HV Transformer Protection and Stabilization under Geomagnetically Induced Currents
Abstract
:1. Introduction
2. GIC Impact on Power System Protection
- Impact on CT saturation [3,12]: generally, GIC may affect operation of CTs under steady-state and during faults. Since steady-state CT errors evoked by GIC are insignificant, protective relays should cope with such errors and no mal-operation will occur. During faults, unipolar GIC may lead to transient CT saturation. In such conditions, usually substantial and fast CT saturation takes place. This phenomenon is similar to the one observed under CT saturation from fault currents with a high level of exponential component. Thus, it does not pose any new issue for protection devices since appropriate techniques are used to mitigate this effect. Basically, the influence of CT saturation due to the presence of GIC on power system protection may be summarized as follows:
- Under in-zone faults overcurrent and distance relays may underreach what would result only in operation delay.
- Under external faults line differential protections are already immune to CT saturation of such a character.
- Under external faults transformer differential protection should be secure with application of percentage restraint.
- Impact on power transformer [3,4,6,7,11,13]: under GD, quasi-DC geomagnetic current creates unipolar flux in power transformer cores. The magnitude of the DC flux shift in the core depends on the magnitude of the DC geomagnetic current, number of turns in the transformer windings, and magnetic reluctance of the DC flux path. Hence, this DC flux will be the lowest in three-limb core transformers due to the very high reluctance path for DC flux in such type of units. This flux superimposes onto nominal AC flux. If this offset is significant, the transformer starts operating in saturation range. Consequently, short duration ripples (from 1/10th to 1/6th of the cycle) appear in the transformer, magnetizing currents. Such saturation of the transformer creates a large spectrum of higher harmonics (harmonic content is the lowest in three-limb core units) and increases reactive power demand. A high level of harmonics may threaten proper power protection operations, which is discussed in-depth in Section 3.
- Impact on generators [14,15]: synchronous generators are isolated from the power grid by their associated step-up transformers. Thus, GDs do not jeopardize the generator’s operation directly. Nevertheless, GIC may indirectly cause overheating of turbo-generators. As it was mentioned above, power transformers saturated by GIC increase demands for higher harmonic currents and reactive power. Obviously, these demands must be compensated by generators. Higher harmonics currents in the generator stator create magnetic fields that, in turn, induce currents in the rotor and dumping winding. These currents may lead to the rotor overheating and may cause undesirable vibrations. Additionally, the heating process will be reinforced by increased reactive power generation and negative sequence current.
- Impact on VAR compensation [3,4,5]: increased reactive power demands, resulting from GIC-related transformer saturation, may deteriorate power system voltage stability. Hence, under GIC conditions efficient VAR compensation becomes a crucial issue. It means that capacitor banks and SVCs need to be kept in service as long as possible. Unfortunately, high levels of higher harmonics may lead to overcharging these VAR compensators and consequently lead to protection tripping. Thus, to ensure appropriate system voltage regulation, the settings of VAR compensator protections should be correctly chosen.
- Impact on protective relaying [3,7,8]: under GD one may expect both a lack of power system protection operation in case of in-zone faults and undesirable relay operation under normal operation or external events. A high level of higher harmonics may mask in-zone faults seen by protective relay when the protection algorithm employs higher harmonics for blocking purpose. It may increase operation delay or may even cause mis-operation, which consequently may endanger the protected object itself as well as human life. More dangerous, from the viewpoint of the power system operation, is the overreaction of protective relays. If the protection is sensitive to higher harmonics content then GD may be misinterpreted as an in-zone fault leading to undesirable tripping. When more power system protections mal-operate simultaneously then such cascading failures may lead to serious blackout.
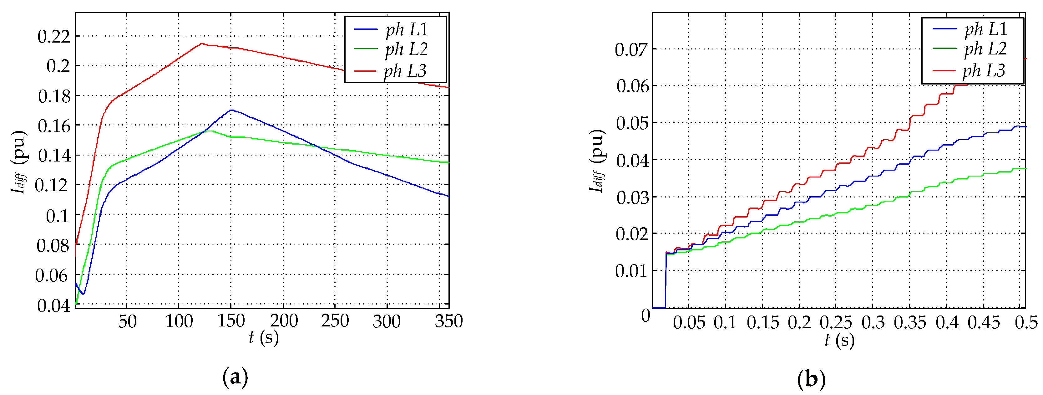
3. Analysis of GIC Cases
- A high level of DC component in the transformer neutral current.
