Automatic Optimization of the Compensation Networks of a Wireless Power Transfer System
Abstract
1. Introduction
2. Materials and Methods
2.1. WPTS Architecture
2.2. Compensation Networks
2.3. Optimization Algorithm
2.3.1. NSGA-II Algorithm
2.3.2. Objective Functions
2.3.3. Selection of RL
3. Results
3.1. Optimization Results
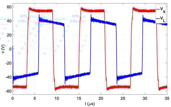
3.2. Validation Experiments
4. Discussion
Author Contributions
Funding
Conflicts of Interest
References
- Bertoluzzo, M.; Zabihi, N.; Buja, G. Overview on Battery Chargers for Plug-in Electric Vehicles. In Proceedings of the 2012 15th International Power Electronics and Motion Control Conference (EPE/PEMC), Novi Sad, Serbia, 4–6 September 2012. [Google Scholar]
- Choi, S.Y.; Gu, B.W.; Jeong, S.Y.; Rim, C.T. Advances in Wireless Power Transfer Systems for Roadway-Powered Electric Vehicles. IEEE J. Emerg. Sel. Top. Power Electron. 2014, 3, 18–36. [Google Scholar] [CrossRef]
- Covic, G.A.; Boys, J.T. Inductive power transfer. Proc. IEEE 2013, 101, 1276–1289. [Google Scholar] [CrossRef]
- Covic, G.A.; Boys, J.T. Modern Trends in Inductive Power Transfer for Transportation Applications. IEEE J. Emerg. Sel. Top. Power Electron. 2013, 1, 28–41. [Google Scholar] [CrossRef]
- Feng, H.; Cai, T.; Duan, S.; Zhang, X.; Hu, H.; Niu, J. A Dual-Side-Detuned Series–Series Compensated Resonant Converter for Wide Charging Region in a Wireless Power Transfer System. IEEE Trans. Ind. Electron. 2017, 65, 2177–2188. [Google Scholar] [CrossRef]
- Bertoluzzo, M.; Forato, M.; Sieni, E. Optimization of the Compensation Networks for WPT Systems. In Proceedings of the IECON 2018—44th Annual Conference of the IEEE Industrial Electronics Society, Washington, DC, USA, 21–23 October 2018; pp. 4828–4833. [Google Scholar]
- Deb, K.; Pratap, A.; Agarwal, S.; Meyarivan, T. A fast and elitist multiobjective genetic algorithm: NSGA-II. IEEE Trans. Evol. Comput. 2002, 6, 182–197. [Google Scholar] [CrossRef]
- Sieni, E.; Di Barba, P.; Dughiero, F.; Forzan, M. Self-adaptive migration NSGA and optimal design of inductors for magneto-fluid hyperthermia. Eng. Comput. 2018, 35, 1727–1746. [Google Scholar] [CrossRef]
- Zhang, W.; Wong, S.-C.; Tse, C.K.; Chen, Q. Design for Efficiency Optimization and Voltage Controllability of Series–Series Compensated Inductive Power Transfer Systems. IEEE Trans. Power Electron. 2013, 29, 191–200. [Google Scholar] [CrossRef]
- Jha, R.K.; Buja, G.; Bertoluzzo, M.; Giacomuzzi, S.; Mude, K.N. Performance Comparison of the One-Element Resonant EV Wireless Battery Chargers. IEEE Trans. Ind. Appl. 2018, 54, 2471–2482. [Google Scholar] [CrossRef]
- Wang, S.; Chen, J.; Hu, Z.; Rong, C.; Liu, M. Optimisation design for series–series dynamic WPT system maintaining stable transfer power. IET Power Electron. 2017, 10, 987–995. [Google Scholar] [CrossRef]
- Bertoluzzo, M.; Sieni, E. Optimal design of the compensation networks of an inductive wireless power transfer system. COMPEL Int. J. Comput. Math. Electr. Electron. Eng. 2019, 39, 231–238. [Google Scholar] [CrossRef]
- Schneider, J. Wireless Power Transfer for Light-Duty Plug-in/Electric Vehicles and Alignment Methodology; SAE International J2954 Taskforce: Warrendale, PA, USA, 2016. [Google Scholar]
- Di Barba, P.; Dughiero, F.; Forzan, M.; Sieni, E. SELF-adaptive Migration-NSGA algorithm: An application in uncertainty-tolerant magnetic field synthesis for MFH inductor design. Int. J. Appl. Electromagn. Mech. 2018, 56, 17–32. [Google Scholar] [CrossRef]
- Di Barba, P.; Mognaschi, M.E.; Lowther, D.A.; Sykulski, J.K. A Benchmark TEAM Problem for Multi-Objective Pareto Optimization of Electromagnetic Devices. IEEE Trans. Magn. 2017, 54, 1–4. [Google Scholar] [CrossRef]
- Di Barba, P.; Dughiero, F.; Forzan, M.; Mognaschi, M.E.; Sieni, E. New solutions to a multi-objective benchmark problem of induction heating: An application of computational biogeography and evolutionary algorithms. Arch. Electr. Eng. 2018, 67, 139–149. [Google Scholar] [CrossRef]
- Sieni, E.; Di Barba, P.; Forzan, M. Migration NSGA: Method to improve a non-elitist searching of Pareto front, with application in magnetics. Inverse Probl. Sci. Eng. 2015, 24, 543–566. [Google Scholar] [CrossRef]
- Di Barba, P.; Mognaschi, M.E.; Sieni, E. Many Objective Optimization of a Magnetic Micro–Electro–Mechanical (MEMS) Micromirror with Bounded MP-NSGA Algorithm. Mathematics 2020, 8, 1509. [Google Scholar] [CrossRef]
- Plackett, R.L.; Burman, J.P. The Design of Optimum Multifactorial Experiments. Biometrika 1946, 33, 305–325. [Google Scholar] [CrossRef]
- Design and Analysis of Experiments: Amazon.it: Douglas C. Montgomery: Libri in Altre Lingue. Available online: http://www.amazon.it/Design-Analysis-Experiments-Douglas-Montgomery/dp/1118146921 (accessed on 28 November 2014).
