Optimal Detection and Identification of DC Series Arc in Power Distribution System on Shipboards
Abstract
1. Introduction
2. Arc Fault Characteristics and Fire Cases
2.1. Series Arc and Its Characteristics
2.2. Fire Cases on Shipboards
3. Wavelet Transform and Multiresolution Analysis
4. Experiment and Results
4.1. Experimental Setup
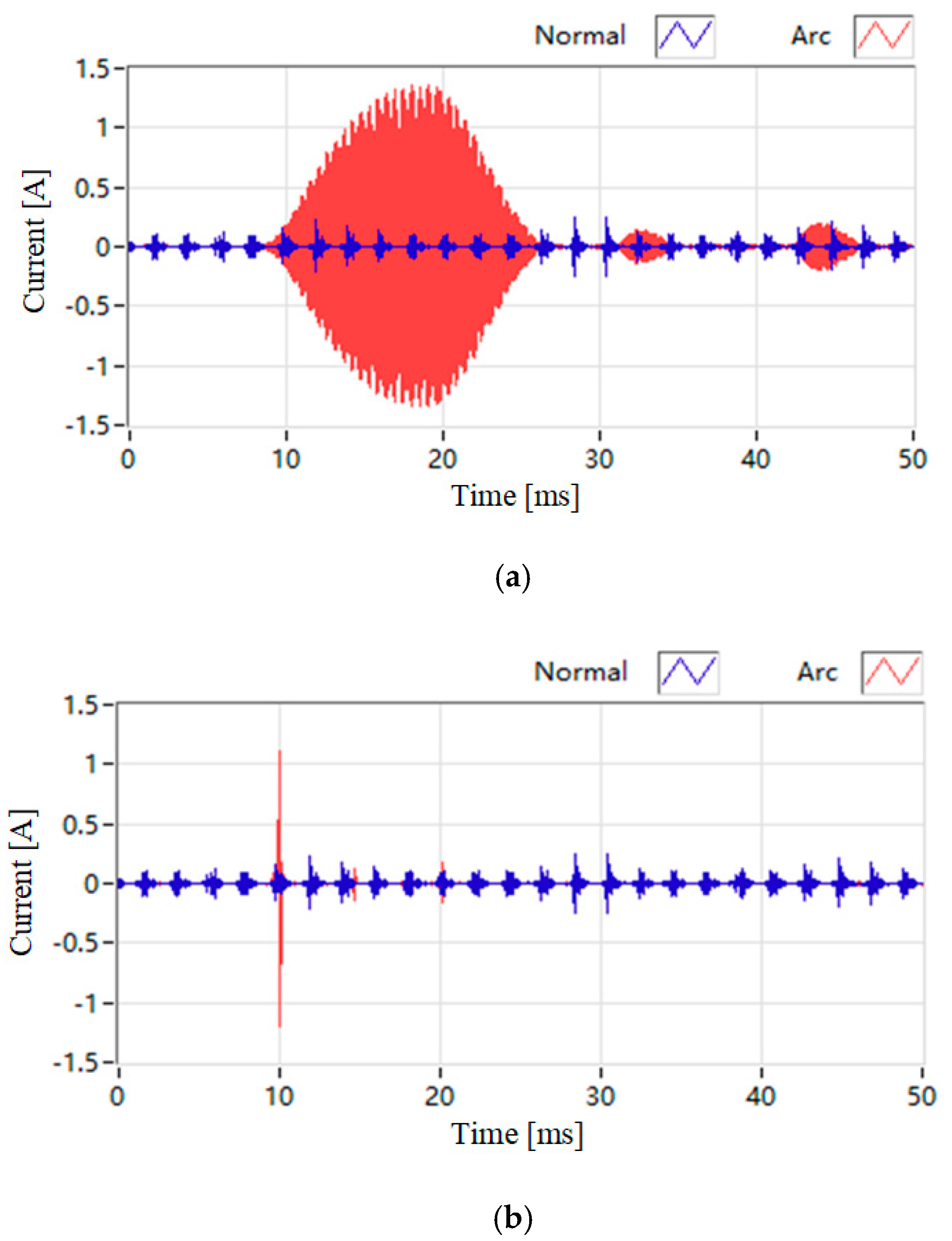
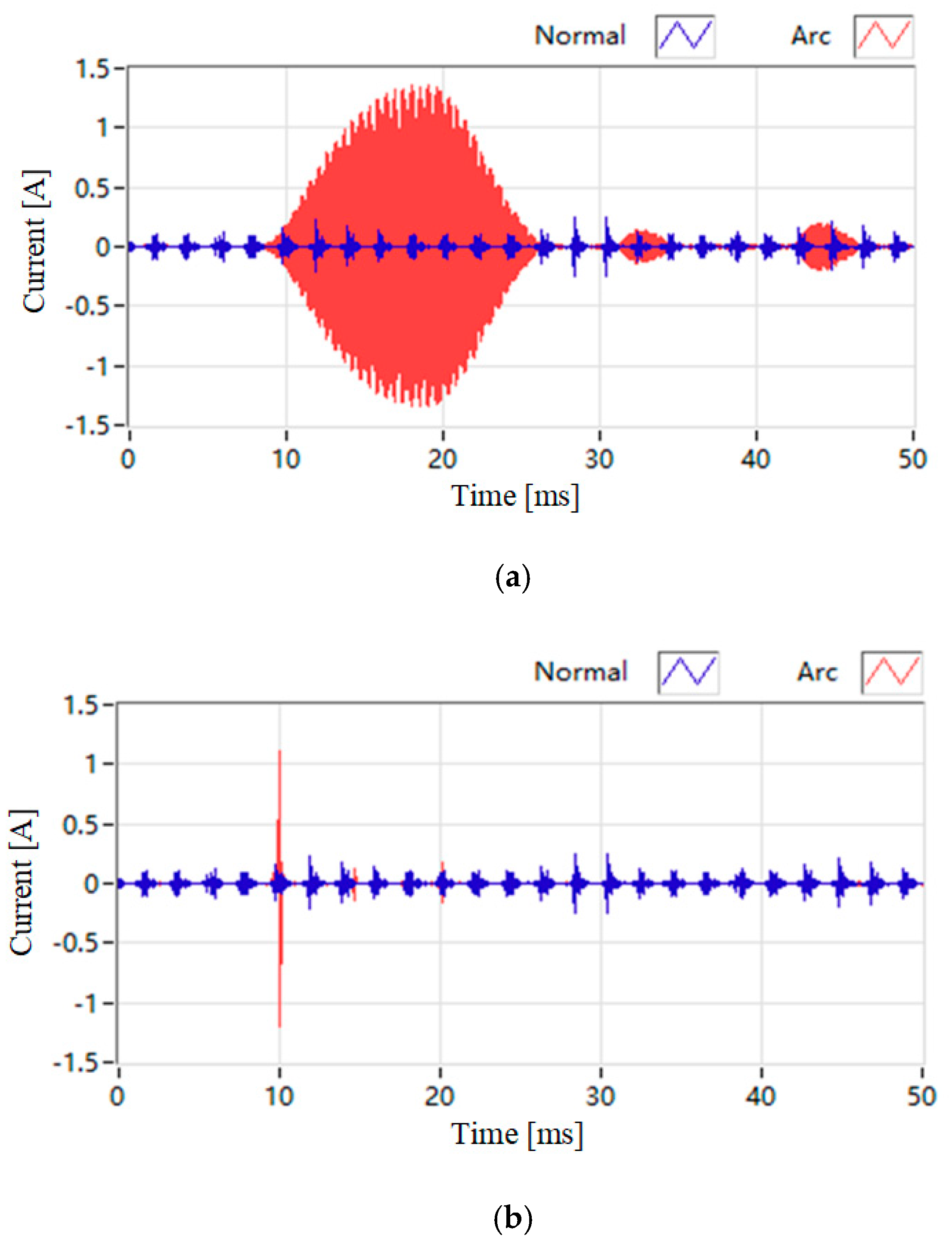
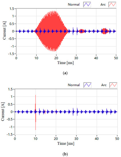
4.2. DC Series Arc Analysis and Identification
4.2.1. Selection of the Optimal Mother Wavelet
- Set the maximum magnitudes of the arc signal and the mother wavelet function to 1 by dividing the peak value;
- Count the lengths of the arc signal and the mother wavelet, assuming the values to be and , respectively;
- Resample the mother wavelet with a time interval of , by which the two signals have the same length;
- Detect the times of and at their maximum points and shift according to the time difference so that the maximum points are at the same time.
