Schedule Optimization in a Smart Microgrid Considering Demand Response Constraints
Abstract
1. Introduction
1.1. Motivation of This Paper
1.2. Contribution of This Paper
- (1)
- The implementation of 0-1 KP in a SMG model. 0-1 KP is formulated in two levels. In the first level the demand is grouped, and in the second level the demand is discretized into hour blocks. The refinement of the blocks depends on the computing capacity. Results are measured in terms of the ranking index (RI), load reduction percentage, and execution time. The RI is calculated as the sum of the average profits and their standard deviation.
- (2)
- DRF is developed to solve the 0-1 KP. DRF is compared with 0-1 KP in terms of the RI, load reduction percentage, and execution time. The outstanding outcomes of DRF are similar to those of the 0-1 KP. However, DRF stands out for the following characteristics. DRF works with continued variables, so DRF has no problem of refinement. In addition, DRF needs no additional execution time for preloading combinations, since the polynomial time in 0-1 KP and its function are easier to implement than 0-1 KP.
2. State of the Art
2.1. VNS-DEEPSO Algorithm
2.2. Conceptual Formulation
3. Smart Microgrid Model
4. Formulation of the 0-1 KP and the DRF
4.1. Formulation of 0-1 Knapsack Problem 0-1 KP
4.1.1. Demand Grouping
4.1.2. Demand Discretization
4.2. Formulation of Demand Response Function (DRF)
5. Results and Discussion
Discussion of This Paper
6. Conclusions
Author Contributions
Funding
Conflicts of Interest
Nomenclature
| Index | |
| i | DG units |
| j | PV units |
| k | External suppliers |
| e | ESSs |
| v | EVs |
| l | Loads |
| m | Markets |
| s | Scenarios |
| t | Periods |
| Subscript | |
| DG | Distribution generation |
| PV | Photovoltaic |
| P | Populations |
| K | External suppliers |
| e | ESSs |
| v | EVs |
| L | Loads |
| m | Markets |
| s | Scenarios |
| ext | External supplied (kW) |
| ESS- | Discharge ESS (kW) |
| EV- | Discharge EV (kW) |
| ESS+ | Charge ESS (kW) |
| EV+ | Charge EV (kW) |
| curt | Reduction of load (kW) |
| Imb- | Non-supplied for load (kW) |
| Imb+ | Exceeded of DG unit (kW) |
| buy | Buy from the market (kW) |
| sell | Sell to the market (kW) |
| min | Minimum |
| max | Maximum |
| Variables with Greek letters | |
| π(s) | Probability of scenario s |
| Mean of fitness function | |
| Deviation standard of fitness function | |
| Parameters | |
| C | Cost |
| T | Periods |
| Pload | Forecasted load |
| MP | Electricity market price (m.u./kWh) |
| N | Number |
| Variables | |
| P | Power |
| NC | Number of combinations |
| Nd | Number of discrete variables |
| nd | Fraction defined as rounding (Nd/4) |
| J | Constraint of DR |
| X | Binary variable |
| Binary variable | |
| Z | Fitness function |
| Acronyms | |
| DEEPSO | Differential evolutionary PSO |
| DE | Differential evolution |
| DG | Distributed generator |
| DR | Demand response |
| DRF | DR function |
| ESS | Energy storage systems |
| EV | Electric vehicles |
| In | Income |
| KP | Knapsack problem |
| m.u. | Monetary units |
| NFE | Number of evaluated functions |
| PSO | Particle swarm optimization |
| PV | Photovoltaic |
| RI | Ranking index |
| OC | Operational cost |
| SMG | Smart microgrid |
| VNS | Variable neighborhood search |
References
- Garcia-Guarin, J.; Rivera, S.; Rodriguez, H. Smart grid review: Reality in Colombia and expectations. J. Phys. Conf. Ser. 2019, 1257, 012011. [Google Scholar] [CrossRef]
