-domain NOMA, the BS transmits signals with low power allocation to users with strong channel states and vice versa. The users in the NOMA process select the maximum correlation to decode the strongest signal and subtract it from the received signal, then iterate until the user can decode the desired information [2].
Conventional research in wireless communication systems has focused on minimizing computation costs resulting from limitations in computation [3]. Recently, however, with the improvement of the computational performance of wireless systems, several studies have proposed to optimize the NOMA system through deep learning [4]. In J. Luo and M. Liu et al. [5,6], a supervised deep belief network system and unsupervised recurrent neural network system were proposed for resource allocation of the BS, respectively. In G. Gui et al. [7], a supervised long short-term memory (LSTM) system was proposed for channel estimation. In N. Y et al. [8], an adaptive modulation method based on variational autoencoding deep learning was proposed. In these studies, optimization was implemented by applying a deep learning method when distributing power allocation in the BS. Deep learning computations were carried out in the BS while the user equipment (UE) performed the same operations as the conventional NOMA system. In I. Abu Mahady et al. [9], a two-user NOMA system with an instantaneous sum rate was proposed for controlling SIC signals. A scheme for maximizing the minimum throughput of users in the NOMA system was proposed in H. D. Tuan et al. [10]. These studies proposed optimization methods that involve applying a deep learning scheme when SIC decodes on UE and the BS knows the perfect CSI of each UE.
Most of the recent studies on NOMA systems typically assume perfect SIC at the receiver. This is not practical due to imperfect SIC. In X Chen et al. [11], a joint optimization algorithm for maximizing the weighted sum rate with imperfect SIC was proposed. In S. Li et al [12], a power allocation method for downlink NOMA systems was proposed and compared to robust and non-robust imperfect SIC cases.
In the imperfect SIC of NOMA schemes, the error propagation of the SIC scheme is one of the critical issues. To solve this problem, the convolutional neural network (CNN) algorithm is a promising candidate in that it can effectively extract the characteristics of the input signal by processing signals through convolutional layers. Also, its generic architecture can be flexibly changed to fit input signal characteristics. Moreover, the CNN algorithm can effectively eliminate noise through the pooling process, making it easy to extract repeatable features from specific environments.
In this paper, a CNN-based SIC scheme is proposed for mitigation of the decoding loss caused by imperfect SIC. Unlike the conventional SIC scheme, in this scheme it is assumed that SIC is performed imperfectly. To mitigate losses caused by imperfect SIC, the proposed scheme adopts CNN layers.
The contributions of the proposed scheme are as follows:
- We design a CNN-based SIC scheme for downlink NOMA communication systems. The proposed scheme can be used instead of implementing a conventional SIC scheme.
- We apply CNN as a scheme to solve the imperfections of SIC that are not considered in the conventional NOMA communication system. The proposed SIC scheme can mitigate the losses caused by imperfect SIC and then improve the sum rate of the decoded signal.
- We provide simulation results with various key deep learning parameters. These parameters include the number of users, number of epochs, power allocation, modulation type, learning rate and batch size. The proposed scheme performed better than the conventional SIC scheme in various simulations.
The rest of this paper is organized as follows. Section 2 describes the proposed NOMA system model. In Section 3, the imperfections of conventional SIC in contrast to the CNN-based SIC scheme are indicated. The simulation results and conclusions are presented in Section 4 and Section 5, respectively.
2. System Model
In this section, it is assumed that the channel has Rayleigh fading distribution with additive white Gaussian noise (AWGN). NOMA can transmit signals within the same domain (time, frequency) without the orthogonality of communication theory. The utilization of power in power-domain NOMA, as considered in this paper, depends on the CSI of users to enhance the sum rate performance of communications.
Figure 1 shows the proposed NOMA system architecture. In a conventional downlink system, users must occupy orthogonal resources. When the number of transmit antennas for the BS is greater than the number of receive antennas for users, interuser interference can be ignored [13]. However, in NOMA systems, the number of transmit antennas is always less than the number of receive antennas. In this paper, it is assumed that the proposed NOMA scheme has small user clusters in order to ignore interuser interference.
