Numerical Investigation of a Free-Piston Hydrogen-Gasoline Engine Linear Generator
Abstract
1. Introduction
2. FPGLG System Description
2.1. Prototype Configuration
2.2. System Dynamic Model
- According to the initial parameters and the Wiebe function, the piston operation rules can be obtained by the zero-dimensional dynamic model, as the above system dynamic model illustration.
- Based on the piston operation rules from step 1, the CFD model of the combustion process is set up by the piston displacement, and it is used to calculate the in-cylinder heat release process.
- Based on step 2, the simulation results of the in-cylinder heat release process are returned to the combustion process of the dynamic piston model, and replace the Wiebe function (including the in-cylinder pressure and temperature in the zero-dimension model), then the piston operation profile is updated.
- Based on step 3, the CFD model of the combustion process is re-established according to the updated piston operation profile, and it is used to re-calculate the in-cylinder heat release process.
- Repeat step (2), step (3), and step (4) until they meet the iterative convergence conditions (The difference of the in-cylinder pressures achieved from the zero-dimension calculation results, and the CFD calculation results were less than 5%, according to the previous paper [7]).
2.3. System CFD Model
3. Simulation Results and Discussion
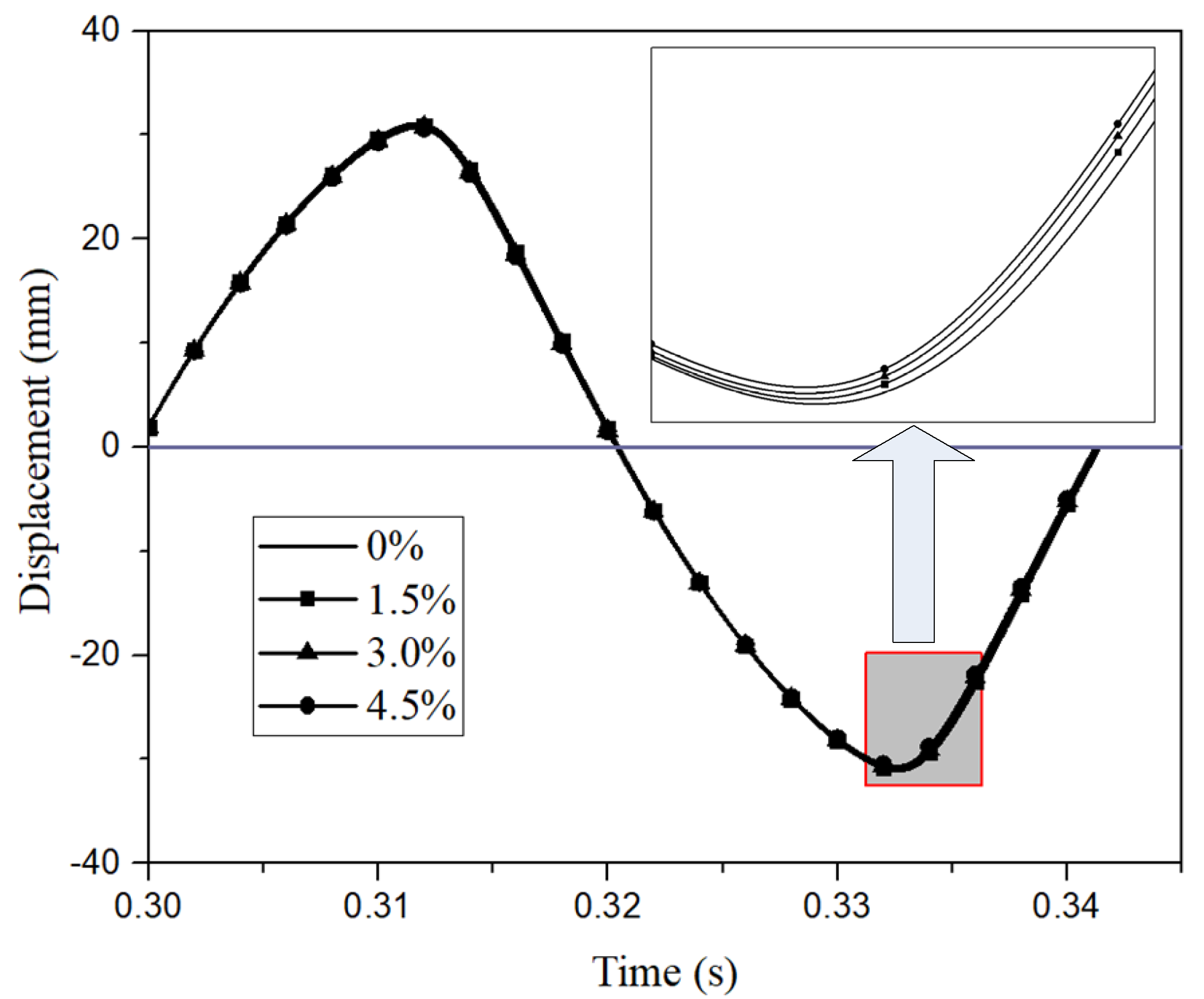
3.1. Different Hydrogen Volume Fraction
3.2. Different Ignition Timing
4. Conclusions
- It was observed that all the piston displacement profiles with different hydrogen volume fractions are similar to that of a constant amplitude and frequency oscillation system, regardless of the hydrogen volume fractions in the total intake gas volume. However, the piston TDC, the peak piston velocity, and the operation frequency of the FPELG are decreased when the hydrogen fractions change from 0% to 4.5%. Since the total input energy of each cycle is reduced as the hydrogen volume fraction increases, the FPELG operated under fixed ignition timing and at stoichiometric conditions.
- The peak in-cylinder gas pressure is in a positive correlation with the hydrogen volume fraction increase, due to the fast flame speed and short combustion duration of the hydrogen fuel. Meanwhile, the indicated thermal efficiency of the free-piston engine is increased from 32.3% to 35.3% with the hydrogen volume ratio changes from 0% to 4.5%, when the free-piston engine operates at stoichiometric conditions with fixed ignition timing. As the higher hydrogen volume fraction leads to a higher degree of constant volume during the combustion process and means that the operation process of the free-piston engine is closer to the ideal cycle when the hydrogen volume fraction increases.