- A wide spectrum of higher harmonics in phase/differential currents.
- Under extreme cases differential current may achieve a high level.
- Since GIC is not a rapid phenomenon, the magnitude of differential current rises gradually.
4. Protection Stabilization Algorithms
- Algorithm A: this algorithm employs the fact that GDs are not rapid phenomena and thus the magnitude of differential current rises gradually. Therefore, the blocking signal is determined as a rate of change of differential current amplitude Idiff:where:Ts—sampling time.For this algorithm the blocking condition is defined as follows:and the operation scheme is presented in Figure 11.
- Algorithm B: this algorithm employs the fact that a high level of DC component is present in the transformer neutral current when subjected to GD phenomenon. Thus, the blocking signal is determined as an average value of DC component measured in neutral connection:where:IN_DC is the DC component in neutral current,Inom is the transformer rated current,AP = 3000,N is the number of samples in one period of a fundamental frequency component.For this algorithm, the blocking condition is defined by the following equation:and the operation scheme is presented in Figure 12.
5. Conclusions and Recommendations
Author Contributions
Funding
Conflicts of Interest
References
- Oyedokun, D.T.O.; Cilliers, P.J. Classical and Recent Aspects of Power System Optimization; Academic Press: Cambridge, MA, USA, 2018; pp. 421–462. ISBN 9780128124413. [Google Scholar]
- Kasztenny, B.; Fischer, N.; Taylor, D.; Prakash, T.; Jalli, J. Do CTs Like DC? Performance of Current Transformers with Geomagnetically Induced Currents. In Proceedings of the 69th Annual Conference for Protective Relay Engineers (CPRE), College Station, TX, USA, 4–7 April 2016. [Google Scholar]
- Girgis, R.; Vedante, K. Effect of GIC on Power Transformers & Power Systems. In Proceedings of the PES T&D, Orlando, FL, USA, 7–10 May 2012. [Google Scholar]
- Girgis, R.; Vedante, K.; Gramm, A. Effects of Geomagnetically Induced Currents on Power Transformers and Power Systems. CIGRE 2012, Session A2-304. Available online: https://library.e.abb.com/public/cbd31097f5bd26bfc1257b16002e30f1/A2_304_Cigre2012_1LAB000513_Effects%20of%20geomagnetically%20induced%20currents%20on%20power%20transformers%20and%20power%20systems.pdf (accessed on 20 July 2020).
- Hutchins, T. Geomagnetically Induced Currents and Their Effect on Power System. Master’s Thesis, Graduate College of the University of Illinois at Urbana-Champaign, Champaign, IL, USA, 2012. [Google Scholar]
- Berge, J.E. Impact of Geomagnetically Induced Currents on Power Transformers. Ph.D. Thesis, Electrical and Computer Engineering, The University of Western Ontario, London, ON, Canada, 2011. Available online: https://ir.lib.uwo.ca/etd/132 (accessed on 20 July 2020).
- Gurevich, V. Protection of Power Transformers against Geomagnetically Induced Currents. Serb. J. Electr. Eng. 2011, 8, 333–339. [Google Scholar] [CrossRef]
- Kappenman, J. Low-Frequency Protection Concepts for the Electric Power Grid: Geomagnetically Induced Current (GIC) and E3 HEMP Mitigation. Available online: http://citeseerx.ist.psu.edu/viewdoc/download?doi=10.1.1.734.6345&rep=rep1&type=pdf (accessed on 20 July 2020).