- Dickerson, W.; Goldstein, A.; Kirkham, H.; Martin, K.; Roscoe, A.; De Vries, R.; Wright, P. Smart grid measurement uncertainty: Definitional and influence quantity considerations. In Proceedings of the 2018 1st International Colloquium on Smart Grid Metrology, SmaGriMet 2018, Split, Croatia, 24–27 April 2018; pp. 1–5. [Google Scholar]
- Choi, S.; Park, S.; Kim, H.M. The application of the 0-1 knapsack problem to the load-shedding problem in microgrid operation. In Communications in Computer and Information Science (CCIS); Springer: Berlin/Heidelberg, Germany, 2011; Volume 256, pp. 227–234. [Google Scholar]
- Garcia-Guarin, J.; Rivera, S.; Trigos, L. Multiobjective optimization of smart grids considering market power. J. Phys. Conf. Ser. 2019, 1409, 012006. [Google Scholar] [CrossRef]
- Pavas Martinez, F.A.; Gonzalez Vivas, O.A.; Sanchez Rosas, Y.S. Cuantificación del ahorro de energía eléctrica en clientes residenciales mediante acciones de gestión de demanda. Rev. UIS Ing. 2017, 16, 217–226. [Google Scholar] [CrossRef]
- Cruz, L.M.; Alvarez, D.L.; Al-Sumaiti, A.S.; Rivera, S. Load Curtailment Optimization Using the PSO Algorithm for Enhancing the Reliability of Distribution Networks. Energies 2020, 13, 3236. [Google Scholar] [CrossRef]
- Garcia, J.; Alvarez, D.; Rivera, S. Ensemble Based Optimization for Electric Demand Forecast: Genetic Programming and Heuristic Algorithms. Rev. Int. Métodos Numér. Cálc. Diseño Ing. 2020, 1, 1–13. [Google Scholar] [CrossRef]
- Sapre, M.S.; Patel, H.; Vaishnani, K.; Thaker, R.; Shastri, A.S. Solution to small size 0–1 knapsack problem using cohort intelligence with educated approach. In Studies in Computational Intelligence; Springer: Berlin/Heidelberg, Germany, 2019; Volume 828, pp. 137–149. [Google Scholar]
- Garcia-Guarin, J.; Duran-Pinzón, M.; Paez-Arango, J.; Rivera, S. Energy planning for aquaponics production considering intraday markets. Arch. Electr. Eng. 2020, 69, 89–100. [Google Scholar] [CrossRef]
- Azad, M.A.K.; Rocha, A.M.A.C.; Fernandes, E.M.G.P. A simplified binary artificial fish swarm algorithm for 0-1 quadratic knapsack problems. J. Comput. Appl. Math. 2014, 259, 897–904. [Google Scholar] [CrossRef]
- Layeb, A. A hybrid quantum inspired harmony search algorithm for 0-1 optimization problems. J. Comput. Appl. Math. 2013, 253, 14–25. [Google Scholar] [CrossRef]
- Xu, Y.; Liu, W. Novel multiagent based load restoration algorithm for microgrids. IEEE Trans. Smart Grid 2011, 2, 140–149. [Google Scholar] [CrossRef]
- Carvalho, J.P.P.; Shafie-Khah, M.; Osorio, G.; Rokrok, E.; Catalao, J.P.S. Multi-agent system for renewable based microgrid restoration. In Proceedings of the 2018 International Conference on Smart Energy Systems and Technologies (SEST 2018), Sevilla, Spain, 10–12 September 2018; pp. 1–6. [Google Scholar]
- Cheng, Y.; Zhang, C. Configuration and operation combined optimization for EV battery swapping station considering PV consumption bundling. Prot. Control Mod. Power Syst. 2017, 2, 26. [Google Scholar] [CrossRef]
- Garcia-Guarin, J.; Rodriguez, D.; Alvarez, D.; Rivera, S.; Cortes, C.; Guzman, A.; Bretas, A.; Aguero, J.R.; Bretas, N. Smart microgrids operation considering a variable neighborhood search: The differential evolutionary particle swarm optimization algorithm. Energies 2019, 12, 3149. [Google Scholar] [CrossRef]
- Lezama, F.; Soares, J.; Vale, Z.; Rueda, J.; Wagner, M. CEC/GECCO 2019 Competition Evolutionary Computation in Uncertain Environments: A Smart Grid Application, Rio de Janeiro, Brasil, July, 2018. Available online: https://www.gecad.isep.ipp.pt/ERM2019-Competition/files/CEC_GECCO_2019_Guidelines_CISG.pdf (accessed on 13 July 2020).
