Effect of Microwave Processing and Glass Inclusions on Thermoelectric Properties of P-Type Bismuth Antimony Telluride Alloys for Wearable Applications
Abstract
1. Introduction
2. Experimental Procedure
3. Results and Discussion
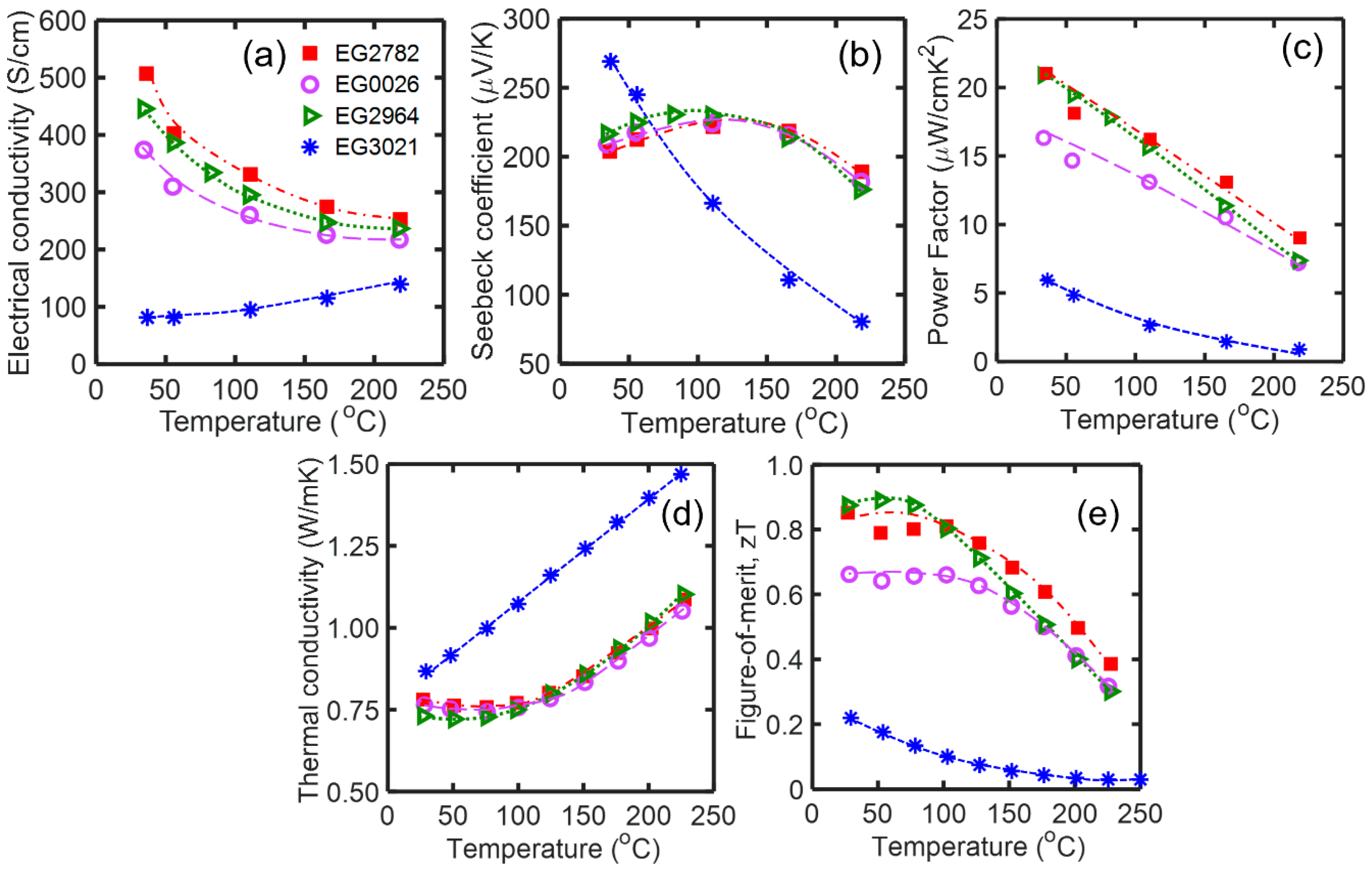
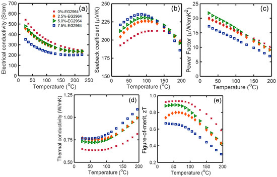
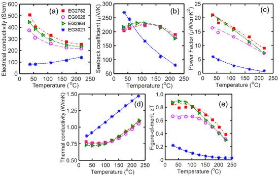
3.1. Effect of Glass Inclusion
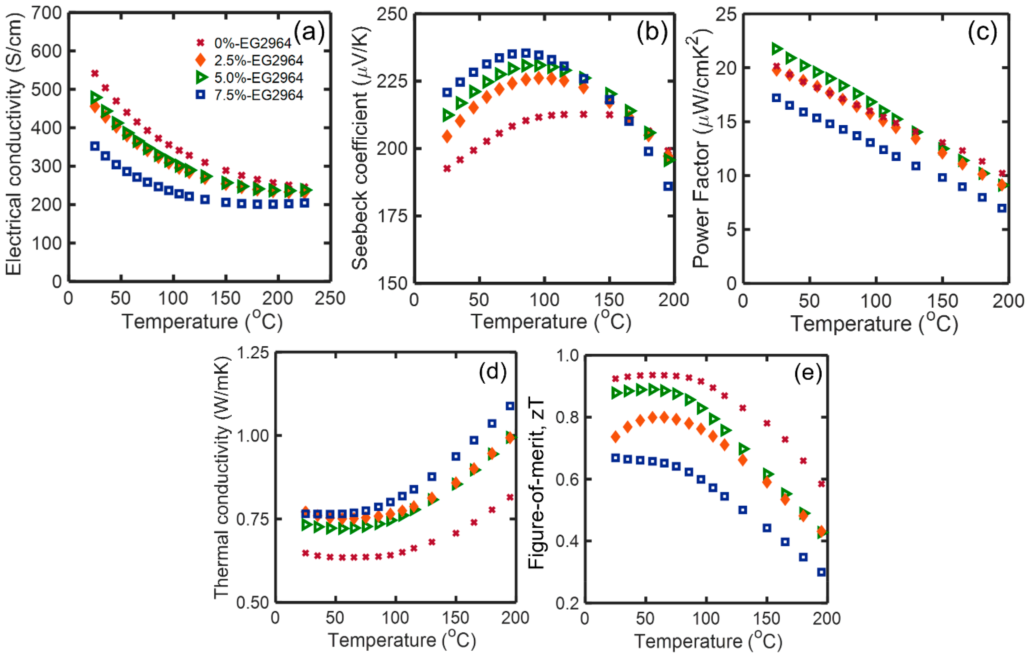
3.2. Optimization of Glass Inclusions
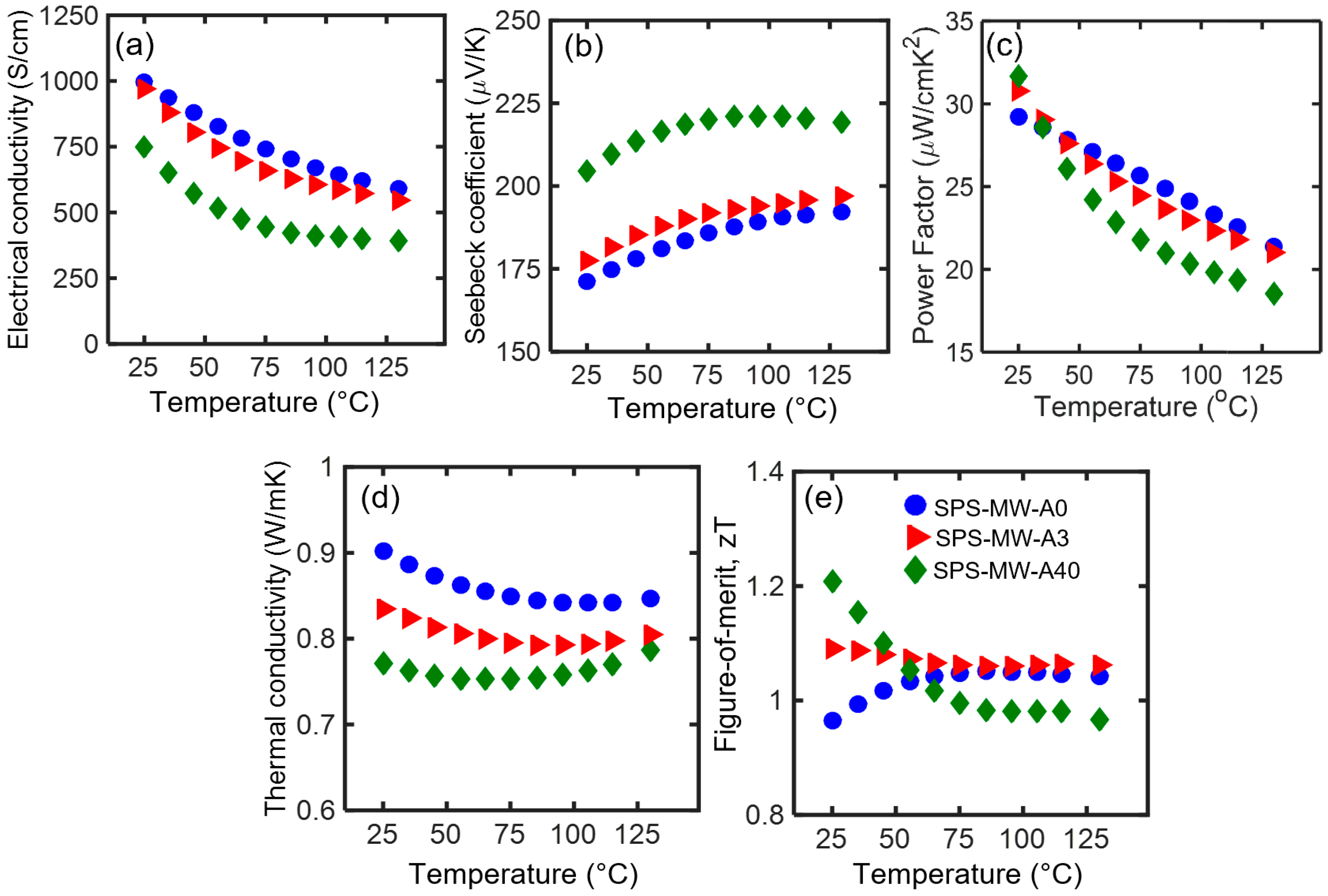
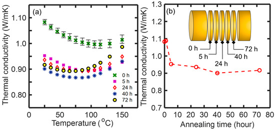
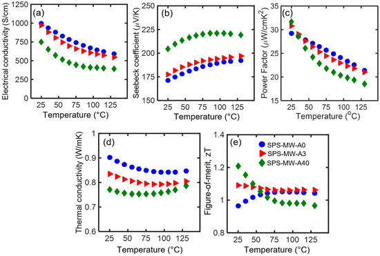
3.3. Microwave Processing of Bismuth Antimony Telluride
4. Conclusions
Author Contributions
Funding
Acknowledgments
Conflicts of Interest
References
- Vining, C.B. Thermoelectric Properties of Silicides, CRC Handbook of Thermoelectrics; CRC Press: Boca Raton, FL, USA, 1995; pp. 277–286. [Google Scholar]
- Poudel, B.; Hao, Q.; Ma, Y.; Lan, Y.; Minnich, A.; Yu, B.; Yan, X.; Wang, D.; Muto, A.; Vashaee, D.; et al. High-thermoelectric performance of nanostructured bismuth antimony telluride bulk alloys. Science 2008, 320, 634–638. [Google Scholar] [CrossRef] [PubMed]
- Xie, W.; Tang, X.; Yan, Y.; Zhang, Q.; Tritt, T.M. Unique nanostructures and enhanced thermoelectric performance of melt-spun BiSbTe alloys. Appl. Phys. Lett. 2009, 94, 102111. [Google Scholar] [CrossRef]
- Fan, S.; Zhao, J.; Guo, J.; Yan, Q.; Ma, J.; Hng, H.H. p-type Bi0.4Sb1.6Te3 nanocomposites with enhanced figure of merit. Appl. Phys. Lett. 2010, 96, 182104. [Google Scholar] [CrossRef]