- Kappenman, J.G.; Norr, S.R.; Sweezy, G.A.; Carlson, D.L.; Albertson, V.D.; Harder, J.E.; Damsky, B.L. GIC Mitigation: A Neutral Blocking/Bypass Device to Prevent the Flow of GIC in Power Systems. IEEE Trans. Power Deliv. 1991, 6, 1271–1281. [Google Scholar] [CrossRef]
- Faxvog, F.R.; Fuchs, G.; Jensen, W.; Wojtczak, D.; Marz, M.B.; Dahman, S.R. HV Power Transformer Neutral Blocking Device (NBD) Operating Experience in Wisconsin. In Proceedings of the MIPSYCON Conference, St. Paul, MN, USA, 7 November 2017. [Google Scholar]
- Elovaara, J.; Lindblad, P.; Viljanen, A.; Mäkinen, T.; Pirjola, R.; Larsson, S.; Kielén, B. Geomagnetically Induced Currents in the Nordic Power System and Their Effects on Equipment, Control, Protection and Operation. In Proceedings of the CIGRE 1992 Session, Paper 36-301, Paris, France, 30 August–5 September 1992. [Google Scholar]
- Kasztenny, B.; Taylor, D.; Fischer, N. Impact of Geomagnetically Induced Currents on Protection Current Transformers. In Proceedings of the 13th International Conference on Developments in Power System Protection, Edinburgh, UK, 7–10 March 2016. [Google Scholar]
- Ramírez-Nino, J.; Haro-Hernández, C.; Rodriguez-Rodriguez, J.H.; Mijarez, R. Core saturation effects of geomagnetic induced currents in power transformers. J. Appl. Res. Technol. 2016, 14, 87–92. [Google Scholar] [CrossRef]
- Walling, R. GMD Impact on Generators. Walling Energy Systems Consulting, LLC, Power System Relaying and Control Committee. Available online: https:/www.pes-psrc.org/kb/published/presentations/GMD%20Generator%20Impacts.pdf (accessed on 20 July 2020).
- Rezaei-Zare, A.; Marti, L. Generator Thermal Stress during a Geomagnetic Disturbance. In Proceedings of the IEEE Power & Energy Society General Meeting, Vancouver, BC, Canada, 21–25 July 2013. [Google Scholar]
- Watari, S. Estimation of geomagnetically induced currents based on the measurement data of a transformer in a Japanese power network and geoelectric field observations. Earth Planets Space 2015, 67. [Google Scholar] [CrossRef]
- Boteler, D.H. Methodology for simulation of geomagnetically induced currents in power systems on Protection Current Transformers. J. Space Weather Space Clim. 2014, 4, A21. [Google Scholar] [CrossRef]
- Thorberg, R. Risk Analysis of Geomagnetically Induced Currents in Power Systems. Division of Industrial Electrical Engineering and Automation Faculty of Engineering, LTH, Lund University, Rep. LUTEDX/(TEIE-5296)/1-54/(2012). Available online: https://www.iea.lth.se/publications/MS-Theses/Full%20document/5296_full_document_GIC.pdf (accessed on 20 July 2020).
- Boteler, D.H. The use of linear superposition in modeling geomagnetically induced currents. In Proceedings of the IEEE Power & Energy Society General Meeting, Vancouver, BC, Canada, 21–25 July 2013. [Google Scholar] [CrossRef]
- Boteler, D.H.; Lackey, A.J.C.; Marti, L.; Shelemy, S. Equivalent circuits for modelling geomagnetically induced currents from a neighbouring network. In Proceedings of the IEEE Power & Energy Society General Meeting, Vancouver, BC, Canada, 21–25 July 2013. [Google Scholar] [CrossRef]



















© 2020 by the authors. Licensee MDPI, Basel, Switzerland. This article is an open access article distributed under the terms and conditions of the Creative Commons Attribution (CC BY) license (http://creativecommons.org/licenses/by/4.0/).
Share and Cite
Bejmert, D.; Boehme, K.; Kereit, M.; Rebizant, W. HV Transformer Protection and Stabilization under Geomagnetically Induced Currents. Energies 2020, 13, 4693. https://doi.org/10.3390/en13184693
Bejmert D, Boehme K, Kereit M, Rebizant W. HV Transformer Protection and Stabilization under Geomagnetically Induced Currents. Energies. 2020; 13(18):4693. https://doi.org/10.3390/en13184693
Chicago/Turabian StyleBejmert, Daniel, Klaus Boehme, Matthias Kereit, and Waldemar Rebizant. 2020. "HV Transformer Protection and Stabilization under Geomagnetically Induced Currents" Energies 13, no. 18: 4693. https://doi.org/10.3390/en13184693
APA StyleBejmert, D., Boehme, K., Kereit, M., & Rebizant, W. (2020). HV Transformer Protection and Stabilization under Geomagnetically Induced Currents. Energies, 13(18), 4693. https://doi.org/10.3390/en13184693

