Updated Typical Weather Years for the Energy Simulation of Buildings in Mediterranean Climate. A Case Study for Sicily
Abstract
1. Introduction
2. Literature Review on Typical Weather Years for Energy Simulation of Buildings
- the procedure designed by Hall et al. [13] at Sandia Laboratories in 1978, leading to the original format called Typical Meteorological Year (TMY) and then slightly modified by the National Renewable Energy Laboratory (NREL) into the more recent formats called TMY2 in 1995 [14] and TMY3 in 2005 [15];
- the procedure introduced by the ISO 15927-4 Standard in 2005 [18].
3. Methodology
3.1. Procedure for the Identification and Concatenation of the Typical Months
- 1.
- Selection of the weather parameters for statistical analysis. TMY and IWEC methodologies, building upon the original method by Hall et al. [13], choose the following nine parameters that are considered with daily frequency: Minimum, maximum and mean values of dry bulb air temperature (°C) and dew point temperature (°C), maximum and mean values of the wind speed (m/s), and cumulated global horizontal solar irradiation (Wh/m2). The ISO 15927-4 Standard reduces this set of parameters to only three, i.e., the daily average of dry bulb temperature (°C), relative humidity (%), and global horizontal solar irradiation (Wh/m2). In all cases, the dew point temperature can be replaced by the relative humidity because the two variables can be determined from each other by also using one more independent moist air property (dry bulb temperature) through psychrometrics.
- 2.
- Construction of the Cumulative Distribution Functions (CDFs) for the selected weather parameters. For every calendar month, the daily values of the selected weather parameters are sorted in ascending order and then used for creating monthly CDFs referred both to the whole period of record (long-term) and to each single year (short-term). CDFs are built according to Equation (1) in the TMY approach, or Equation (2) if the ISO 15927-4 Standard is adopted:In the above equations, x is the weather parameter, n is the total number of daily observations for that parameter, k is the order number for each x-value within that calendar month (short-term) or within the whole dataset (long-term). No explicit reference to the previous equations is made in the IWEC method. In this paper, the approach indicated in Equation (1) is followed in the construction of the IWEC typical year.
- 3.
- Estimate of the closeness of single months’ CDFs to the long-term CDF. For each weather parameter and for each calendar month, the distance between long-term and short-term distributions is evaluated by means of the Finkelstein-Schafer (FS) statistics [60], which is defined as follows for the different procedures:being n the number of days of that specific month and δk the absolute difference between the long-term and the single month CDF values evaluated for every day of the month.
- 4.
- Weighted sum of the FS statistics and ranking order. Since some weather parameters may be deemed more important than others for building energy simulations, the IWEC and the TMY procedures introduce a weighted sum of the single FS statistics calculated for every parameter, as in Equation (5):The weighting factors Wj attributed to each of the nine weather parameters vary with the standards, and are summarized in Table 2. As far as the ISO 15927-4 Standard is concerned, this does not introduce any weighting process, meaning that the same importance is attributed to the three weather parameters considered in this standard.
- 5.
- Selection of the Typical Month (TM). Here, the IWEC approach implies—for the five months with the lowest WS—the calculation of the monthly mean and median of both the dry bulb temperature and the global horizontal irradiance, and eventually chooses the month closest to the long-term series. On the other hand, the TMY includes a persistence analysis: The candidate months with the longest run and with the highest number of runs either above the 67th long-term percentile or below the 33rd long-term percentile, as well as those with no runs, are excluded; eventually, the top ranked candidate month remaining after the persistence analysis is retained as the Typical Month.Finally, the ISO 15927-4 Standard selects the TM amongst the three best candidate months coming from step 4 as the one with the lowest deviation of the monthly mean wind speed from the long-term figure.
- 6.
- Smoothing discontinuities at month interfaces. Since the 12 selected Typical Months are likely to belong to different years of observation, a smoothing procedure is needed between the last hours of the preceding month and the beginning hours of the following month via curve-fitting or interpolation techniques.
3.2. Preparation of the Weather File in the .epw Format
- Compulsory parameters: Dew point temperature (°C), atmospheric pressure (Pa), horizontal infrared radiation intensity (W/m2), direct normal irradiance (W/m2), diffuse horizontal irradiance (W/m2), wind direction (degrees from north), and opaque sky cover (tenths of coverage).