- Mehta, R.J.; Zhang, Y.; Karthik, C.; Singh, B.; Siegel, R.W.; Tasciuc, T.B.; Ramanath, G. A new class of doped nanobulk high-figure-of-merit thermoelectrics by scalable bottom-up assembly. Nat. Mater. 2012, 11, 233–240. [Google Scholar] [CrossRef]
- Kim, S.I.; Lee, K.H.; Mun, H.A.; Kim, H.S.; Hwang, S.W.; Roh, J.W.; Yang, D.J.; Shin, W.H.; Li, X.S.; Lee, Y.H.; et al. Dense dislocation arrays embedded in grain boundaries for high-performance bulk thermoelectrics. Science 2015, 348, 109–114. [Google Scholar] [CrossRef]
- Dehkordi, A.M.; Vashaee, D. Enhancement in thermoelectric power factor of polycrystalline Bi0.5Sb1.5Te3 by crystallite alignment. Phys. Stat. Solidi 2012, 209, 2131–2134. [Google Scholar]
- Zide, J.M.O.; Vashaee, D.; Zeng, G.; Bowers, J.E.; Shakouri, A.; Gossard, A.C. Demonstration of electron filtering to increase the Seebeck coefficient in In0.53Ga0.47As/In0.53Ga0.28Al0.19 As superlattices. Phys. Rev. B 2006, 74, 205335. [Google Scholar] [CrossRef]
- Wang, X.W.; Lee, H.; Lan, Y.C.; Zhu, G.H.; Joshi, G.; Wang, D.Z.; Yang, J.; Muto, A.J.; Tang, M.Y.; Klatsky, J.S.; et al. Enhanced thermoelectric figure of merit in nanostructured n-type silicon germanium bulk alloy. Appl. Phys. Lett. 2008, 93, 193121. [Google Scholar] [CrossRef]
- Bahk, J.H.; Bian, Z.; Zebarjadi, M.; Santhanam, P.; Ram, R.; Shakouri, A. Thermoelectric power factor enhancement by ionized nanoparticle scattering. Appl. Phys. Lett. 2011, 99, 072118. [Google Scholar] [CrossRef]
- Mohebali, M.; Liu, Y.; Tayebi, L.; Krasinski, J.S.; Vashaee, D. Thermoelectric figure of merit of bulk FeSi2–Si0.8Ge0.2 nanocomposite and a comparison with β-FeSi2. Renew. Energy 2015, 74, 940–947. [Google Scholar] [CrossRef]
