FP-TES: Fluidization Based Particle Thermal Energy Storage, Part II: Experimental Investigations
Abstract
1. Introduction
2. FP-TES Technology
2.1. General Concept
2.2. Technology of Pressure Gradient Induced Particle Transport
2.3. Hopper Design
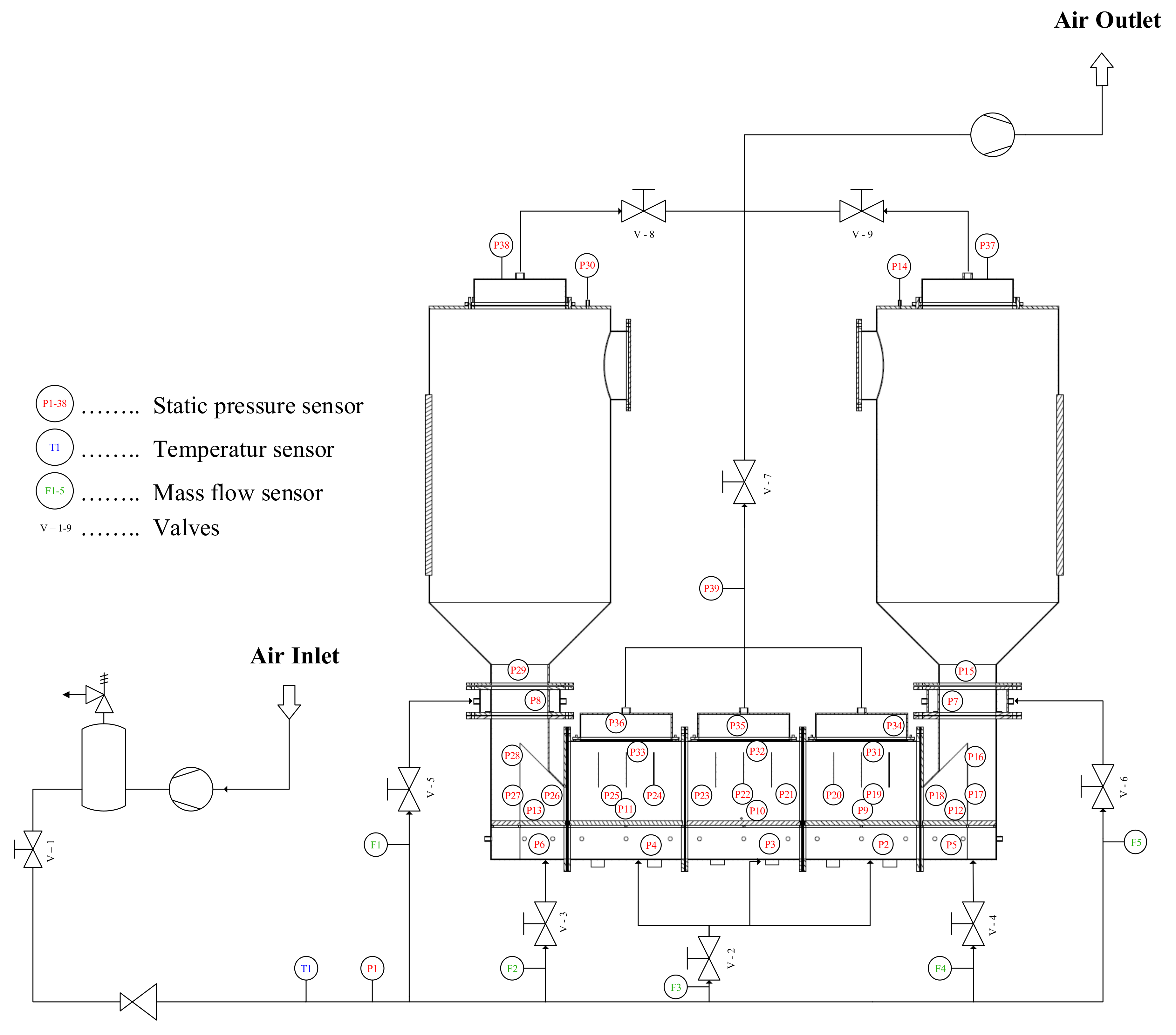
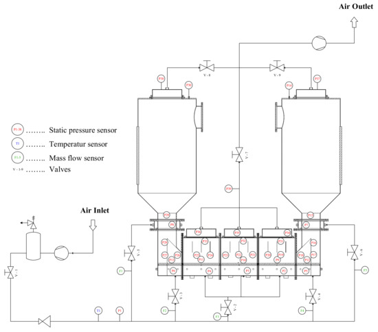
3. FP-TES Cold Test Rig
4. Experimental Investigations and Results
4.1. General Functional Capability and Fluidized Bed Regimes
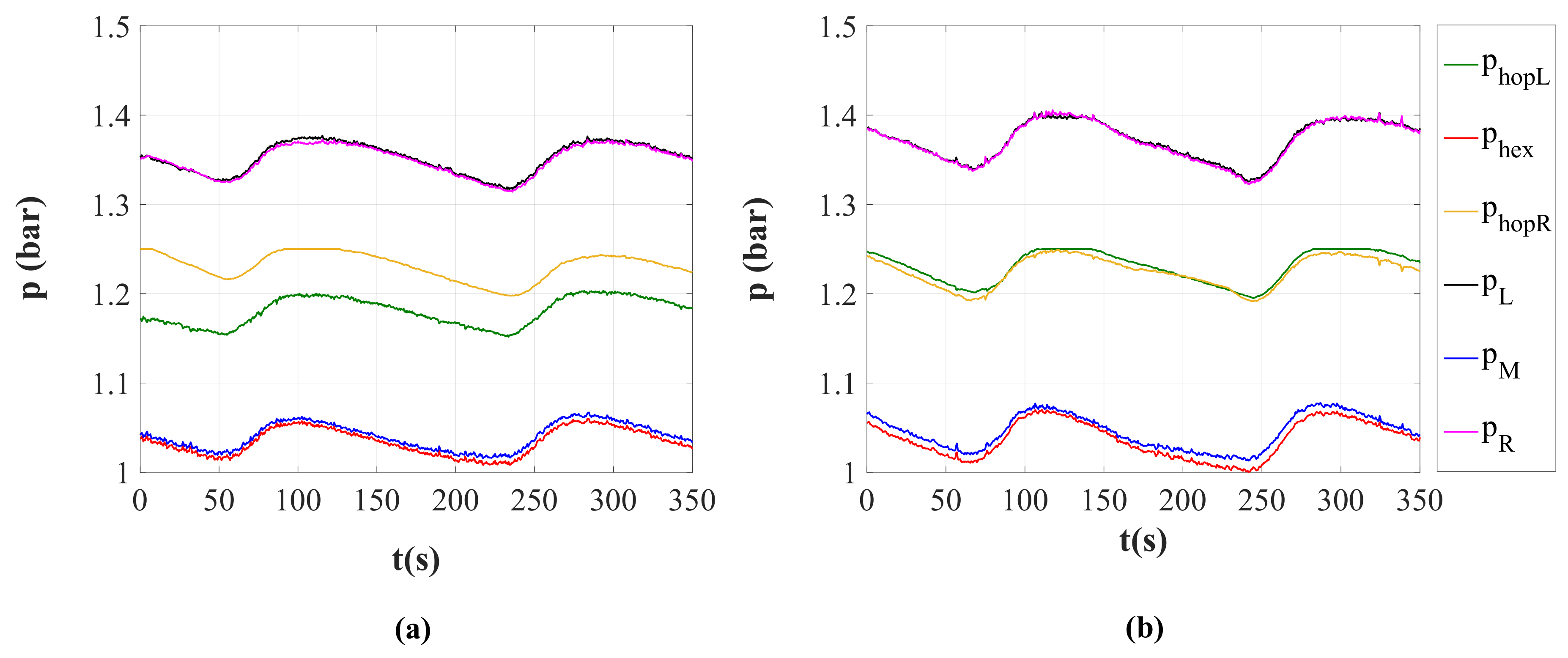
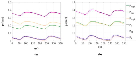
4.2. Conditions for State of Equilibrium
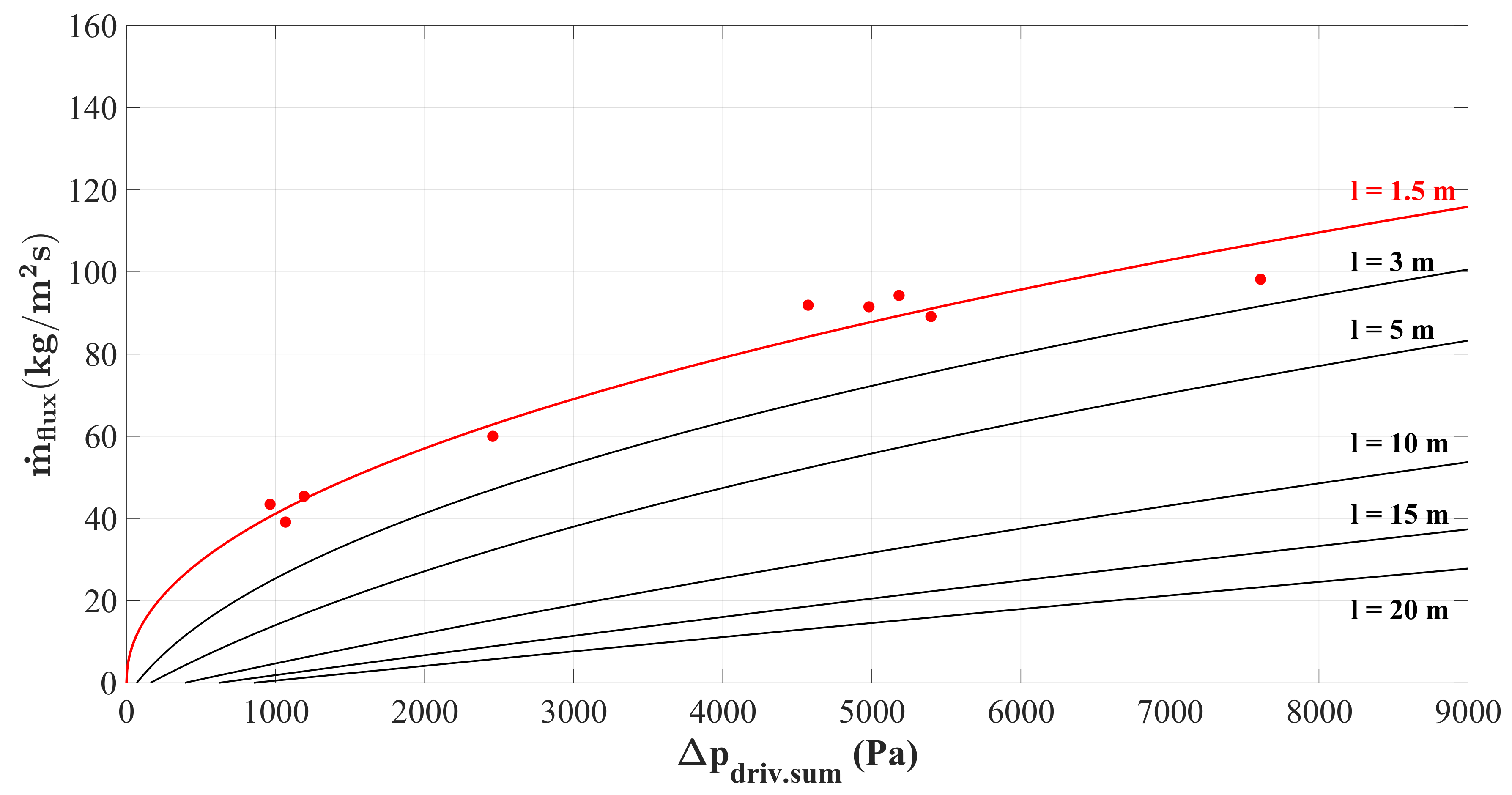
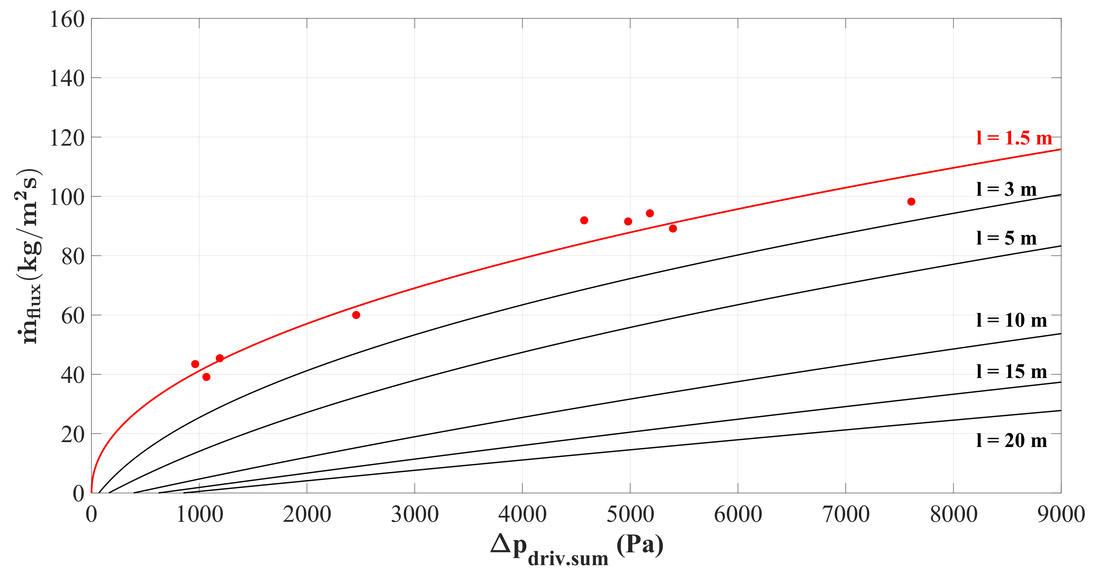
4.3. Investigations on Particle Mass Flow
4.4. Startup and Changeover
5. Discussion and Industrial Application
- The thermal losses caused by cooling down of the storage material during the storage period are minimized by thermal isolation and the isolating effect of the storage material itself [34].
- The thermal losses caused by the fluidization air leaving the FP-TES at high temperature are minimized by recuperation.
- The auxiliary energy demand for blowers to provide the fluidization air is dependent on the needed air mass flow, which is, at a low level, caused by low FGs and the pressure ratio. For quartz sand, the obtained maximum needed pressure ratio of 1.4 in the test rig is increased to 1.7 to cover the higher hopper. For corundum powder, the expected pressure drop is higher, caused by its higher density.
6. Conclusions
Author Contributions
Funding
Acknowledgments
Conflicts of Interest
Abbreviations
| Acronyms | |
| CO | Changeover |
| EU | European Union |
| FG | Fluidization Grade |
| FP-TES | Fluidization Based Particle Thermal Energy Storage |
| HEX | Heat Exchanger |
| P2H | Power to Heat |
| P2H2P | Power to Heat to Power |
| Latin Symbols | |
| A | Cross-Sectional Area HEX, () |
| g | Gravitational Acceleration, () |