4.2.2. Arc Signal Decomposition
4.2.3. Identification of DC Series Arc
5. Conclusions
Author Contributions
Funding
Conflicts of Interest
Abbreviations and Notations
| Abbreviations | Meanings | Notations | Meanings |
| A | Approximation | db | Daubechies |
| AC | Alternating Current | bior | Biorthogonal |
| D | Detail | coif | Coiflet |
| DAQ | Data Acquisition | sym | Symlet |
| DC | Direct Current | mother wavelet | |
| DWT | Discrete Wavelet Transform | scale factor | |
| DSO | Digital Storage Oscilloscope | shift factor | |
| FFT | Fast Fourier Transform | correlation coefficient | |
| HFCT | High Frequency Current Transformer | arc signal | |
| HPF | High-Pass Filter | mother wavelet function | |
| LPF | Low-Pass Filter | length of arc signal | |
| MRA | Multiresolution Analysis | length of mother wavelet | |
| UL | Underwriters Laboratories | ||
| WT | Wavelet Transform |
References
- National Fire Data System. Available online: http://www.nfds.go.kr/ (accessed on 10 October 2020).
- Korean Maritime Safety Tribunal. Available online: https://www.kmst.go.kr/kmst/statistics/annualReport/selectAnnualReportList.do#a (accessed on 2 September 2020).
- John, J.S. Condition for series arcing phenomena in PVC Wiring. IEEE Trans. Compon. Packag. Manuf. 2007, 30, 532–537. [Google Scholar] [CrossRef]
- George, D.G.; Gary, W.S. The arc-fault circuit interrupter: An emerging product. IEEE Trans. Ind. Appl. 1998, 34, 928–933. [Google Scholar] [CrossRef]
- Moon, W.S.; Kim, J.C.; Jo, A.; Bang, S.B.; Koh, W.S. Ignition characteristics of residential series arc faults in 220-V HIV wires. IEEE Trans. Ind. Appl. 2015, 51, 2054–2059. [Google Scholar] [CrossRef]
- Underwriters Laboratories. UL 1699 Standard for Arc-Fault Circuit-Interrupters, 3rd ed.; UL: Northbrook, IL, USA, 2017. [Google Scholar]
- International Electrotechnical Commission. IEC 62606 General Requirements for Arc Fault Detection Devices. 2017. Available online: https://webstore.iec.ch/publication/59947 (accessed on 10 October 2020).