- Nozariasbmarz, A.; Roy, P.; Zamanipour, Z.; Dycus, J.H.; Cabral, M.J.; LeBeau, J.M.; Krasinski, J.S.; Vashaee, D. Comparison of thermoelectric properties of nanostructured Mg2Si, FeSi2, SiGe, and nanocomposites of SiGe–Mg2Si, SiGe–FeSi2. APL Mater. 2016, 4, 104814. [Google Scholar] [CrossRef]
- Nozariasbmarz, A.; Agarwal, A.; Coutant, Z.A.; Hall, M.J.; Liu, J.; Liu, R.; Malhotra, A.; Norouzzadeh, P.; Ramesh, V.P.; Sargolzaeiaval, Y.; et al. Thermoelectric silicides: A review. Vashaee Jpn. J. Appl. Phys. 2017, 56, 05DA04. [Google Scholar] [CrossRef]
- Satyala, N.; Norouzzadeh, P.; Vashaee, D. Nano Bulk Thermoelectrics: Concepts, Techniques, and Modeling. In Thermoelectrics Nanoscale; Springer: Cham, Switzerland, 2014; pp. 141–183. [Google Scholar]
- Misra, V.; Bozkurt, A.; Calhoun, B.; Jackson, T.; Jur, J.S.; Lach, J.; Lee, B.; Muth, J.; Oralkan, Ö.; Öztürk, M.; et al. Flexible technologies for self-powered wearable health and environmental sensing. Proc. IEEE 2015, 103, 661–685. [Google Scholar] [CrossRef]
- Suarez, F.; Nozariasbmarz, A.; Vashaee, D.; Öztürk, M.C. Designing thermoelectric generators for self-powered wearable electronics. Energy Environ. Sci. 2016, 9, 2099–2113. [Google Scholar] [CrossRef]
- Kishore, R.A.; Nozariasbmarz, A.; Poudel, B.; Sanghadasa, M.; Priya, S. Ultra-high performance wearable thermoelectric coolers with less materials. Nat. Commun. 2019, 10, 1765. [Google Scholar] [CrossRef] [PubMed]