| h | Height, (m) |
| l | Length HEX, (m) |
| Mass Flux, () | |
| p | Pressure, () |
| t | Time, (s) |
| Greek Symbols | |
| Pressure Difference, () | |
| Density, () | |
| Porosity, (−) | |
| Indices | |
| Driving | |
| Equilibrium | |
| g | Gas |
| h | Height |
| Heat Exchanger | |
| Hopper | |
| L | Left |
| M | Middle |
| p | Particle |
| R | Right |
| Summarized | |
References
- United Nations Framework Conventionon Climate Change (UNFCCC). Report of the Conference of the Parties on Its Fifteenth Session, Held in Copenhagen from 7 to 19 December 2009; FCCC/CP/2009/11/Add. 1; UNFCCC: Bonn, Germany, 2010. [Google Scholar]
- European Commission. Communication from the Commission to the European Parliament, the Council, the European Economic and Social Committee and the Committee of the Regions, Roadmap for Moving to a Competitive Low Carbon Economy in 2050; European Commission: Brussels, Belgium, 2011. [Google Scholar]
- International Energy Agency. Market Report Series: Renewables 2018; International Energy Agency: Paris, France, 2018. [Google Scholar]
- Unterluggauer, J.; Doujak, E.; Bauer, C. Fatigue Analysis of a Prototype Francis-Turbine based on strain gauge measurements. WasserWirtschaft Extra 2019, S1, 66–71. [Google Scholar] [CrossRef]
- Ruppert, L. Pumped-Storage Implementation in Order to Balance Volatile Renewable Energy Generation. Ph.D. Thesis, TU Wien, Wien, Austria, 2017. [Google Scholar]
- Arias, M.E.; Cochrane, T.A.; Kummu, M.; Lauri, H.; Holtgrieve, G.W.; Koponen, J.; Piman, T. Impacts of hydropower and climate change on drivers of ecological productivity of Southeast Asia’s most important wetland. Ecol. Model. 2014, 272, 252–263. [Google Scholar] [CrossRef]
- Argyrou, M.C.; Christodoulides, P.; Kalogirou, S.A. Energy storage for electricity generation and related processes: Technologies appraisal and grid scale applications. Renew. Sustain. Energy Rev. 2018, 94, 804–821. [Google Scholar] [CrossRef]