- The ignition timing advance increases, the piston TDC is decreased. The peak piston velocity and the peak in-cylinder gas pressure are in negative correlation with the ignition timing advance. The indicated thermal efficiency of the free-piston engine is increased with the equivalent degree of ignition timing advance from to regardless of the hydrogen volume fraction. Therefore, the ignition timing of the FPELG under the SI combustion mode is supposed to be an effective and practical control variable for the future stable operation control system.
Author Contributions
Funding
Conflicts of Interest
Nomenclature
| CFD | Computational fluid dynamics |
| EMF | Back electromotive force |
| FPELG | Free piston engine linear generator |
| FPE | Free-piston engine |
| FPEC | Free-piston energy convertor |
| ICEs | Internal combustion engines |
| HCCI | Homogeneous charge compression ignition |
| PCCI | Premixed charged compression ignition |
| SI | Spark ignition |
| TDC | Top dead left |
| A | The top area the piston (m2) |
| Acyl | The area of the in-cylinder surface in contact with the gas (m2) |
| Aleakage | The leakage area (m2) |
| a | 5 |
| b | 2 |
| Cd | Combustion duration (s) |
| CD | The discharge coefficient (-) |
| Cf | Coefficient friction (-) |
| Ff | Friction force (N) |
| Fe | The electric load force of the generator (N) |
| h | The coefficient of heat transfer (-) |
| kf | Thrust coefficient of the force constant (N/A) |
| kε | Coefficient of the electromotive force of the generator (V/m/s) |
| L | Inductance of the generator (H) |
| The low heating value of gasoline (J/kg) | |
| The low heating value of hydrogen (J/kg) | |
| m | Moving mass (kg) |
| mair-gaso | Air mass for gasoline fuel (kg) |
| The gasoline mass in each cycle (kg) | |
| The hydrogen mass in each cycle (kg) | |
| mgas | In-cylinder gas mass (kg) |
| p | In-cylinder gas pressure (bar) |
| pl | In-cylinder gas pressure in the left cylinder (bar) |
| pr | In-cylinder gas pressure in the right cylinder (bar) |
| Ps | The gas pressure in the pumping box (bar) |
| psl | Scavenging box gas pressure of the left (bar) |
| psr | Scavenging box gas pressure of the right (bar) |
| The total input energy from gasoline (J) | |
| The total input energy from hydrogen (J) | |
| Qh | Heat transferred to the cylinder wall (J) |
| Qc | Heat released from the combustion process (J) |
| RS | Resistance of the coil (Ω) |
| RL | Resistance of the external load (Ω) |
| T0 | The air temperature (K) |
| Tw | The average surfaces temperature of the cylinder wall (K) |
| vp | The average mover speed (m/s) |
| V | Instantaneous cylinder volume (m3) |
| The intake hydrogen volume in each cycle (m3) | |
| The intake volume (working volume) at the end of intake process (m3) | |
| x | Piston displacement (m) |
| ts | The start timing during the combustion process (s) |
| Qin | The overall heat input in each cycle (J) |