- Nozariasbmarz, A.; Collins, H.; Dsouza, K.; Polash, M.H.; Hosseini, M.; Hyland, M.; Liu, J.; Malhotra, A.; Mohaddes, F.; Ortiz, F.M.; et al. Review of wearable thermoelectric energy harvesting: From body temperature to electronic systems. Appl. Energy 2020, 258, 114069. [Google Scholar] [CrossRef]
- Vineis, C.J.; Shakouri, A.; Majumdar, A.; Kanatzidis, M.G. Nanostructured thermoelectrics: Big efficiency gains from small features. Adv. Mater. 2010, 22, 3970–3980. [Google Scholar] [CrossRef]
- Venkatasubramanian, R.; Siivola, E.; Colpitts, T.; O’Quinn, B. Thin-film thermoelectric devices with high room-temperature figures of merit. Nature 2001, 413, 597–602. [Google Scholar] [CrossRef]
- Vashaee, D.; Nozariasbmarz, A.; Tayebi, L.; Krasinski, J.S. Microwave Processing of Thermoelectric Materials and Use of Glass Inclusions for Improving the Mechanical and Thermoelectric Properties. U.S. Patent App. 15/778,704; International Application No.: PCT/US2016/064292, 6 December 2018. [Google Scholar]
- Nozariasbmarz, A.; Dsouza, K.; Vashaee, D. Field induced decrystallization of silicon: Evidence of a microwave non-thermal effect. Appl. Phys. Lett. 2018, 112, 093103. [Google Scholar] [CrossRef]
- Nozariasbmarz, A. In-Situ Sintering Decrystallization of Thermoelectric Materials Using Microwave Radiation. Ph.D. Thesis, North Carolina State University, Raleigh, NC, USA, 2017. [Google Scholar]
- Cheng, J.; Agrawal, D.; Zhang, Y.; Roy, R.; Santra, A.K. Synthesis of amorphous Si–Ge alloys using microwave energy. J. Alloys Comp. 2010, 491, 517–521. [Google Scholar] [CrossRef]