- Chen, H.; Cong, T.N.; Yang, W.; Tan, C.; Li, Y.; Ding, Y. Progress in electrical energy storage system: A critical review. Prog. Nat. Sci. 2009, 19, 291–312. [Google Scholar] [CrossRef]
- Ralon, P.; Taylor, M.; Ilas, A.; Diaz-Bone, H.; Kairies, K. Electricity Storage and Renewables: Costs and Markets to 2030; International Renewable Energy Agency: Abu Dhabi, UAE, 2017. [Google Scholar]
- EU. Directive (EU) 2018/2001 of the European Parliament and of the Council of 11 December 2018 Amending Directive 2012/27/EU on Energy Efficency; PE/54/2018/REV/1; EU: Brussels, Belgium, 21 December 2018; Volume OJ L 328, pp. 210–230. [Google Scholar]
- Zhang, N.; Yuan, Y.; Cao, X.; Du, Y.; Zhang, Z.; Gui, Y. Latent heat thermal energy storage systems with solid–liquid phase change materials: A review. Adv. Eng. Mater. 2018, 20, 1700753. [Google Scholar] [CrossRef]
- Cascetta, M.; Serra, F.; Arena, S.; Casti, E.; Cau, G.; Puddu, P. Experimental and numerical research activity on a packed bed TES system. Energies 2016, 9, 758. [Google Scholar] [CrossRef]
- Huber, C.; Setoodeh Jahromy, S.; Jordan, C.; Schreiner, M.; Harasek, M.; Werner, A.; Winter, F. Boric Acid: A High Potential Candidate for Thermochemical Energy Storage. Energies 2019, 12, 1086. [Google Scholar] [CrossRef]
- Alva, G.; Lin, Y.; Fang, G. An overview of thermal energy storage systems. Energy 2018, 144, 341–378. [Google Scholar] [CrossRef]
- Alnaimat, F.; Rashid, Y. Thermal Energy Storage in Solar Power Plants: A Review of the Materials, Associated Limitations, and Proposed Solutions. Energies 2019, 12, 4164. [Google Scholar] [CrossRef]
- Frazzica, A. Recent Advancements in Materials and Systems for Thermal Energy Storage; Springer: Heidelberg, Germany, 2018. [Google Scholar]
