Dynamic Response Analysis of a Semi-Submersible Floating Wind Turbine in Combined Wave and Current Conditions Using Advanced Hydrodynamic Models
Abstract
1. Introduction
2. Numerical Models
2.1. Description of Platform Models
2.2. Global Hydrodynamic Coefficient Models Considering the Effects of Reynolds and KC Numbers
2.3. Advanced Hydrodynamic Force Models Considering the Combined Wave-Current Condition
2.4. Wave Model Considering the Directional Spreading Function
3. Results and Discussion
3.1. Validation of the Proposed Global Hydrodynamic Coefficient Models Considering the Effects of Reynolds and KC Numbers
3.2. Validation of the Advanved Hydrodynamic Models by the Water Tank Tests in the Combined Wave and Current Conditions
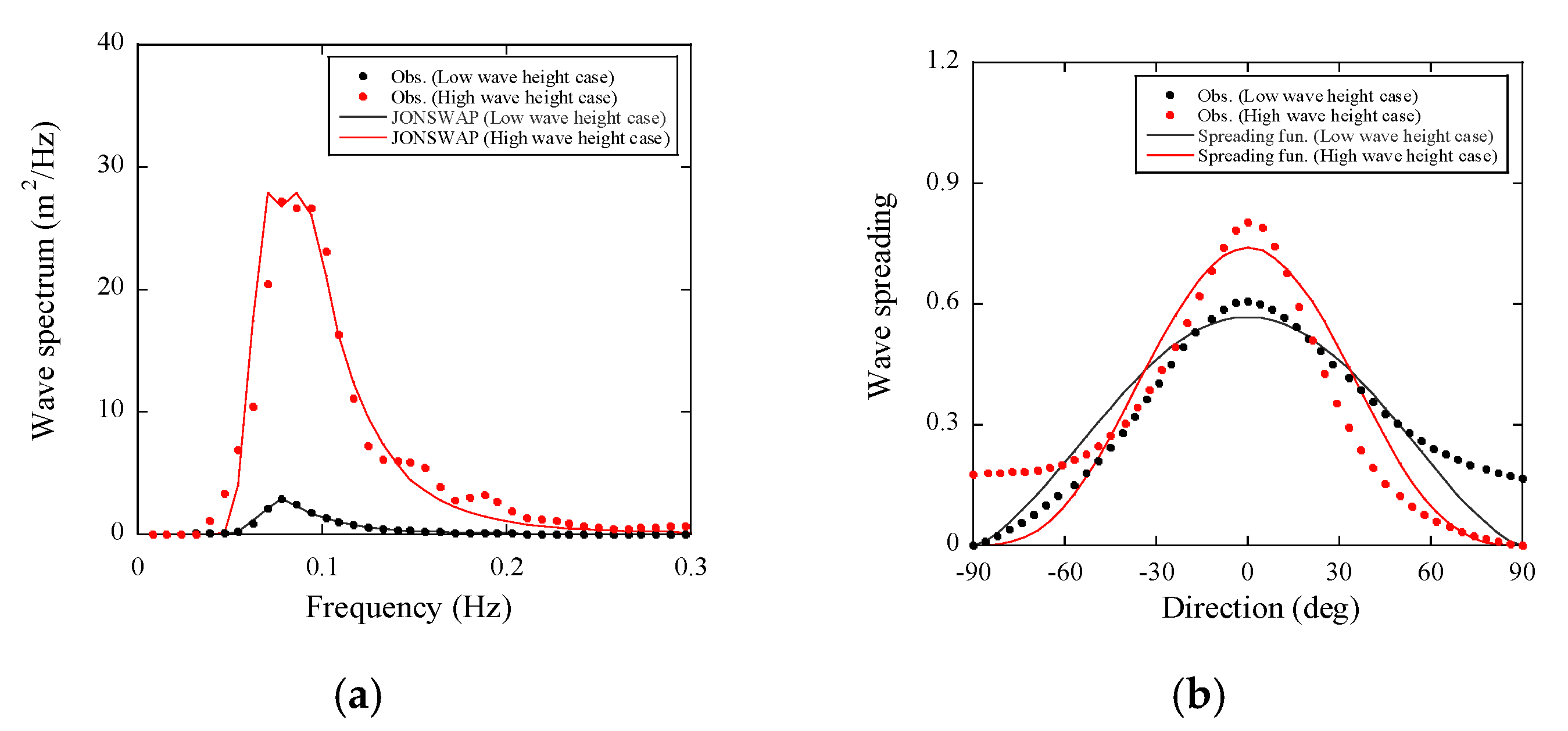
3.3. Validation of the Proposed Hydrodynamic Models and the Directional Spreading Function by the Full-Scale Platform
4. Conclusions
- The global hydrodynamic coefficient models considering the effects of Reynolds and numbers were proposed for the first time to evaluate the added mass and drag coefficients for the laboratory- and full-scale platforms. The predicted global hydrodynamic coefficients by the proposed models show good agreement with those obtained from the forced oscillation tests.