- Di Barba, P.; Dughiero, F.; Forzan, M.; Sieni, E. A Paretian Approach to Optimal Design with Uncertainties: Application in Induction Heating. IEEE Trans. Magn. 2014, 50, 917–920. [Google Scholar] [CrossRef]
- Di Barba, P.; Forzan, M.; Sieni, E.; Dughiero, F. Sensitivity-based optimal shape design of induction-heating devices. IET Sci. Meas. Technol. 2015, 9, 579–586. [Google Scholar] [CrossRef]
- Buja, G.; Bertoluzzo, M.; Mude, K.N. Design and Experimentation of WPT Charger for Electric City Car. IEEE Trans. Ind. Electron. 2015, 62, 7436–7447. [Google Scholar] [CrossRef]













| Parameter | Symbol | Value |
|---|---|---|
| Track coil inductance | Lt | 120 µH |
| Pickup coil inductance | Lpu | 120 µH |
| Maximum mutual inductance | Mmax | 30 µH |
| Nominal battery resistance | RB,N | 5.6 Ω |
| Minimum battery resistance | RB,m | 3.6 Ω |
| Equivalent load resistance | RL | 13 Ω |
| Equivalent series resistance of track coil | Rt | 0.8 Ω |
| Equivalent series resistance of pickup | Rpu | 0.8 Ω |
| Nominal supply angular frequency | ω | 2π·85,000 rad s−1 |
| Distance between track coil and pickup | d | 13 cm |
| Ct (nF) | Cpu (nF) | η | PL (W) | f3 |
|---|---|---|---|---|
| 31.75 | 29.22 | 0.91 | 0.01 | 1.28 × 10−6 |
| 24.18 | 23.04 | 0.830 | 0.080 | 1.34 × 10−2 |
| 23.78 | 23.32 | 0.838 | 0.072 | 1.27 × 10−2 |
| 23.02 | 24.42 | 0.864 | 0.050 | 1.00 × 10−2 |
| 23.53 | 25.51 | 0.883 | 0.031 | 7.41 × 10−3 |
| 23.03 | 26.53 | 0.895 | 0.021 | 5.10 × 10−3 |
| 26.23 | 26.00 | 0.891 | 0.03 | 4.34 × 10−3 |
| 25.62 | 22.19 | 0.829 | 0.062 | 1.13 × 10−2 |
| 26.29 | 19.77 | 0.751 | 0.095 | 1.57 × 10−2 |
| Component Name | Symbol | Part Name/Value |
|---|---|---|
| Grid filter inductance | Lg | 3 mH |
| Grid diode rectifier | GR | Vishay KBPC6 |
| Transmitting side dc bus capacitor | Cdc,t | 4.7 mF |
| High frequency inverter switches | HFI | CREE CCS050M12CM2 |
| High frequency diode rectifier | HFDR | 4 × ROHM SCS220AE2 |
| Receiving side dc bus capacitor | Cdc,r | 300 µH |
| dc-dc converter switches | DC-DC | 2 × ROHM SCT2120AF |
| Output filter inductance | Lo | 3 mH |
| Point | Ct (µF) | Cpu (µF) | PL,comp (mW) | ηcomp. | PL,meas (mW) | ηmeas. | Vs,rms (V) | It,rms (A) | VL,rms (V) | Ipu,rms (A) | PFt | PFpu |
|---|---|---|---|---|---|---|---|---|---|---|---|---|
| 1 | 26.25 | 26.09 | 29.7 | 0.892 | 38.3 | 0.876 | 52.75 | 2.49 | 37.97 | 3.05 | 0.926 | 0.920 |
| 2 | 27.69 | 28.97 | 25.5 | 0.899 | 29.2 | 0.898 | 55.59 | 2.44 | 35.01 | 2.79 | 0.738 | 0.921 |
| 3 | 26.25 | 23.68 | 58.4 | 0.837 | 60.2 | 0.802 | 52.17 | 4.81 | 46.88 | 3.80 | 0.813 | 0.918 |
| 4 | 26.25 | 23.68 | 58.4 | 0.837 | 59.6 | 0.800 | 52.28 | 4.78 | 46.70 | 3.79 | 0.813 | 0.918 |
© 2020 by the authors. Licensee MDPI, Basel, Switzerland. This article is an open access article distributed under the terms and conditions of the Creative Commons Attribution (CC BY) license (http://creativecommons.org/licenses/by/4.0/).
Share and Cite
Bertoluzzo, M.; Giacomuzzi, S.; Sieni, E. Automatic Optimization of the Compensation Networks of a Wireless Power Transfer System. Energies 2020, 13, 5298. https://doi.org/10.3390/en13205298
Bertoluzzo M, Giacomuzzi S, Sieni E. Automatic Optimization of the Compensation Networks of a Wireless Power Transfer System. Energies. 2020; 13(20):5298. https://doi.org/10.3390/en13205298
Chicago/Turabian StyleBertoluzzo, Manuele, Stefano Giacomuzzi, and Elisabetta Sieni. 2020. "Automatic Optimization of the Compensation Networks of a Wireless Power Transfer System" Energies 13, no. 20: 5298. https://doi.org/10.3390/en13205298
APA StyleBertoluzzo, M., Giacomuzzi, S., & Sieni, E. (2020). Automatic Optimization of the Compensation Networks of a Wireless Power Transfer System. Energies, 13(20), 5298. https://doi.org/10.3390/en13205298