- Molina Sanchez, F.S.; Pérez Sichacá, S.J.; Rivera Rodriguez, S.R. Formulación de Funciones de Costo de Incertidumbre en Pequeñas Centrales Hidroeléctricas dentro de una Microgrid. Ing. USBMed 2017, 8, 29–36. [Google Scholar] [CrossRef]
- Sanchez, A.; Romero, A.; Rattá, G.; Rivera, S. Smart charging of PEVs to reduce the power transformer loss of life. In Proceedings of the 2017 IEEE PES Innovative Smart Grid Technologies Conference—Latin America, ISGT Latin America 2017, Quito, Ecuador, 20–22 September 2017; Volume 2017, pp. 1–6. [Google Scholar]
- García-Guarín, P.J.; Cantor-López, J.; Cortés-Guerrero, C.; Guzmán-Pardo, M.A.; Rivera, S. Implementación del algoritmo VNS-DEEPSO para el despacho de energía en redes distribuidas inteligentes. INGE CUC 2019, 15, 142–154. [Google Scholar] [CrossRef]
- Narimani, M.R.; Azizivahed, A.; Naderi, E. An Efficient Scenario-based Stochastic Energy Management of Distribution Networks with Distributed Generation, PV Module, and Energy Storage. arXiv 2019, arXiv:1910.07109. [Google Scholar]
- Lezama, F.; Soares, J.; Faia, R.; Pinto, T.; Vale, Z. A New Hybrid-Adaptive Differential Evolution for a Smart Grid Application under Uncertainty. In Proceedings of the 2018 IEEE Congress on Evolutionary Computation, CEC 2018, Rio de Janeiro, Brazil, 8–13 July 2018; pp. 1–8. [Google Scholar]
- Garcia-Guarin, J.; Infante, W.; Ma, J.; Alvarez, D.; Rivera, S. Optimal Scheduling of Smart Microgrids Considering Electric Vehicle Battery Swapping Stations. Int. J. Electr. Comput. Eng. 2020, 10, 5093–5107. [Google Scholar]
- Chen, J.; Yang, B.; Guan, X. Optimal demand response scheduling with Stackelberg game approach under load uncertainty for smart grid. In Proceedings of the 2012 IEEE Third International Conference on Smart Grid Communications, SmartGridComm 2012, Tainan, Taiwan, 5–8 November 2012; Volume 1, pp. 546–551. [Google Scholar] [CrossRef]
- Matthiss, B.; Momenifarahaniy, A.; Ohnmeissz, K.; Felderx, M. Influence of Demand and Generation Uncertainty on the Operational Efficiency of Smart Grids. In Proceedings of the 7th International IEEE Conference on Renewable Energy Research and Applications (ICRERA 2018), Paris, France, 14–17 October 2018; pp. 751–756. [Google Scholar]
- Di Somma, M.; Graditi, G.; Heydarian-Forushani, E.; Shafie-khah, M.; Siano, P. Stochastic optimal scheduling of distributed energy resources with renewables considering economic and environmental aspects. Renew. Energy 2018, 116, 272–287. [Google Scholar] [CrossRef]