Figure 1.
Proposed nonorthogonal multiple access (NOMA) system architecture.
In Figure 2, a block diagram of the proposed NOMA system is presented for the case of a single BS and two users. Based on the distance between the BS and each user, the BS transmits a nonorthogonal signal with weak power to user 1 and a signal with strong power to user 2. User 1 performs the SIC operation to cancel the signal of user 2, then acquires the signal sent to them. User 2 can acquire the signal sent to them because the signal to user 1 appears as noise due to channel attenuation.
Figure 2.
System block diagram of NOMA with a single base station and two users.
It is assumed that the number of users in the system is . The signal sent to user can be denoted as , (). At the BS, the power allocated to signal is denoted as [14]. The nonorthogonal signal transmitted by the BS can be expressed as follows:
In addition, the signal received by the Rayleigh fading channel can be expressed as follows:
where is the Rayleigh fading channel response and is the AWGN. Conventional NOMA systems usually use an SIC scheme for decoding signals and have been shown to be multiple-access schemes in downlink [2]. In the following section, the characteristics of conventional NOMA with SIC are described, then the proposed CNN-based SIC scheme for NOMA systems is discussed.
3. Performance of Deep Learning-Based Nonorthogonal Multiple Access (NOMA) Scheme
3.1. Conventional NOMA and Successive Interference Cancellation (SIC) Scheme
In Figure 3, a conventional SIC scheme is depicted. At user , the SIC scheme is iterated until the intended signal is decoded. If has a stronger value compared to other signals, the signal for user 1 can be decoded directly while the other signals can be interpreted as noise.
Figure 3.
Diagram of a conventional successive interference cancellation (SIC) scheme.
The throughput of user 1, , can be represented as follows:
where is the AWGN and is the channel impulse response of user .
For the user , if the first users are perfectly decoded, the throughput for user is given by:
Then, the throughput for user K is given by:
3.2. Imperfections of Conventional SIC
In recent studies on NOMA systems, it is usually assumed that the SIC scheme can decode signals perfectly. This assumption may not be practical because the decoded signals may be cancelled incorrectly [15]. Even if the signals are decoded correctly, the signals regenerated by the SIC scheme may not be perfectly matched due to various impairment factors [16]. It is well known that the errors caused by imperfect SIC schemes degrade system performance [17]. The conventional SIC schemes used in these studies do not typically take into consideration the errors that occur when the signal cancellation is repeated. This is a key problem to be resolved in NOMA systems with SIC schemes.
Let denote the signal intended for the user . The BS modulates the signal according to the power allocation defined by the CSI. The signal received by user from the BS, as expressed in Equation (2), can be redefined as follows:
It is assumed that at the receiver of user , the signals are not perfectly decoded. The SIC scheme is iterated until the desired signal is decoded. The signal decoded by user can be represented as follows:
where is the signal received by user without the signals of other users,
In this paper, the goal is to optimize the transmission of signals through a deep learning-based SIC scheme for NOMA systems. The purpose of the proposed scheme is to minimize the total mean square error between the transmission and decoding of signals. The optimization formula can be written as follows:
where indicates the processing functions of the CNN-based SIC scheme. Note that Equation (8) is a nonconvex and nonlinear equation due to the nonconvexity and nonlinearity of the function . Therefore, it is very difficult to solve Equation (8) numerically.
3.3. Convolutional Neural Network (CNN)-Based SIC Scheme
In the proposed scheme, depicted in Figure 4, a CNN approach is employed as a deep learning approximator solution that can empirically approximate any function through the use of neural networks.
Figure 4.
The proposed convolutional neural network (CNN)-based SIC scheme.
The processing function of user can be reconstructed as follows:
where . represent the activation function, the weight of node k of layer j and the bias vectors, respectively.