- An advanced hydrodynamic model was proposed to calculate the drag force in the combined wave-current condition. The predicted platform motions and mooring tensions by the proposed model showed favorable agreement with the experimental data obtained from the water tank tests, while the conventional Morison’s equation overestimated them.
- The predicted dynamic responses of platform were improved with consideration of the directional spreading of the sea wave spectrum, while those by the wave model without the directional spreading function were significantly underestimated in the sway, roll and yaw directions. The predicted dynamic responses by the proposed model showed good agreement with the field measurements on the 2 MW FOWT used in the Fukushima demonstration project.
Author Contributions
Funding
Acknowledgments
Conflicts of Interest
References
- IEC 61400-3-1. Wind Energy Generation Systems-Part 3-1: Design Requirements For Fixed Offshore Wind Turbines, 1st ed.; International Electrotechnical Commission: Geneva, Switzerland, 2019. [Google Scholar]
- DNV-OSJ101. Design of Offshore Wind Turbine Structures; Det Norske Veritas: Høvik, Norway, 2013. [Google Scholar]
- DNV-OSJ103. Design of Floating Wind Turbine Structures; Det Norske Veritas: Høvik, Norway, 2013. [Google Scholar]
- API RP 2SK. Design and Analysis of Stationkeeping Systems for Floating Structures, 3rd ed.; American Petroleum Institute: Washington, DC, USA, 2005. [Google Scholar]
- DNV-RP-C205. Environmental Conditions and Environmental Loads; Det Norske Veritas: Høvik, Norway, 2014. [Google Scholar]
- Sarpkaya, T. In-Line and Transverse Forces, on Cylinders in Oscillatory Flow at High Reynolds Numbers. In Proceedings of the Offshore Technology Conference, Houston, TX, USA, 3–6 May 1976. [Google Scholar]
- Sarpkaya, T. Wave Forces on Offshore Structures; Cambridge University Press: Cambridge, UK, 2012; ISBN 9781139195898. [Google Scholar]
- Zhang, S.; Ishihara, T. Numerical study of hydrodynamic coefficients of multiple heave plates by large eddy simulations with volume of fluid method. Ocean Eng. 2018, 163, 583–598. [Google Scholar] [CrossRef]
- Tanaka, N.; Ikeda, Y.; Himeno, Y.; Fukutomi, Y. Experimental Study on Hydrodynamic Viscous Force Acting on Oscillating Bluff Body. J. Jpn. Soc. Naval Archit. Ocean Eng. 1980, 175, 35–43. (In Japanese) [Google Scholar]
- Liu, Y.; Ishihara, T. Prediction of dynamic response of semi-submersible floating offshore wind turbines by a novel hydrodynamic coefficient model. J. Phys. Conf. Ser. 2019, 1356, 012035. [Google Scholar] [CrossRef]
- Chen, L.; Basu, B. Fatigue load estimation of a spar-type floating offshore wind turbine considering wave-current interactions. Int. J. Fatigue 2018, 116, 421–428. [Google Scholar] [CrossRef]
- Soeb, M.R.; Islam, A.B.M.S.; Jumaat, M.Z.; Huda, N.; Arzu, F. Response of nonlinear offshore spar platform under wave and current. Ocean Eng. 2017, 144, 296–304. [Google Scholar] [CrossRef]