- Calderón, A.; Barreneche, C.; Palacios, A.; Segarra, M.; Prieto, C.; Rodriguez-Sanchez, A.; Fernández, A.I. Review of solid particle materials for heat transfer fluid and thermal energy storage in solar thermal power plants. Energy Storage 2019, 1, e63. [Google Scholar] [CrossRef]
- Segarra, M.; Barreneche, C.; Calderón, A.; Fernández, A.I. Materials Selection for Thermal Energy Storage Applications—Case Studies. In Recent Advancements in Materials and Systems for Thermal Energy Storage; Springer: Heidelberg, Germany, 2019; pp. 55–66. [Google Scholar]
- Diago, M.; Iniesta, A.C.; Soum-Glaude, A.; Calvet, N. Characterization of desert sand to be used as a high-temperature thermal energy storage medium in particle solar receiver technology. Appl. Energy 2018, 216, 402–413. [Google Scholar] [CrossRef]
- Yang, W.C. Handbook of Fluidization and Fluid-Particle Systems; CRC Press: Cleveland, OH, USA, 2003. [Google Scholar]
- Sakadjian, B.; Hu, S.; Maryamchik, M.; Flynn, T.; Santelmann, K.; Ma, Z. Fluidized-bed technology enabling the integration of high temperature solar receiver CSP systems with steam and advanced power cycles. Energy Procedia 2015, 69. [Google Scholar] [CrossRef][Green Version]
- Ho, C.K.; Iverson, B.D. Review of high-temperature central receiver designs for concentrating solar power. Renew. Sustain. Energy Rev. 2014, 29, 835–846. [Google Scholar] [CrossRef]
- Rovense, F.; Reyes-Belmonte, M.; González-Aguilar, J.; Amelio, M.; Bova, S.; Romero, M. Flexible electricity dispatch for CSP plant using un-fired closed air Brayton cycle with particles based thermal energy storage system. Energy 2019, 173, 971–984. [Google Scholar] [CrossRef]
- Gomez-Garcia, F.; Gauthier, D.; Flamant, G. Design and performance of a multistage fluidised bed heat exchanger for particle-receiver solar power plants with storage. Appl. Energy 2017, 190, 510–523. [Google Scholar] [CrossRef]