To solve Equation (9), the CNN-based SIC scheme is trained to minimize the following loss function:
where indicates the weight and bias sets of the k-th SIC scheme and is the set of training samples of the signal.
In the training process, the input and the output are a signal received from user and the estimated signals of other users, respectively. The testing mode is activated after the CNN has been trained well. The performance of proposed scheme is evaluated in this step. Training and testing algorithms can be represented as in the following Algorithms 1 and 2:
| Algorithm 1. CNN-Based SIC Training Process Algorithm |
| 1: Initialize the CNN model. The initial input = conventional SIC scheme, the weight w = 0, 2: the error threshold = 0.1 and the dropout probability = 0.5. 3: Generate a set of data streams from the conventional NOMA communication data. 4: Sample a batch size, learning rate and modulation, respectively. 5: while iteration < epochs 6: Simulate an imperfect SIC scheme with the proposed fading and noise channel. 7: Train the CNN network with the aid of the proposed scheme. 8: Update the estimation signals of other users. 9: Minimize the mean square error between the received signal and deep-learned signal. 10: return CNN network. |
| Algorithm 2. CNN-Based SIC Testing Process Algorithm |
| 1: Load the CNN network from the training process. 2: Initialize the channel with the proposed fading and noise channel. 3: Process the CNN network. 4: Calculate the loss function as shown in Equation (10). 5: Return . |
The proposed CNN-based SIC scheme is shown in Figure 5. A primary building block of the proposed scheme consists of two convolutional layers followed by a max pooling layer. Next, a set of two convolution and pooling layers are stacked, followed by a set of two dense layers that have 256 and 128 neurons, respectively. A SoftMax classifier is the last layer of the proposed model. The dropout rate is set to be 40% at the dense layers in order to overcome the effect of overfitting.
Figure 5.
The CNN architecture of the proposed SIC scheme.
3.4. Activation Functions for CNN-Based SIC Scheme
The activation function determines the output of each layer in the CNN and most recent studies use a nonlinear activation function. Depending on the shape of the activation function, the computation costs of the backpropagation and feature point extraction have a significant impact. The most used activation function in recent studies is as follows:
where ,,, and represent the sigmoid, tanh, rectified linear unit (ReLU), Leaky ReLU (LReLU) and exponential linear unit (ELU) functions, respectively. In Equations (14) and (15), and are predefined parameters for controlling the value to which functions saturate for negative inputs, respectively.
The sigmoid and tanh functions have an advantage in classification but a disadvantage in complexity caused by deeper layers. The ReLU function has an advantage in computational cost compared to the sigmoid and tanh functions but it has an inactive neuron problem when the negative bias is updated (i.e., dying ReLU). The LReLU and ELU functions maintain the negative bias values after bias updates but have disadvantages in terms of computation costs. In this paper, the activation functions in Equations (11)–(15) are applied to training and testing processes in order to find the optimal function [18].
To simplify the calculation, it is assumed that the bias vector is 0. Assuming a bias of 0, the function for user given by Equation (9) can be modified as follows:
4. Simulation Results
In this section, we provide details on the simulations of the proposed CNN-based SIC scheme with the parameter settings given in Table 1.
Table 1.
Parameter settings used in the simulations.