| The mover acceleration (m/s2) | |
| The mover velocity (m/s) | |
| γ | Ratio of heat capacities (-) |
| Air density (kg/m3) | |
| Hydrogen density (kg/m3) | |
| Air fuel ratio of gasoline (-) | |
| The volume rate of hydrogen to the total intake gas volume in each cycle (-) | |
| Air fuel ratio of hydrogen (-) |
References
- Chendong, G.; Zuo, Z.; Jia, B.; Ziwei, Z.; Huihua, F.; Roskilly, A. Parametric analysis of a dual-piston type free-piston gasoline engine linear generator. Energy Procedia 2019, 158, 1431–1436. [Google Scholar] [CrossRef]
- Jia, B.; Smallbone, A.; Zuo, Z.; Feng, H.; Roskilly, A.P. Design and simulation of a two- or four-stroke free-piston engine generator for range extender applications. Energy Convers. Manag. 2016, 111, 289–298. [Google Scholar] [CrossRef]
- Guo, C.; Zuo, Z.; Feng, H.; Jia, B.; Roskilly, T. Review of recent advances of free-piston internal combustion engine linear generator. Appl. Energy 2020, 269, 115084. [Google Scholar] [CrossRef]
- Jia, B.; Zuo, Z.; Tian, G.; Feng, H.; Roskilly, A. Development and validation of a free-piston engine generator numerical model. Energy Convers. Manag. 2015, 91, 333–341. [Google Scholar] [CrossRef]
- Feng, H.; Guo, C.; Jia, B.; Zuo, Z.; Guo, Y.; Roskilly, T. Research on the intermediate process of a free-piston linear generator from cold start-up to stable operation: Numerical model and experimental results. Energy Convers. Manag. 2016, 122, 153–164. [Google Scholar] [CrossRef]
- Mikalsen, R.; Roskilly, A.P. A review of free-piston engine history and applications. Appl. Therm. Eng. 2007, 27, 2339–2352. [Google Scholar] [CrossRef]
- Feng, H.; Guo, C.; Yuan, C.; Guo, Y.; Zuo, Z.; Roskilly, A.P.; Jia, B. Research on combustion process of a free piston diesel linear generator. Appl. Energy 2016, 161, 395–403. [Google Scholar] [CrossRef]
- Nandkumar, S. Two-Stroke Linear Engine; West Virginia University Libraries: Morgantown, WV, USA, 2019. [Google Scholar]
- Goertz, M.; Peng, L. Free Piston Engine Its Application and Optimization; SAE Technical Paper 2000-01-0996; SAE International: Warrendale, PA, USA, 2000. [Google Scholar]
- Mao, J.; Zuo, Z.; Feng, H. Parameters coupling designation of diesel free-piston linear alternator. Appl. Energy 2011, 88, 4577–4589. [Google Scholar] [CrossRef]
- Pescara, R.P. Motor Compressor Apparatus. U.S. Patent 1,657,641, 31 January 1928. [Google Scholar]
- Jia, B.; Tian, G.; Feng, H.; Zuo, Z.; Roskilly, A. An experimental investigation into the starting process of free-piston engine generator. Appl. Energy 2015, 157, 798–804. [Google Scholar] [CrossRef]
- Atkinson, C.M.; Petreanu, S.; Clark, N.N.; Atkinson, R.J.; McDaniel, T.I.; Nandkumar, S.; Famouri, P. Numerical Simulation of a Two-Stroke Linear Engine-Alternator Combination; SAE Technical Paper 1999-01-0921; SAE International: Warrendale, PA, USA, 1999. [Google Scholar]