- Sultan, A.F.; Swift, G.W.; Fedirchuk, D.J. Detecting arcing downed-wires using fault current flicker and half-cycle asymmetry. IEEE Trans. Power Deliv. 1994, 9, 461–470. [Google Scholar] [CrossRef]
- Jiang, J.; Wen, Z.; Zhao, M.; Bie, Y.; Li, C.; Tan, M.; Zhang, C. Series arc detection and complex load recognition based on principal component analysis and support vector machine. IEEE Access. 2019, 7, 47221–47229. [Google Scholar] [CrossRef]
- Lezama, J.; Schweitzer, P.; Weber, S.; Tisserand, E.; Joycux, P. Arc fault detection based on temporal analysis. IEEE 60th Holm Conf. Elect. Contacts 2014, 1–5. [Google Scholar] [CrossRef]
- Lezama, J.; Schweitzer, P.; Tisserand, E.; Humberta, J.-B.; Webera, S.; Joyeux, P. An embedded system for AC series arc detection by inter-period correlations of current. Electr. Power Syst. Res. 2015, 129, 227–234. [Google Scholar] [CrossRef]
- Zhang, S.; Zhang, F.; Liu, P.; Han, Z. Identification of low voltage AC series arc faults by using Kalman filtering algorithm. Elektron. Elektrotech. 2014, 20, 51–56. [Google Scholar] [CrossRef]
- Sedighizadeh, M.; Rezazadeh, A.; Elkalashy, N. Approaches in high impedance fault detection a chronological review. Adv. Electr. Comput. Eng. 2010, 10, 114–128. [Google Scholar] [CrossRef]
- Wang, S.; Wu, C.; Wang, Y. Detection of arc fault on low voltage power circuits in time and frequency domain approach. Int. J. Circuits Syst. Signal Process. 2012, 6, 324–331. [Google Scholar]
- Yao, X.; Herrera, L.; Yue, L.; Cai, H. Experimental study of series DC arc in distribution systems. IEEE Energy Convers. Congr. Expo. (ECCE) 2018, 3713–3718. [Google Scholar] [CrossRef]
- Georgijevic, N.L.; Jankovic, M.V.; Srdic, S.; Radakovic, Z. The detection of series arc fault in photovoltaic systems based on the arc current entropy. IEEE Trans. Power Electron. 2016, 31, 5917–5930. [Google Scholar] [CrossRef]
- Le, V.; Yao, X.; Miller, C.; Tsao, B.H. Series DC Arc Fault Detection Based on Ensemble Machine Learning. IEEE Trans. Power Electron. 2020, 35, 7826–7839. [Google Scholar] [CrossRef]
- Xiong, Q.; Ji, S.; Zhu, L.; Zhong, L.; Liu, Y. A novel DC arc fault detection method based on electromagnetic radiation signal. IEEE Trans. Plasma Sci. 2017, 45, 472–478. [Google Scholar] [CrossRef]
- Xiong, Q.; Ji, S.; Liu, X.; Li, X.; Zhu, L.; Feng, X.; Gattozzi, A.L.; Hebner, R.E. Electromagnetic radiation characteristics of series DC arc fault and its determining factors. IEEE Trans. Plasma Sci. 2018, 46, 4028–4036. [Google Scholar] [CrossRef]
- Fitrianto, M.I.; Wahjono, E.; Anggriawan, D.O.; Prasetyono, E.; Mubarok, R.H.; Tjahjono, A. Identification and Protection of Series DC Arc Fault for Photovoltaic Systems Based on Fast Fourier Transform. Int. Electron. Symp. (IES) 2019. [Google Scholar] [CrossRef]
- Wang, Y.; Zhang, F.; Zhang, S. A new methodology for identifying arc fault by sparse representation and neural network. IEEE Trans. Instrum. Meas. 2018, 67, 1–12. [Google Scholar] [CrossRef]
- Ji, H.K.; Wang, G.; Kim, W.H.; Kil, G.S. Optimal Design of a Band Pass Filter and an Algorithm for Series Arc Detection. Energies 2018, 11, 992. [Google Scholar] [CrossRef]
- Yang, K.; Zhang, R.; Yang, J.; Liu, C.; Chen, S.; Zhang, F. A novel arc gault detector for early detection of electrical fires. Sensor 2016, 16, 500. [Google Scholar] [CrossRef]