- Saber, A.Y.; Venayagamoorthy, G.K. Resource scheduling under uncertainty in a smart grid with renewables and plug-in vehicles. IEEE Syst. J. 2012, 6, 103–109. [Google Scholar] [CrossRef]
- Radhakrishnan, B.M.; Srinivasan, D.; Mehta, R. Fuzzy-Based Multi-Agent System for Distributed Energy Management in Smart Grids. Int. J. Uncertain. Fuzziness Knowl. Based Syst. 2016, 24, 781–803. [Google Scholar] [CrossRef]
- Parhizi, S.; Khodaei, A.; Shahidehpour, M. Market-based versus price-based microgrid optimal scheduling. IEEE Trans. Smart Grid 2018, 9, 615–623. [Google Scholar] [CrossRef]
- Farzan, F.; Jafari, M.; Masiello, R.; Lu, Y. Toward optimal day-ahead scheduling and operation control of microgrids under uncertainty. IEEE Trans. Smart Grid 2015, 6, 499–507. [Google Scholar] [CrossRef]
- Garcia Guarin, J.; Lezama, F.; Soares, J.; Rivera, S. Operation scheduling of smart grids considering stochastic uncertainty modelling. Far East J. Math. Sci. 2019, 1, 77–98. [Google Scholar] [CrossRef]
- Naderi, E.; Azizivahed, A.; Narimani, H.; Fathi, M.; Narimani, M.R. A comprehensive study of practical economic dispatch problems by a new hybrid evolutionary algorithm. Appl. Soft Comput. J. 2017, 61, 1186–1206. [Google Scholar] [CrossRef]
- Fossati, J.P. Revisión bibliográfica sobre micro redes inteligentes. Lit. Rev. Microgrids 2011, 9, 13–20. [Google Scholar]
- De Vargas Fortes, E.; Macedo, L.H.; de Araujo, P.B.; Romero, R. A VNS algorithm for the design of supplementary damping controllers for small-signal stability analysis. Int. J. Electr. Power Energy Syst. 2018, 94, 41–56. [Google Scholar] [CrossRef]
- Miranda, V.; Alves, R. Differential Evolutionary Particle Swarm Optimization (DEEPSO): A successful hybrid. In Proceedings of the 1st BRICS Countries Congress on Computational Intelligence (BRICS-CCI 2013), Ipojuca, Brazil, 8–11 September 2013; pp. 368–374. [Google Scholar]
- Soares, J.; Silva, M.; Canizes, B.; Vale, Z. MicroGrid der control including EVs in a residential area. In Proceedings of the 2015 IEEE Eindhoven PowerTech (PowerTech 2015), Eindhoven, The Netherlands, 29 June–2 July 2015; Institute of Electrical and Electronics Engineers Inc.: New York, NY, USA, 2015. [Google Scholar]
- Lezama, F.; Sucar, L.E.; de Cote, E.M.; Soares, J.; Vale, Z. Differential evolution strategies for large-scale energy resource management in smart grids. In Proceedings of the Genetic and Evolutionary Computation Conference Companionc, Berlin, Germany, 15–17 July 2017; pp. 1279–1286. [Google Scholar] [CrossRef]