- Schwaiger, K.; Haider, M.; Steiner, P.; Wünsch, D. Fluidized Bed Facility and Method for Conveying a Solid Bulk Product. World Patent No. WO2020097657A1, 22 May 2020. [Google Scholar]
- Woods, J.; Thorpe, R.; Johnson, S. Horizontal pneumatic conveying from a fluidized bed. Chem. Eng. Sci. 2008, 63, 1741–1760. [Google Scholar] [CrossRef]
- Zhang, H.; Kong, W.; Tan, T.; Gilles, F.; Baeyens, J. Experiments support an improved model for particle transport in fluidized beds. Sci. Rep. 2017, 7, 1–10. [Google Scholar] [CrossRef]
- Ogata, K.; Furukawa, T.; Yamamoto, Y. Fluidized powder conveying in a horizontal rectangular channel using fluidizing air. Adv. Powder Technol. 2012, 23, 761–770. [Google Scholar] [CrossRef]
- Steiner, P.; Schwaiger, K.; Walter, H.; Haider, M. Active fluidized bed technology used for thermal energy storage. In Proceedings of the ASME 2016 10th International Conference on Energy Sustainability Collocated with the ASME 2016 Power Conference and the ASME 2016 14th International Conference on Fuel Cell Science, Engineering and Technology, American Society of Mechanical Engineers Digital Collection, Charlotte, NC, USA, 26–30 June 2016. [Google Scholar]
- Eisl, R.; Haider, M.; Holzleithner, F. Heat Storage System. World Patent No. WO2012027769A3, 26 October 2012. [Google Scholar]
- Schwaiger, K. Development of a Novel Particle Reactor/Heat-Exchanger for Thermal Energy Storage. Ph.D. Thesis, TU Wien, Wien, Austria, 2016. [Google Scholar]
- Steiner, P.; Schwaiger, K.; Walter, H.; Haider, M.; Hämmerle, M. Fluidized bed particle heat exchanger for supercritical carbon dioxide power cycles. In Proceedings of the ASME 2016 International Mechanical Engineering Congress and Exposition, American Society of Mechanical Engineers Digital Collection, Phoenix, AZ, USA, 13–16 November 2016. [Google Scholar]
- Wünsch, D. Advanced Regenerator: A Countercurrent Fluidized Bed Regenerator Utilizing a Pressure Gradient for Powder Transport. Master’s Thesis, TU Wien, Wien, Austria, 2016. [Google Scholar]