- Famouri, P.; Cawthorne, W.R.; Clark, N.; Nandkumar, S.; Atkinson, C.; Atkinson, R.; McDaniel, T.; Petreanu, S. Design and testing of a novel linear alternator and engine system for remote electrical power system. In Proceedings of the Power Engineering Society 1999 Winter Meeting, New York, NY, USA, 31 January–4 February 1999. [Google Scholar]
- William, C.; Parviz, F.; Nigel, C. Integrated Design of Linear Alternator/Engine System for HEV Power Unit. In Proceedings of the IEMDC 2001. IEEE International Electric Machines and Drives Conference, Cambridge, MA, USA, 17–20 June 2001; pp. 267–274. [Google Scholar]
- Shoukry, E.F. Numerical Simulation for Parametric Study of a Two-Stroke Compression Ignition Direct Injection Linear Engine. SAE Trans. 2002, 111, 2297–2308. [Google Scholar]
- Bade, M.; Clark, N.; Famouri, P.; Guggilapu, P. Feasibility of Multiple Piston Motion Control Approaches in a Free Piston Engine Generator; SAE Technical Paper 2019-01-2559; SAE International: Warrendale, PA, USA, 2019. [Google Scholar]
- Goldborough, S.S.; Blarigan, P.V. A Numerical Study of a Free Piston IC Engine Operating on Homogeneous Charge Compression Ignition Combustion. SAE Trans. 1999, 108, 959–972. [Google Scholar]
- Blarigan, P.V. Advanced internal combustion engine research. In Proceedings of the 2000 DOE Hydrogen Program Review, San Ramon, CA, USA, 9–11 May 2000. NREL/CP-570-28890. [Google Scholar]
- Van Blarigan, P.; Paradiso, N.; Goldsborough, S. Homogeneous Charge Compression Ignition with a Free Piston: A New Approach to Ideal Otto Cycle Performance; SAE Technical Paper 982484; SAE International: Warrendale, PA, USA, 1998. [Google Scholar]
- Blarigan, P.V. Developing a Thermodynamic Fuel Cell; Sandia National Laboratories: Washington, DC, USA, 2003. [Google Scholar]
- Fredriksson, J.; Denbratt, I. Simulation of a Two-Stroke Free Piston Engine; SAE Technical Paper Series 2004-01-1871; SAE International: Warrendale, PA, USA, 2004. [Google Scholar]
- Fredriksson, J.; Bergman, M.; Golovitchev, V.I. Modeling the Effect of Injection Schedual Change on Free Piston Engine Operation; SAE Technical Paper Series 2006-01-0449; SAE International: Warrendale, PA, USA, 2006. [Google Scholar]
- Chiang, C.-J.; Yang, J.-L.; Lan, S.-Y.; Shei, T.-W.; Chiang, W.-S.; Chen, B.-L. Dynamic modeling of a SI/HCCI free-piston engine generator with electric mechanical valves. Appl. Energy 2013, 102, 336–346. [Google Scholar] [CrossRef]
- Hung, N.B.; Lim, O.; Iida, N. The effects of key parameters on the transition from SI combustion to HCCI combustion in a two-stroke free piston linear engine. Appl. Energy 2015, 137, 385–401. [Google Scholar] [CrossRef]
- Kosaka, H.; Akita, T.; Moriya, K.; Goto, S.; Hotta, Y.; Umeno, T.; Nakakita, K. Development of Free Piston Engine Linear Generator System Part 1—Investigation of Fundamental Characteristics; SAE Technical Paper Series 2014-01-1203; SAE International: Warrendale, PA, USA, 2014. [Google Scholar]