- Sarpkaya, T. Vortex Shedding and Resistance in Harmonic Flow about Smooth and Rough Circular Cylinders at High Reynolds Numbers; Naval Postgraduate School: Monterey, CA, USA, 1976. [Google Scholar]
- Driscoll, F.; Jonkman, J.; Robertson, A.; Sirnivas, S.; Skaare, B.; Nielsen, F.G. Validation of a FAST Model of the Statoil-hywind Demo Floating Wind Turbine. Energy Procedia 2016, 94, 3–19. [Google Scholar] [CrossRef]
- Skaare, B.; Nielsen, F.G.; Hanson, T.D.; Yttervik, R.; Havmøller, O.; Rekdal, A. Analysis of measurements and simulations from the Hywind Demo floating wind turbine. Wind Energy 2015. [Google Scholar] [CrossRef]
- Kamizawa, K.; Yoshimoto, H.; Yoshida, H.; Kamizawa, K. Validation of applicability of low frequency motion analysis theory using observation data of floating offshore substation. In Proceedings of the Proceedings of the International Conference on Offshore Mechanics and Arctic Engineering—OMAE, Madrid, Spain, 17–22 June 2018; American Society of Mechanical Engineers (ASME): New York, NY, USA, 2018; Volume 6, pp. 1–9. [Google Scholar]
- Zhang, S.; Ishihara, T. Effects of multidirectional sea states and flexible foundation on dynamic response of floating offshore wind turbine system. In Proceedings of the First International Symposium on Flutter and its Application, Tokyo, Japan, 15–17 May 2016; pp. 729–738. [Google Scholar]
- Tanemoto, J.; Ishihara, T. A numerical study of wind wave and swell by using wave prediction models and combined wind fields. J. Wind Energy 2014, 38, 124–131. (In Japanese) [Google Scholar]
- Pan, J.; Ishihara, T. Numerical prediction of hydrodynamic coefficients for a semi-sub platform by using large eddy simulation with volume of fluid method and Richardson extrapolation. J. Phys. Conf. Ser. 2019, 1356, 012034. [Google Scholar] [CrossRef]
- Ishihara, T.; Zhang, S. Prediction of dynamic response of semi-submersible floating offshore wind turbine using augmented Morison’s equation with frequency dependent hydrodynamic coefficients. Renew. Energy 2019, 131, 1186–1207. [Google Scholar] [CrossRef]
- Wadhwa, H.; Thiagarajan, K.P. Experimental Assessment of Hydrodynamic Coefficients of Disks Oscillating Near a Free Surface. In Proceedings of the International Conference on Ocean, Offshore and Arctic Engineering, Honolulu, HI, USA, 31 May–5 June 2009; pp. 435–441. [Google Scholar]
- Yang, W.S. Hydrodynamic Analyis of Mooring Lines Based on Optical Tracking Experiments. Ph.D. Thesis, Texas A&M University, College Station, TX, USA, 2007. [Google Scholar]
- DNVGL-OS-E301. Position Mooring; Det Norske Veritas and Germanischer Lloyd: Høvik, Norway, 2015. [Google Scholar]
- OrcaFlex. Available online: https://www.orcina.com/SoftwareProducts/OrcaFlex/ (accessed on 6 November 2020).
- FAST User’s Guide, NREL/TP-500-38230; National Renewable Energy Laboratory: Golden, CO, USA, 2005.