- Nozariasbmarz, A.; Krasinski, J.S.; Vashaee, D. N-Type Bismuth Telluride Nanocomposite Materials Optimization for Thermoelectric Generators in Wearable Applications. Materials 2019, 12, 1529. [Google Scholar] [CrossRef]
- Peelamedu, R.; Roy, R.; Agrawal, D.; Drawl, W.J. Field decrystallization and structural modifications of highly doped silicon in a 2.45-GHz microwave single-mode cavity. Mater. Res. 2004, 19, 1599–1602. [Google Scholar] [CrossRef]
- Savary, E.; Gascoin, F.; Marinel, S. Fast synthesis of nanocrystalline Mg2Si by microwave heating: A new route to nano-structured thermoelectric materials. Dalton Trans. 2010, 39, 11074–11080. [Google Scholar] [CrossRef] [PubMed]
- Shu-cai, Z.; Chen-guang, B. Microwave direct synthesis and thermoelectric properties of Mg2Si by solid-state reaction. Trans. Nonferrous Met. Soc. China 2011, 21, 1785–1789. [Google Scholar] [CrossRef]
- Kim-Hak, O.; Soulier, M.; Szkutnik, P.D.; Saunier, S.; Simon, J.; Goeuriota, D. Microwave sintering and thermoelectric properties of p-type (Bi0.2Sb0.8)2Te3 powder. Powder Technol. 2012, 226, 231–234. [Google Scholar] [CrossRef]
- Fan, X.A.; Yang, Y.; Xie, Z.; Li, K.; Zhu, W.; Duan, X.K.; Xiao, C.J.; Zhang, Q.Q. Bi2Te3 hexagonal nanoplates and thermoelectric properties of n-type Bi2Te3 nanocomposites. J. Phys. D Appl. Phys. 2007, 40, 5975. [Google Scholar] [CrossRef]
- FERRO. Available online: https://www.ferro.com/-/media/files/resources/electronic-materials/ferro-electronic-materials-low-temperature-lead-free-glass-powders.pdf (accessed on 27 August 2020).
- FERRO. Available online: https://www.yumpu.com/en/document/read/20793750/low-temperature-pb-free-glasses-ferro (accessed on 27 August 2020).