- Goto, S.; Moriya, K.; Kosaka, H.; Akita, T.; Hotta, Y.; Umeno, T.; Nakakita, K. Development of Free Piston Engine Linear Generator System Part 2—Investigation of Control System for Generator; SAE Technical Paper Series 2014-01-1193; SAE International: Warrendale, PA, USA, 2014. [Google Scholar]
- Mikalsen, R.; Roskilly, A.P. The control of a free-piston engine generator. Part 1: Fundamental analyses. Appl. Energy 2010, 87, 1273–1280. [Google Scholar] [CrossRef]
- Mikalsen, R.; Roskilly, A.P. The control of a free-piston engine generator. Part 2: Engine dynamics and piston motion control. Appl. Energy 2010, 87, 1281–1287. [Google Scholar] [CrossRef]
- Mikalsen, R.; Roskilly, A.P. The design and simulation of a two-stroke free-piston compression ignition engine for electrical power generation. Appl. Therm. Eng. 2008, 28, 589–600. [Google Scholar] [CrossRef]
- Mikalsen, R.; Roskilly, A.P. Performance simulation of a spark ignited free-piston engine generator. Appl. Therm. Eng. 2008, 28, 1726–1733. [Google Scholar] [CrossRef]
- Mikalsen, R.; Roskilly, A.P. Coupled dynamic–multidimensional modelling of free-piston engine combustion. Appl. Energy 2009, 86, 89–95. [Google Scholar] [CrossRef]
- Jia, B.; Smallbone, A.; Feng, H.; Tian, G.; Zuo, Z.; Roskilly, A. A fast response free-piston engine generator numerical model for control applications. Appl. Energy 2016, 162, 321–329. [Google Scholar] [CrossRef]
- Jia, B.; Zuo, Z.; Feng, H.; Tian, G.; Smallbone, A.; Roskilly, A. Effect of closed-loop controlled resonance based mechanism to start free piston engine generator: Simulation and test results. Appl. Energy 2016, 164, 532–539. [Google Scholar] [CrossRef]
- Jia, B.; Mikalsen, R.; Smallbone, A.; Zuo, Z.; Feng, H.; Roskilly, A.P. Piston motion control of a free-piston engine generator: A new approach using cascade control. Appl. Energy 2016, 179, 1166–1175. [Google Scholar] [CrossRef]
- Ji, C.W.; Wang, S.F.; Yan, H.; Deng, F.S.; Diao, H.L.; Liu, Y. Experiment on Combustion and Emissions Characteristics of an IC Engine Blended With Hydrogen. J. Beijing Univ. Technol. 2008, 34, 1326–1331. [Google Scholar]
- Heywood, J.B. Internal Combustion Engine Fundamentals; McGraw-Hill: New York, NY, USA, 1988. [Google Scholar]
- Yuan, C.; Jing, Y.; Liu, C.; He, Y. Effect of variable stroke on fuel combustion and heat release of a free piston linear hydrogen engine. Int. J. Hydrogen Energy 2019, 44, 20416–20425. [Google Scholar] [CrossRef]
- Colin, O.; Benkenida, A.; Angelberger, C. 3D Modeling of Mixing, Ignition and Combustion Phenomena in Highly Stratified Gasoline Engines. Oil Gas Sci. Technol. 2003, 58, 47–62. [Google Scholar] [CrossRef]