- Yamaguchi, A.; Taki, S.; Ishihara, T. Metocean measurement at Fukushima offshore site. In Proceedings of the Grand Renewable Energy 2018, Yokohama, Japan, 17–22 June 2018; P-We-31. Volume 1. [Google Scholar] [CrossRef]
- Yamaguchi, A.; Ishihara, T. Floating offshore wind measurement system by using LIDAR and its verification. In Proceedings of the Europe’s Premier Wind Energy Event 2015, Paris, France, 17–20 November 2015. [Google Scholar]
- Yamaguchi, A.; Ishihara, T. A new motion compensation algorithm of floating lidar system for the assessment of turbulence intensity. J. Phys. Conf. Ser. 2016, 1037, 042022. [Google Scholar] [CrossRef]
- Yamaguchi, A.; Danupon, S.; Ishihara, T. Load estimation and wind measurement considering full scale floater motion. In Proceedings of the EERA DeepWind 2020, Trondheim, Norway, 15–17 January 2020. [Google Scholar]
- DNVGL-CG-0130. Wave Loads; Det Norske Veritas and Germanischer Lloyd: Høvik, Norway, 2018. [Google Scholar]
- Yamaguchi, H.; Imakita, A. Learning from field test regading damping of a floater motion—2 MW FOWT “Fukushima Mirai”. In Proceedings of the Grand Renewable Energy 2018, Yokohama, Japan, 17–22 June 2018; P-We-5. Volume 1. [Google Scholar] [CrossRef]



















| Elements | Dimension (m) |
|---|---|
| Draft of the platform | 0.2667 |
| Height of center column (Hcc) and side columns (Hsc) | 0.4667 |
| Diameter of center column (Dcc) | 0.0823 |
| Diameter of side columns (Dsc) | 0.1250 |
| Height of heave plate (HHp) and pontoon (HPn) | 0.0667 |
| Diameter of heave plate without skirt (DHp) | 0.2333 |
| Width of pontoon | 0.05~0.10 |
| Length of pontoon (LPn) | 0.2827 |
| Diameter of brace (Dbrace) | 0.0375 |
| Length of brace (Lbrace) | 0.3887 |
| Center of gravity below still water level | −0.0687 |
| Radius of gyration Kxx | 0.370 |
| Radius of gyration Kyy | 0.374 |
| Component | and |
|---|---|
| SC-2 Hp-2 | |
| Br-2 | |
| Pn-2 |
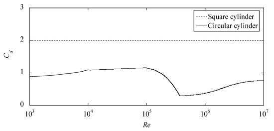
| Drag Coefficients | |
|---|---|
| Circular cylinder | |
| Square cylinder |
| Case No. | Conditions | Current Velocity (m/s) | Wave Height (m) | Wave Period (s) | Description |
|---|---|---|---|---|---|
| 1 | Still water | - | - | - | Free decay tests |
| 2 | Current-only | 0.05~0.20 | - | - | - |
| 3 | Wave-only | - | 0.06 | 1.4~2.8 | Regular wave |
| 4 | Wave-only | - | 0.15 | 1.82 | Irregular wave |
| 5 | Wave and current | 0.20 | 0.06 | 2.0~2.8 | Regular wave |
| 6 | Wave and current | 0.20 | 0.15 | 1.82 | Irregular wave |
| Environmental Conditions | Description | Low Wave Height Case | High Wave Height Case |
|---|---|---|---|
| Wind | Wind speed (m/s) | 6.44 | 27.15 |
| Wind direction (deg.) | 234.2 | 158.9 | |
| Wave | Wave height (m) | 1.37 | 5.31 |
| Wave peak period(s) | 11.6 | 12.8 | |
| Wave direction (deg.) | 84.0 | 155.3 | |
| Peak enhancement factor | 1.30 | 0.77 | |
| Exponent | 2.33 | 2.91 | |
| Current | Current velocity (m/s) | 0.10 | 0.38 |
| Current direction (deg.) | 136.5 | 310.7 |
Publisher’s Note: MDPI stays neutral with regard to jurisdictional claims in published maps and institutional affiliations. |
© 2020 by the authors. Licensee MDPI, Basel, Switzerland. This article is an open access article distributed under the terms and conditions of the Creative Commons Attribution (CC BY) license (http://creativecommons.org/licenses/by/4.0/).
Share and Cite
Ishihara, T.; Liu, Y. Dynamic Response Analysis of a Semi-Submersible Floating Wind Turbine in Combined Wave and Current Conditions Using Advanced Hydrodynamic Models. Energies 2020, 13, 5820. https://doi.org/10.3390/en13215820
Ishihara T, Liu Y. Dynamic Response Analysis of a Semi-Submersible Floating Wind Turbine in Combined Wave and Current Conditions Using Advanced Hydrodynamic Models. Energies. 2020; 13(21):5820. https://doi.org/10.3390/en13215820
Chicago/Turabian StyleIshihara, Takeshi, and Yuliang Liu. 2020. "Dynamic Response Analysis of a Semi-Submersible Floating Wind Turbine in Combined Wave and Current Conditions Using Advanced Hydrodynamic Models" Energies 13, no. 21: 5820. https://doi.org/10.3390/en13215820
APA StyleIshihara, T., & Liu, Y. (2020). Dynamic Response Analysis of a Semi-Submersible Floating Wind Turbine in Combined Wave and Current Conditions Using Advanced Hydrodynamic Models. Energies, 13(21), 5820. https://doi.org/10.3390/en13215820