- Additional parameters: Snow depth (cm) and liquid precipitation depth (mm).
3.3. Case Study Building and Dynamic Energy Simulations
4. The Weather Station
5. Results
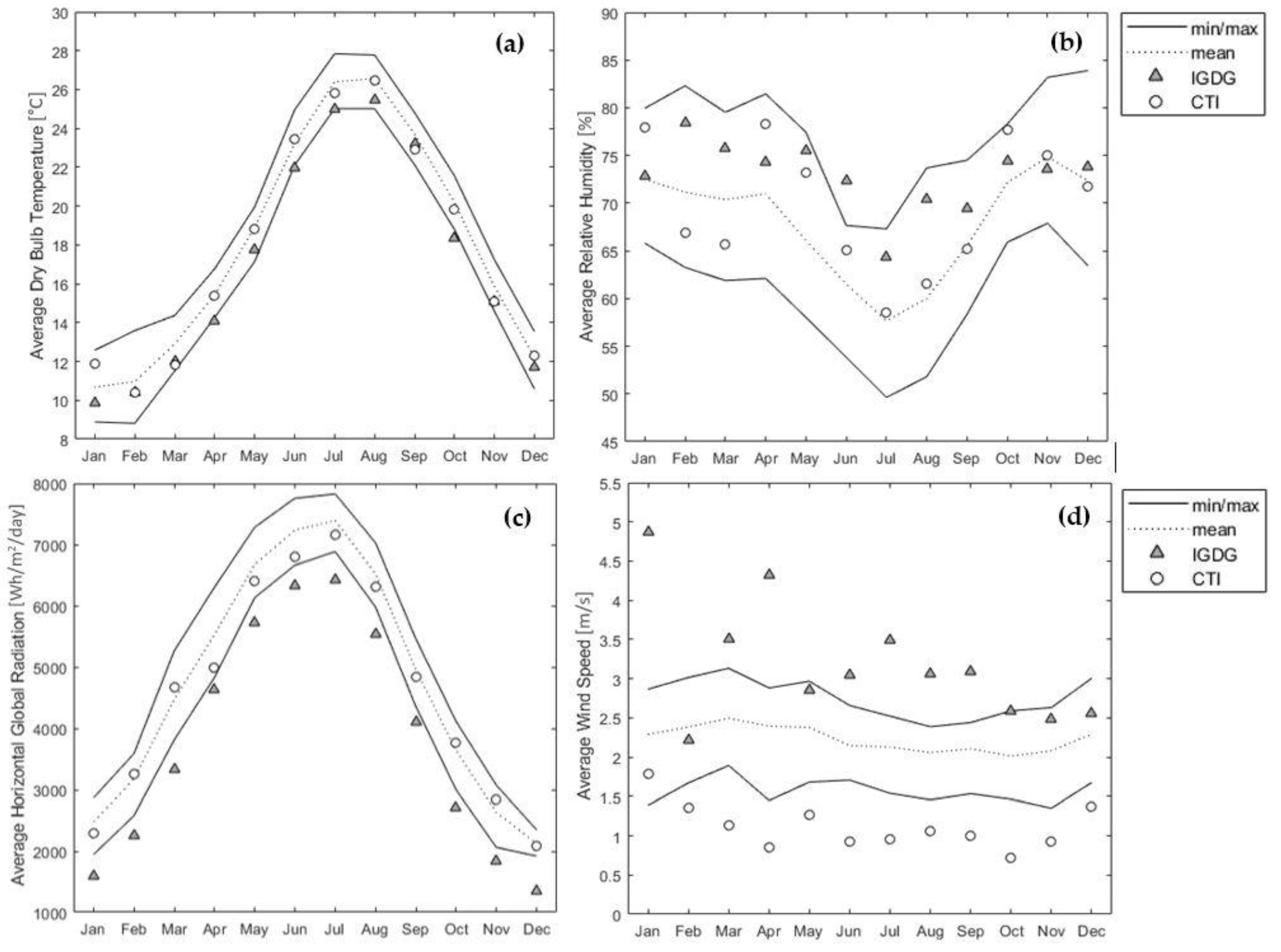
5.1. Statistical Analysis of the SIAS Weather Data
5.2. Selection of the Typical Months and Their Comparison
5.3. Results of the Dynamic Simulations
6. Conclusions
Author Contributions
Funding
Acknowledgments
Conflicts of Interest
References
- IEA. 2018 Global Status Report. Available online: https://www.iea.org/reports/2018-global-status-report (accessed on 7 April 2020).