- Miao, Y.; Zuo, Z.; Feng, H.; Guo, C.; Song, Y.; Jia, B.; Guo, Y. Research on the Combustion Characteristics of a Free-Piston Gasoline Engine Linear Generator during the Stable Generating Process. Energies 2016, 9, 655. [Google Scholar] [CrossRef]
- Fontana, G.; Galloni, E.; Palmaccio, R.; Torella, E. Numerical and Experimental Analysis of Different Combustion Chambers for a Small Spark-Ignition Engine; SAE Technical Paper 2004-01-1998; SAE International: Warrendale, PA, USA, 2004. [Google Scholar]
- Ji, C.; Wang, S. Effect of hydrogen addition on the idle performance of a spark ignited gasoline engine at stoichiometric condition. Int. J. Hydrogen Energy 2009, 34, 3546–3556. [Google Scholar] [CrossRef]
- Xu, P.; Ji, C.; Wang, S.; Cong, X.; Ma, Z.; Tang, C.; Meng, H.; Shi, C. Effects of direct water injection on engine performance in engine fueled with hydrogen at varied excess air ratios and spark timing. Fuel 2020, 269, 117209. [Google Scholar] [CrossRef]










| Parameters | Values |
|---|---|
| Bore (mm) | 52.5 |
| Effective stroke (mm) | 34.0 |
| Total stroke (mm) | 68.0 |
| Piston and connecting rod mass (kg) | 5.0 |
| The thrust force constant of the linear generator (N/A) | 74.4 |
| Back EMF (Back electromotive force) constant (N/m/s) | 85.9 |
| Coil resistance (Ω) | 14.0 |
| External load resistance (Ω) | 28.0 |
| Parameters | Values |
|---|---|
| Exhaust port close (°ECA) | 80.0 |
| Exhaust port open (°ECA) | 262.0 |
| Ignition timing (°ECA) | 136.5 |
| Ignition timing/Ignition position from cylinder head (mm) | 8.0 |
| Air-intake temperature (K) | 300 |
| Air-intake pressure (bar) | 1.2 |
| Air-exhaust pressure (bar) | 1.0 |
| Piston TDC (mm) | Peak In-Cylinder Pressure (Bar) | Peak Velocity (m/s) | Indicate Efficiency (-) | |
|---|---|---|---|---|
| 0% | 31.07 | 49.46 | 5.0 | 32.3% |
| 1.5% | 30.96 | 51.17 | 4.97 | 32.9% |
| 3.0% | 30.84 | 52.87 | 4.94 | 33.8% |
| 4.5% | 30.70 | 54.42 | 4.90 | 35.3% |
© 2020 by the authors. Licensee MDPI, Basel, Switzerland. This article is an open access article distributed under the terms and conditions of the Creative Commons Attribution (CC BY) license (http://creativecommons.org/licenses/by/4.0/).
Share and Cite
Zhang, Z.; Feng, H.; Zuo, Z. Numerical Investigation of a Free-Piston Hydrogen-Gasoline Engine Linear Generator. Energies 2020, 13, 4685. https://doi.org/10.3390/en13184685
Zhang Z, Feng H, Zuo Z. Numerical Investigation of a Free-Piston Hydrogen-Gasoline Engine Linear Generator. Energies. 2020; 13(18):4685. https://doi.org/10.3390/en13184685
Chicago/Turabian StyleZhang, Ziwei, Huihua Feng, and Zhengxing Zuo. 2020. "Numerical Investigation of a Free-Piston Hydrogen-Gasoline Engine Linear Generator" Energies 13, no. 18: 4685. https://doi.org/10.3390/en13184685
APA StyleZhang, Z., Feng, H., & Zuo, Z. (2020). Numerical Investigation of a Free-Piston Hydrogen-Gasoline Engine Linear Generator. Energies, 13(18), 4685. https://doi.org/10.3390/en13184685