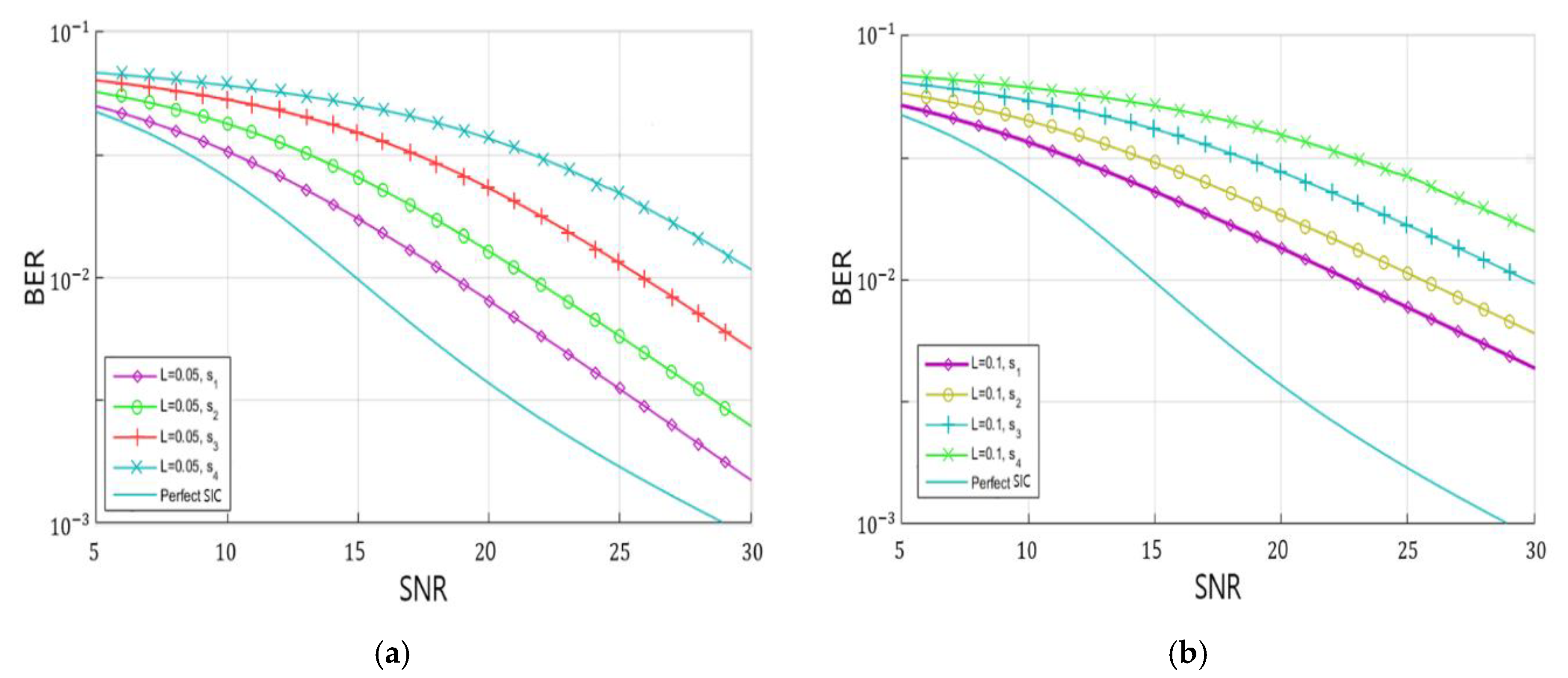
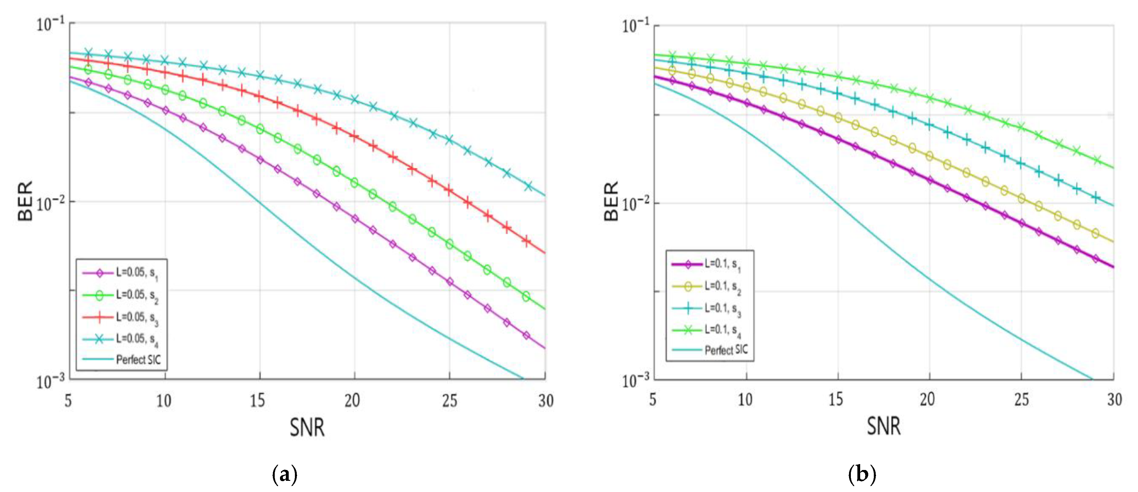
In Figure 6, the relationship between bit error ratio (BER) and signal-to-noise ratio (SNR) for the proposed SIC scheme is investigated in a system with four users. In the figure, the perfect SIC curve denotes an ideal case of perfect separation among users. It is confirmed that the BER performance indicated by this latter curve gradually deteriorates with the number of users due to the error propagation of the SIC scheme.
Figure 6.
BER versus SNR for the proposed SIC scheme with four users. (a) 5% SIC loss, (b) 10% SIC loss.
In Figure 7, the relationship between the mean square error (MSE) and SNR for the proposed scheme is investigated for different batch sizes. It is assumed that the learning rate is set at 0.11. It can be observed that the MSE decreases with the SNR and that the results from smaller batch sizes perform better than those from larger ones for higher SNR ranges. However, a small batch size may cause unstable convergence behavior. Hence, the batch size selection may be a crucial issue for the proper operation of the proposed NOMA scheme. For a good trade-off between complexity and convergence, the batch size is set at 20 for the rest of the simulation results.
Figure 7.
Mean square error (MSE) versus SNR for the proposed scheme with varying batch sizes.
In Figure 8, the relationship between the SIC loss and the number of epochs is investigated in training and testing processes. After 200 epochs were run, the SIC loss was saturated at about 4% and 2.5% in the training and testing processes, respectively. For the rest of the simulation results in this paper, at least 200 epochs were run to ensure the proper working of the proposed SIC scheme.
Figure 8.
SIC loss versus number of epochs for training and testing processes in the proposed SIC scheme.