- Soares, J.; Canizes, B.; Ghazvini, M.A.F.; Vale, Z.; Venayagamoorthy, G.K. Two-Stage Stochastic Model Using Benders’ Decomposition for Large-Scale Energy Resource Management in Smart Grids. IEEE Trans. Ind. Appl. 2017, 53, 5905–5914. [Google Scholar] [CrossRef]
- Soares, J.; Canizes, B.; Lobo, C.; Vale, Z.; Morais, H. Electric vehicle scenario simulator tool for smart grid operators. Energies 2012, 5, 1881–1899. [Google Scholar] [CrossRef]
- Trigos, A.; Garcia-Guarin, J.; Blanco, E. Design of a PID control for a prototype of an automated GMAW welding bench. J. Phys. Conf. Ser. 2019, 1257, 1–9. [Google Scholar] [CrossRef]
- Ogata, K. Modern Control Engineering; Prentice Hall: New York, NY, USA, 2002. [Google Scholar]













| No. | Gen | ESS | DR | EVs | 0-1 KP | DRF | Uncertainty Sources |
|---|---|---|---|---|---|---|---|
| 1 | Yes | No | Yes | No | Yes | No | Not reported [14] |
| 2 | Yes | Yes | Yes | Yes | No | Yes | EVs, renewable resources, electricity markets, and loads with DR [22] |
| 3 | No | No | Yes | No | No | No | Electricity markets and loads with DR [23] |
| 4 | Yes | Yes | No | No | No | No | Renewable resources and loads [24] |
| 5 | Yes | Yes | Yes | No | No | No | Renewable resources, loads, and market prices [25] |
| 6 | Yes | Yes | No | Yes | No | No | Renewable resources, loads, and EVs [26] |
| 7 | Yes | Yes | Yes | No | No | No | Renewable resources, loads, and market prices [27] |
| 8 | Yes | Yes | No | No | No | No | Not reported [29] |
| 9 | Yes | No | No | No | No | No | Not reported [30,31] |
| 10 | Yes | Yes | Yes | Yes | Yes | Yes | EVs, renewable resources, electricity markets, and loads with DR (this model is implemented in this research) |
| No. | Limitations of the Review of Microgrids Energy Resources with 0-1 KP and DRF. |
|---|---|
| 1 | The model 1 lacks elements such as load with DR, market prices, EVs, and ESSs [14]. |
| 2 | The residential customer demand is unattended after the optimization process. In demand management, this is an unwanted solution [22]. |
| 3 | The model 3 has no restrictions in optimization, which ensures a good state of the demand, such as 0-1 KP and DRF [23]. |
| 4 | The model 4 does not include either DR programs or EVs [24]. |
| 5 | The model 5 is strictly limited to plausible scenarios in uncertain environments; therefore, it can find feasible but not optimal solutions [25]. |