- Wünsch, D.; Sulzgruber, V.; Haider, M.; Walter, H. FP-TES: A Fluidization Based Particle Thermal Energy Stotage, Part I: Numerical Investigations. Energies 2020, submitted. [Google Scholar]
- Sulzgruber, V.; Wünsch, D.; Haider, M.; Walter, H. Numerical Investigations on the Flow Behavior of a novel Fluidization Based Particle Thermal Energy Storage. Energy 2020. [Google Scholar] [CrossRef]
- Rhodes, M.J. Introduction to Particle Technology; John Wiley & Sons: Hoboken, NJ, USA, 2008. [Google Scholar]
- Cho, G.C.; Dodds, J.; Santamarina, J.C. Particle shape effects on packing density, stiffness, and strength: Natural and crushed sands. J. Geotech. Geoenviron. Eng. 2006, 132, 591–602. [Google Scholar] [CrossRef]
- Steiner, P. Experimental Investigations and Application Analysis of a Particle-Based High Temperature Thermal Energy Storage. Ph.D. Thesis, TU Wien, Wien, Austria, 2017. [Google Scholar]
- Stringer, J.; Wright, I. Materials issues in fluidized bed combustion. J. Mater. Energy Syst. 1986, 8, 319–331. [Google Scholar] [CrossRef]
- Wiman, J.; Almstedt, A.E. Hydrodynamics, erosion and heat transfer in a pressurized fluidized bed: Influence of pressure, fluidization velocity, particle size and tube bank geometry. Chem. Eng. Sci. 1997, 52, 2677–2695. [Google Scholar] [CrossRef]
- Rautenbach, R.; Katz, T. Survey of long time behavior and costs of industrial fluidized bed heat exchangers. Desalination 1997, 108, 335–344. [Google Scholar] [CrossRef]
- Angerer, M.; Becker, M.; Härzschel, S.; Kröper, K.; Gleis, S.; Vandersickel, A.; Spliethoff, H. Design of a MW-scale thermo-chemical energy storage reactor. Energy Rep. 2018, 4, 507–519. [Google Scholar] [CrossRef]












| Parameter | Value |
|---|---|
| Material (-) | quartz sand (SiO > 99%) |
| Mean particle diameter (m) | 86 |