- Carlos, E.R. Arc Fault Detection and Discrimination Methods. In Proceedings of the IEEE Holm Conference on Electrical Contacts, Pittsburgh, PA, USA, 16–19 September 2007; pp. 115–122. [Google Scholar]
- Lin, Y.H.; Liu, C.W.M.; Chen, C.S. A new PMU-based fault detection/location technique for transmission lines with consideration of arcing fault discrimination-part I: Theory and algorithms. IEEE Trans. Power Deliv. 2006, 19, 1587–1593. [Google Scholar] [CrossRef]
- Naidu, M.; Thomas, J.S.; Suresh, G. Arc fault detection scheme for 42-V automotive DC networks using current shunt. IEEE Trans. Power Electron. 2006, 21, 633–639. [Google Scholar] [CrossRef]
- George, D.G.; Kon, W.; Robert, F.D. More about Arc-Fault Circuit interrupter. IEEE Trans. Ind. Appl. 2004, 40, 1006–1011. [Google Scholar] [CrossRef]
- Zhang, H.; B1ackburn, T.R.; Phung, B.T.; Sen, D. A Novel Wavelet Transform Technique for On-line Partial Discharge Measurements Part I: WT De-noising Algorithm. IEEE Trans. Dielectr. Electr. Insul. 2007, 14, 3–14. [Google Scholar] [CrossRef]
- Satish, L.; Nazneen, B. Wavelet-based Denoising of Partial Discharge Signals Buried in Excessive Noise and Interference. IEEE Trans. Dielectr. Electr. Insul. 2003, 10, 354–367. [Google Scholar] [CrossRef]
- Wang, G.M.; Kim, S.J.; Kil, G.S.; Kim, S.W. Optimization of wavelet and thresholding for partial discharge detection under HVDC. IEEE Trans. Dielectr. Electr. Insul. 2017, 24, 200–208. [Google Scholar] [CrossRef]
- Moula, B.; Mekhaldil, A.; Teguar, M.; Haddad, A. Characteristics of discharge on non-uniformly polluted glass surface using a wavelet transform approach. IEEE Trans. Dielectr. Electr. Insul. 2013, 20, 1457–1466. [Google Scholar] [CrossRef]
- Ucar, F.; Alcin, O.F.; Dandil, B.; Ata, F. Power quality event detection using a fast extreme learning machine. Energies 2018, 11, 145. [Google Scholar] [CrossRef]
- Antonino-Daviu, J.; Riera-Guasp, M.; Roger-Folch, J.; Martinez-Jimenez, F.; Peris, A. Application and optimization of the discrete wavelet transform for the detection of broken rotor bars in induction machines. Appl. Comput. Harmon. Anal. 2006, 21, 268–279. [Google Scholar] [CrossRef]
- Hernandez, J.C.; Antonino-Daviu, J.; Martinez-Jimenez, F.; Peris, A. Comparison of different wavelet families for broken bar detection in induction motors. In Proceedings of the 2015 IEEE International Conference on Industrial Technology (ICIT), Seville, Spain, 17–19 March 2015; pp. 3220–3225. [Google Scholar] [CrossRef]
- Chang, H.H.; Linh, N.W. Statistical feature extraction for fault locations in nonintrusive fault detection of low voltage distribution systems. Energies 2017, 10, 611. [Google Scholar] [CrossRef]
- Xu, Z.; Tang, J.; Sun, C. Application of complex wavelet transform to suppress white noise in GIS UHF PD Signals. IEEE Trans. Power Deliv. 2007, 22, 1498–1504. [Google Scholar] [CrossRef]
- Wang, G.M.; Kil, G.S.; Ji, H.K.; Lee, J.H. Disturbance elimination for partial discharge detection in the spacer of gas-insulated switchgears. Energies 2017, 10, 1762. [Google Scholar] [CrossRef]
- Chang, C.S.; Jin, J.; Chang, C.; Hoshino, T.; Hanai, M.; Kobayashi, N. Separation of corona using wavelet packet transform and neural network for detection of partial discharge in gas-insulated substations. IEEE Trans. Power Deliv. 2005, 20, 1363–1369. [Google Scholar] [CrossRef]