In Figure 9, the sum rate and SNR are compared for the conventional and proposed SICs with varying power allocations. In the figure, and represent the power allocation factor of user 1 and the total power transmitted by the BS, respectively. When was 10% of the total power, the average sum rate of the proposed SIC scheme was significantly improved by around 20% compared with the conventional SIC scheme and around 8% for . This result can be interpreted as indicating that an excessive power allocation for the signal user may do harm to the overall operation of the proposed NOMA scheme. The proposed scheme was also compared with related studies on different SIC decoding schemes, namely perfect SIC decoding [1] and deep learning-based transmission and reception [19]. It is confirmed that the proposed scheme outperforms the schemes in [1,19] in terms of sum rate.
Figure 9.
Sum rate versus SNR for the conventional and proposed SIC schemes with varying power allocations.
In Figure 10, the relationship between the sum rate and SNR of the proposed CNN-based SIC scheme is investigated with varying learning rates. To determine the optimal value of the learning rate, for each given dataset the learning rate is adjusted by 0.01 in the rage of (0.01, 0.2) until the best sum rate is achieved. The data indicates that the maximum sum rate can be achieved for each SNR with a learning rate of 0.11.
Figure 10.
Sum rate versus SNR for the proposed CNN-based SIC scheme with varying learning rates.
In Figure 11, the relationship between the loss function and the number of epochs of the proposed scheme is investigated when modulation is varied. When 64-QAM modulation is applied, the loss increases if the epoch number exceeds 200. This can be interpreted as an increase in loss due to overfitting. When the number of epochs accumulates sufficiently (more than 300), Quadrature-PSK (QPSK) can be the most suitable modulation scheme in terms of decoding complexity.