| Width of the particle size contribution (m) | 72–100 |
| Particle density (kg/m) | 2650 |
| Bulk density (kg/m) | 1245.5 |
| Sand mass used in FP-TES (kg) | 900 |
| Sphericity (-) | 0.8 |
| Area | FG |
|---|---|
| HEX | 2–3 |
| Bottom of the risers | 3.5–8 |
| Air injection directly under the hoppers | 4–6.5 |
| Parameter | Corundum Powder | Quartz Sand |
|---|---|---|
| Specific heat capacity (J/kgK) | 1070 | 1062 |
| Bulk density (kg/m) | 2195 | 1245.5 |
| Thermal power (kW) | 545–2406 | 296–1308 |
| Capacity (MWh) | 5.61 | 3.05 |
| Charging/Discharging time (h) | 2.3–10.3 | 2.3–10.3 |
| Blower power (kW) | 10 | 5.4 |
| Thermal losses—air flow (kW) | 7.2 | 6.8 |
| Thermal losses—isolation (kW) | 5.2 | 5.2 |
| Efficiency (-) | 0.93–0.98 | 0.9–0.97 |
© 2020 by the authors. Licensee MDPI, Basel, Switzerland. This article is an open access article distributed under the terms and conditions of the Creative Commons Attribution (CC BY) license (http://creativecommons.org/licenses/by/4.0/).
Share and Cite
Sulzgruber, V.; Wünsch, D.; Walter, H.; Haider, M. FP-TES: Fluidization Based Particle Thermal Energy Storage, Part II: Experimental Investigations. Energies 2020, 13, 4302. https://doi.org/10.3390/en13174302
Sulzgruber V, Wünsch D, Walter H, Haider M. FP-TES: Fluidization Based Particle Thermal Energy Storage, Part II: Experimental Investigations. Energies. 2020; 13(17):4302. https://doi.org/10.3390/en13174302
Chicago/Turabian StyleSulzgruber, Verena, David Wünsch, Heimo Walter, and Markus Haider. 2020. "FP-TES: Fluidization Based Particle Thermal Energy Storage, Part II: Experimental Investigations" Energies 13, no. 17: 4302. https://doi.org/10.3390/en13174302
APA StyleSulzgruber, V., Wünsch, D., Walter, H., & Haider, M. (2020). FP-TES: Fluidization Based Particle Thermal Energy Storage, Part II: Experimental Investigations. Energies, 13(17), 4302. https://doi.org/10.3390/en13174302