- Ji, H.K.; Cho, Y.J.; Wang, G.; Hwang, S.C.; Kil, G.S. Extraction of Series Arc Signals Based on Wavelet Transform in an Indoor Wiring System. Trans. Electr. Electron. Mater. 2017, 18, 221–224. [Google Scholar] [CrossRef]
- Imoru, O.; Bhaskar, M.A.; Jimoh, A.A.-G.; Hamam, Y. Diagnosis of stator shorted-turn faults in induction machines using discrete wavelet transform. Afr. J. Sci. Technol. Innov. Dev. 2017, 9, 349–355. [Google Scholar] [CrossRef]
- Gritli, Y.; Lee, S.B.; Filippetti, F.; Zarri, L. Advanced diagnosis of outer cage damage in doublesquirrel-cage induction motors under time-varying conditions based on wavelet analysis. IEEE Trans. Ind. Appl. 2014, 50, 1791–1800. [Google Scholar] [CrossRef]
- Ma, X.; Zhou, C.; Kemp, I.J. Interpretation of Wavelet Analysis and Its Application in Partial Discharge Detection. IEEE Trans. Dielectr. Electr. Insul. 2002, 9, 446–457. [Google Scholar] [CrossRef]
- Cunha, C.F.; Carvalho, A.T.; Lima, A.C. A New Wavelet Selection Method for Partial Discharge Denoising. Electric Power Syst. Res. 2015, 125, 184–196. [Google Scholar] [CrossRef]
- Jian, L.; Tianyan, J.; Stanislaw, G.; Changkui, C. Scale Dependent Wavelet Selection for De-noising of Partial Discharge Detection. IEEE Trans. Dielectr. Electr. Insul. 2011, 17, 1705–1714. [Google Scholar] [CrossRef]


















| Load | Series Arc Fault | Optimal Mother Wavelet | Correlation Valve |
|---|---|---|---|
| Resistive load | Cord-cord | bior 3.1 | 0.491 |
| Carbon-copper | bior 3.1 | 0.313 | |
| Motor | Cord-cord | bior 3.1 | 0.436 |
| Carbon-copper | bior 3.1 | 0.402 |
| Level | Frequency (kHz) | |
|---|---|---|
| Approximation (A) | Detail (D) | |
| 1 | 0–312.5 | 312.5–625 |
| 2 | 0–156.25 | 156.25–312.5 |
| 3 | 0–78.125 | 78.125–156.25 |
| 4 | 0–39.0625 | 39.0625–78.125 |
| 5 | 0–19.53125 | 19.53125–39.0625 |
| 6 | 0–9.765625 | 9.765625–19.53125 |
| 7 | 0–4.8828125 | 4.8828125–9.765625 |
| 8 | 0–2.44140625 | 2.44140625–4.8828125 |
Publisher’s Note: MDPI stays neutral with regard to jurisdictional claims in published maps and institutional affiliations. |
© 2020 by the authors. Licensee MDPI, Basel, Switzerland. This article is an open access article distributed under the terms and conditions of the Creative Commons Attribution (CC BY) license (http://creativecommons.org/licenses/by/4.0/).
Share and Cite
Ji, H.-K.; Wang, G.; Kil, G.-S. Optimal Detection and Identification of DC Series Arc in Power Distribution System on Shipboards. Energies 2020, 13, 5973. https://doi.org/10.3390/en13225973
Ji H-K, Wang G, Kil G-S. Optimal Detection and Identification of DC Series Arc in Power Distribution System on Shipboards. Energies. 2020; 13(22):5973. https://doi.org/10.3390/en13225973
Chicago/Turabian StyleJi, Hong-Keun, Guoming Wang, and Gyung-Suk Kil. 2020. "Optimal Detection and Identification of DC Series Arc in Power Distribution System on Shipboards" Energies 13, no. 22: 5973. https://doi.org/10.3390/en13225973
APA StyleJi, H.-K., Wang, G., & Kil, G.-S. (2020). Optimal Detection and Identification of DC Series Arc in Power Distribution System on Shipboards. Energies, 13(22), 5973. https://doi.org/10.3390/en13225973