Figure 11.
Loss function versus number of epochs for the proposed CNN-based SIC scheme with varying modulation order.
In Figure 12, the relationship between the loss function and the number of epochs of the proposed scheme is investigated when the activation function on the hidden layer is varied. When and are applied, it can be confirmed that severe underfitting occurs and the loss remains at a relatively higher level for the range of epochs from 0 to 350. When and are applied, the loss function increases if the epoch exceeds 250 due to overfitting. Therefore, can be a viable choice for the activation function of the proposed scheme.
Figure 12.
Loss function versus number of epochs for the proposed CNN-based SIC scheme with varying activation functions.
5. Conclusions
In this paper, the practical issue of imperfect successive interference cancellation was described. The sum rate loss of NOMA-based wireless communication systems caused by imperfect SIC can be mitigated by the proposed CNN-based SIC scheme. The learning performance of the proposed SIC scheme was illustrated in the simulation results with various parameters.
This study confirms that the CNN-based deep learning approach is a promising tool for enhancement of the NOMA detection scheme and that the proposed SIC scheme can achieve higher sum rates compared with the conventional one. The results of this paper can find applications in 5G/6G wireless communication and in wireless sensor networks with improved NOMA and intelligent processing.
Author Contributions
Data curation, Y.G.S. and J.L.; Project administration, I.S.; Software, D.L.; Validation, J.-H.K.; Visualization, S.H.K.; Writing—original draft, I.S.; Writing—review & editing, Y.S. and J.Y.K. All authors have read and agreed to the published version of the manuscript.
Funding
This research was supported in part by the MSIT, Korea, under the ITRC support program (IITP-2020-2018-0-01424) and (IITP-2020-0-01846) supervised by the IITP, and in part by Kwangwoon University in 2020.
Conflicts of Interest
The authors declare no conflict of interest.
References
- Ding, Z.G.; Adachi, F.; Poor, H.V. The application of MIMO to non-orthogonal multiple access. IEEE Trans. Wirel. Commun. 2015, 15, 537–552. [Google Scholar] [CrossRef]
- Higuchi, K.; Benjebbour, A. Non-orthogonal multiple access (NOMA) with successive interference cancellation for future radio access. IEICE Trans. Commun. 2015, 98, 403–414. [Google Scholar] [CrossRef]
- Huh, H.; Kim, J.Y. Performance of a multicarrier DS/CDMA system with successive interference cancellation. Eur. Trans. Telecommun. 2002, 13, 237–243. [Google Scholar] [CrossRef]
- Hasan, M.K.; Shahjalal, M.; Islam, M.M.; Alam, M.M.; Ahmed, M.F.; Jang, Y.M. The role of deep learning in NOMA for 5G and beyond communications. In Proceedings of the Conference on Artificial Intelligence in Information and Communication (ICAIIC), Fukuoka, Japan, 19–21 February 2020. [Google Scholar] [CrossRef]
- Luo, J.; Tang, J.; So, D.K.; Chen, G.; Cumanan, K.; Chambers, J.A. A deep learning-based approach to power minimization in multi-carrier NOMA with SWIPT. IEEE Access 2019, 7, 17450–17460. [Google Scholar] [CrossRef]
- Liu, M.; Song, T.; Gui, G. Deep cognitive perspective: Resource allocation for NOMA-Based heterogeneous IoT with imperfect SIC. IEEE Internet Things J. 2019, 6, 2885–2894. [Google Scholar] [CrossRef]