| 6 | The model 6 includes no implementation of load with DR [26]. |
| 7 | The major drawback of this formulation is that the model 7 lacks load demand management strategies and is difficult to reproduce [27]. |
| 8 | Errors for forecasting demand in the operation are recommended to be studied in future works [29]. |
| 9 | The study neglects sources of uncertainty, ESSs, VEs, loads with DR, and penalties for not supplying the demand [31]. |
| 10 | Model 10 overcomes the above limitations. |
| SMG Energy Resources | Capacity (kW) | Prices (m.u./kW) | Units |
|---|---|---|---|
| DGs | 10–100 | 0.07–0.11 | 5 |
| External supplier | 0–150 | 0.074–0.16 | 1 |
| Charge/discharge of ESSs | 0–16.6 | 0.03 | 2 |
| Charge/discharge of EVs | 0–111 | 0.06 | 34 |
| Loads with DR | 4.06–8.95 | 0.0375 | 90 |
| Wholesale/local market | 0–100/10 | 0.021–0.039 | 1 |
| Forecast (kW) | |||
| PV generation | 0–106.81 | - | 1 (17 agg.) |
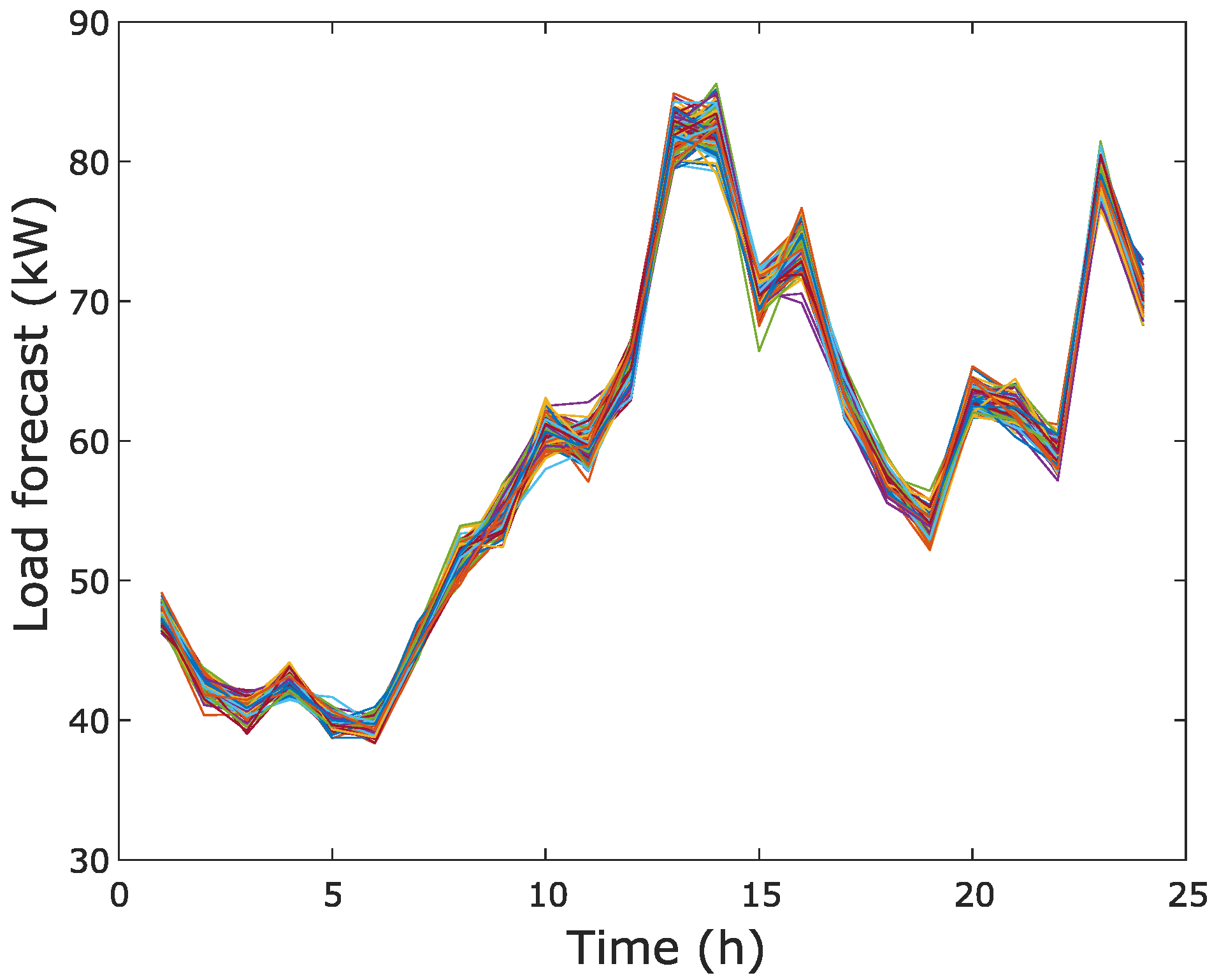
| Load | 35.82–83.39 | - | 90 |
| No. | Step | Source |
|---|---|---|
| 1 | Download the case study VNS-DEEPSO | Data 1 [19] |
| 2a | Replace 0-1 KP demand groups in search space limits | Section 4.1 |
| 2b | Add DRF in fitness function of VNS2.m and DEEPSO_RE.m | Section 4.2 |
| 3 | Analysis of results using Send2Organizer.mat, benchmark_Fitness.txt, benchmark_Summary.txt, and benchmark_Time.txt | Section 3 |
© 2020 by the authors. Licensee MDPI, Basel, Switzerland. This article is an open access article distributed under the terms and conditions of the Creative Commons Attribution (CC BY) license (http://creativecommons.org/licenses/by/4.0/).
Share and Cite
Garcia-Guarin, J.; Alvarez, D.; Bretas, A.; Rivera, S. Schedule Optimization in a Smart Microgrid Considering Demand Response Constraints. Energies 2020, 13, 4567. https://doi.org/10.3390/en13174567
Garcia-Guarin J, Alvarez D, Bretas A, Rivera S. Schedule Optimization in a Smart Microgrid Considering Demand Response Constraints. Energies. 2020; 13(17):4567. https://doi.org/10.3390/en13174567
Chicago/Turabian StyleGarcia-Guarin, Julian, David Alvarez, Arturo Bretas, and Sergio Rivera. 2020. "Schedule Optimization in a Smart Microgrid Considering Demand Response Constraints" Energies 13, no. 17: 4567. https://doi.org/10.3390/en13174567
APA StyleGarcia-Guarin, J., Alvarez, D., Bretas, A., & Rivera, S. (2020). Schedule Optimization in a Smart Microgrid Considering Demand Response Constraints. Energies, 13(17), 4567. https://doi.org/10.3390/en13174567