- Kishore, R.A.; Nozariasbmarz, A.; Poudel, B.; Priya, S. High-Performance Thermoelectric Generators for Field Deployments. ACS Appl. Mater. Interfaces 2020, 12, 10389–10401. [Google Scholar] [CrossRef]
- Nozariasbmarz, A.; Kishore, R.A.; Poudel, B.; Saparamadu, U.; Li, W.; Cruz, R.; Priya, S. High Power Density Body Heat Energy Harvesting. ACS Appl. Mater. Interfaces 2019, 11, 40107–40113. [Google Scholar] [CrossRef]
- Satyala, N.; Krasinski, J.S.; Vashaee, D. Simultaneous enhancement of mechanical and thermoelectric properties of polycrystalline magnesium silicide with conductive glass inclusion. Acta Mater. 2014, 74, 141–150. [Google Scholar] [CrossRef]
- FERRO. Available online: https://www.ferro.com/products/product-category/electronic-materials (accessed on 27 August 2020).
- Roy, R.; Peelamedu, R.; Hurtt, L.; Agrawal, J.C.D. Definitive experimental evidence for Microwave Effects: Radically new effects of separated E and H fields, such as decrystallization of oxides in seconds. Mater. Res. Innov. 2002, 6, 128–140. [Google Scholar] [CrossRef]
- Nozariasbmarz, A.; Hosseini, M.; Vashaee, D. Interfacial ponderomotive force in solids leads to field induced dissolution of materials and formation of non-equilibrium nanocomposites. Acta Mater. 2019, 179, 85–92. [Google Scholar] [CrossRef]
- Nozariasbmarz, A.; Suarez, F.; Dycus, J.H.; Cabral, M.J.; LeBeau, J.M.; Öztürk, M.C.; Vashaee, D. Thermoelectric generators for wearable body heat harvesting: Material and device concurrent optimization. Nano Energy 2020, 67, 104265. [Google Scholar] [CrossRef]
- Goldstein, J.; Newbury, D.E.; Joy, D.C.; Lyman, C.E.; Echlin, P.; Lifshin, E.; Sawyer, L.; Michael, J.R. Scanning Electron Microscopy and X-ray Microanalysis, 3rd ed.; Springer: New York, NY, USA, 2003. [Google Scholar]








| Glass | Composition | Tg (°C) | Softening Temp (°C) | Density (g/cm3) |
|---|---|---|---|---|
| EG3021 | Bi-Zn-B-R2O | 365 | 383 | 7.06 |
| EG2964 | Bi-Zn-B | 480 | 520 | 4.00 |
| EG2782 | Si-B-Al-RO | 640 | 745 | 2.56 |
| EG0026 | Al-Ca-B-Si | 641 | 770 | 2.60 |
| Sample ID | Composition | SPS Temp (°C)/ Soak Time (min) | MW Temp (°C) | Second SPS Temp (°C) | Anneal Temp (°C) / Time (h) |
|---|---|---|---|---|---|
| SPS-MW-A0 | (Bi0.17Sb0.83)2Te3-5%Glass | 540/1 | 500 | 400 | - |
| SPS-MW-A3 | (Bi0.17Sb0.83)2Te3-5%Glass | 540/1 | 500 | 400 | 230/3 |
| SPS-MW-A40 | (Bi0.17Sb0.83)2Te3-5%Glass | 540/1 | 500 | 400 | 230/40 |
© 2020 by the authors. Licensee MDPI, Basel, Switzerland. This article is an open access article distributed under the terms and conditions of the Creative Commons Attribution (CC BY) license (http://creativecommons.org/licenses/by/4.0/).
Share and Cite
Nozariasbmarz, A.; Vashaee, D. Effect of Microwave Processing and Glass Inclusions on Thermoelectric Properties of P-Type Bismuth Antimony Telluride Alloys for Wearable Applications. Energies 2020, 13, 4524. https://doi.org/10.3390/en13174524
Nozariasbmarz A, Vashaee D. Effect of Microwave Processing and Glass Inclusions on Thermoelectric Properties of P-Type Bismuth Antimony Telluride Alloys for Wearable Applications. Energies. 2020; 13(17):4524. https://doi.org/10.3390/en13174524
Chicago/Turabian StyleNozariasbmarz, Amin, and Daryoosh Vashaee. 2020. "Effect of Microwave Processing and Glass Inclusions on Thermoelectric Properties of P-Type Bismuth Antimony Telluride Alloys for Wearable Applications" Energies 13, no. 17: 4524. https://doi.org/10.3390/en13174524
APA StyleNozariasbmarz, A., & Vashaee, D. (2020). Effect of Microwave Processing and Glass Inclusions on Thermoelectric Properties of P-Type Bismuth Antimony Telluride Alloys for Wearable Applications. Energies, 13(17), 4524. https://doi.org/10.3390/en13174524