- Gui, G.; Huang, H.; Song, Y.; Sari, H. Deep learning for an effective nonorthogonal multiple access scheme. IEEE Trans. Vehi. Technol. 2018, 67, 8440–8450. [Google Scholar] [CrossRef]
- Ye, N.; Li, X.; Yu, H.; Wang, A.; Liu, W.; Hou, X. Deep learning aided grant-free NOMA toward reliable low-latency access in tactile internet of things. IEEE Trans. Indus. Inform. 2019, 15, 2995–3005. [Google Scholar] [CrossRef]
- Mahady, I.A.; Bedeer, E.; Ikki, S.; Yanikomeroglu, H. Sum-rate maximization of NOMA systems under imperfect successive interference cancellation. IEEE Commun. Lett. 2019, 23, 474–477. [Google Scholar] [CrossRef]
- Tuan, H.D.; Nasir, A.A.; Nguyen, H.H.; Duong, T.Q.; Poor, H.V. Nonorthogonal multiple access with improper Gaussian signaling. IEEE J. Sel. Top. Signal Process. 2019, 13, 496–507. [Google Scholar] [CrossRef]
- Chen, X.; Jia, R.; Ng, D.W.K. On the design of massive non-orthogonal multiple access with imperfect successive interference cancellation. IEEE Trans. Commun. 2019, 67, 2539–2551. [Google Scholar] [CrossRef]
- Li, S.; Derakhshani, M.; Lambotharan, S. Outage-constrained robust power allocation for downlink MC-NOMA with imperfect SIC. In Proceedings of the IEEE International Conference on Communications (ICC), Kansas, MO, USA, 20–24 May 2018; pp. 1–7. [Google Scholar] [CrossRef]
- Ali, S.; Hossain, E.; Kim, D.I. Non-orthogonal multiple access (NOMA) for downlink multiuser MIMO systems: User clustering, beamforming, and power allocation. IEEE Access 2016, 5, 565–577. [Google Scholar] [CrossRef]
- Cai, Y.; Qin, Z.; Cui, F.; Li, G.Y.; McCann, J.A. Modulation and multiple access for 5G networks. IEEE Commun. Surv. Tutor. 2018, 20, 629–646. [Google Scholar] [CrossRef]
- Islam, S.M.R.; Avazov, N.; Dobre, O.A.; Kwak, K. Power-domain non-orthogonal multiple access (NOMA) in 5G systems: Potentials and challenges. IEEE Commun. Surv. Tutor. 2015, 19, 721–742. [Google Scholar] [CrossRef]
- Selim, B.; Muhaidat, S.; Sofotasios, P.C.; Al-Dweik, A.; Sharif, B.S.; Stouraitis, T. Radio frequency frontend impairments in non-orthogonal multiple access systems. IEEE Vehic. Technol. 2019, 14, 89–97. [Google Scholar] [CrossRef]
- Benjebbour, A.; Saito, Y.; Kishiyama, Y.; Li, A.; Harada, A.; Nakamura, T. Concept and practical considerations of nonorthogonal multiple access (NOMA) for future radio access. In Proceedings of the 2013 International Symposium on Intelligent Signal Processing and Communication Systems, Naha, Japan, 12–15 November 2013; pp. 770–774. [Google Scholar] [CrossRef]
- You, W.; Shen, C.; Wang, D.; Chen, L.; Jiang, X.; Zhu, Z. An intelligent deep feature learning method with improved activation functions for machine fault diagnosis. IEEE Access 2020, 8, 1975–1985. [Google Scholar] [CrossRef]
- Kang, J.M.; Kim, I.M.; Chun, C.J. Deep Learning-Based MIMO-NOMA with Imperfect SIC Decoding. IEEE Sys. J. 2020, 14, 3414–3417. [Google Scholar] [CrossRef]
Publisher’s Note: MDPI stays neutral with regard to jurisdictional claims in published maps and institutional affiliations. |
© 2020 by the authors. Licensee MDPI, Basel, Switzerland. This article is an open access article distributed under the terms and conditions of the Creative Commons Attribution (CC BY) license (http://creativecommons.org/licenses/by/4.0/).