- Fichera, A.; Frasca, M.; Palermo, V.; Volpe, R. An optimization tool for the assessment of urban energy scenarios. Energy 2018, 156, 418–429. [Google Scholar] [CrossRef]
- De Wilde, P. Building Performance Analysis, 1st ed.; Wiley Blackwell: Oxford, UK, 2018. [Google Scholar]
- Hensen, J.L.M.; Lamberts, R. Building Performance Simulation for Design and Operation, 1st ed.; Taylor & Francis: Abingdon, UK, 2011. [Google Scholar]
- De Masi, R.F.; Gigante, A.; Ruggiero, S.; Vanoli, G.P. The impact of weather data sources on building energy retrofit design: Case study in heating-dominated climate of Italian backcountry. J. Build. Perform. Simul. 2020, 13, 264–284. [Google Scholar] [CrossRef]
- Cui, Y.; Yan, D.; Hong, T.; Xiao, C.; Luo, X.; Zhang, Q. Comparison of typical year and multiyear building simulations using a 55-year actual weather data set from China. Appl. Energy 2017, 197, 890–904. [Google Scholar] [CrossRef]
- Wang, L.; Mathew, P.; Pang, X. Uncertainties in energy consumption introduced by building operations and weather for a medium-size office building. Energy Build. 2012, 53, 152–158. [Google Scholar] [CrossRef]
- Erba, S.; Causone, F.; Armani, R. The effect of weather datasets on building energy simulation outputs. Energy Procedia 2017, 134, 545–554. [Google Scholar] [CrossRef]
- Pernigotto, G.; Prada, A.; Cóstola, D.; Gasparella, A.; Hensen, J.L.M. Multi-year and reference year weather data for building energy labelling in north Italy climates. Energy Build. 2014, 72, 62–72. [Google Scholar] [CrossRef]
- Lou, S.; Li, D.H.W.; Huang, Y.; Zhou, X.; Xia, D.; Zhao, Y. Change of climate data over 37 years in Hong Kong and the implications on the simulation-based building energy evaluations. Energy Build. 2020, 222, 110062. [Google Scholar] [CrossRef]
- IGDG Weather Dataset. Available online: https://energyplus.net/sites/all/modules/custom/weather/weather_files/italia_dati_climatici_g_de_giorgio.pdf (accessed on 7 April 2020).
- CTI Energia Ambiente (Comitato Termotecnico Italiano). Available online: https://try.cti2000.it (accessed on 7 April 2020).
- Hall, I.J.; Prairie, R.; Anderson, H.; Boes, E. Generation of a Typical Meteorological Year for 26 SOLMET Stations; Technical Report SAND-78-1601; Sandia National Laboratories: Albuquerque, NM, USA, 1978.
- Marion, W.; Urban, K. User’s Manual for TMY2; National Renewable Energy Laboratory: Golden, CO, USA, 1995. Available online: http://rredc.nrel.gov/solar/pubs/tmy2 (accessed on 7 April 2020).
- Wilcox, S.; Marion, W. User’s Manual for TMY3 Data Sets; Technical Report NREL/TP-581-43156; National Renewable Energy Laboratory: Golden, CO, USA, 2008.
- Thevenard, D.J.; Brunger, A.P. The development of typical weather years for international locations: Part I, algorithms. ASHRAE Trans. 2002, 108, 376. [Google Scholar]
- Huang, Y.J.; Su, F.; Sheo, D.; Krarti, M. Development of 3012 IWEC2 weather files for international locations (RP-1477). ASHRAE Trans. 2014, 120, 340–355. [Google Scholar]
- Hygrothermal performance of buildings—Calculation and presentation of climatic data—Part 4: Hourly data for assessing the annual energy for heating and cooling. In ISO 15927-4:2005; ISO: Vernier, Switzerland, 2005.
- Festa, R.; Ratto, C.F. Proposal of a numerical procedure to select Reference Years. Sol. Energy 1993, 50, 9–17. [Google Scholar] [CrossRef]
- Lund, H.; Eidorff, S. Selection Methods for Production of Test Reference Years, Appendix D, Contract 284-77 ES DK; Final Report, EUR 7306 EN; Technical University of Denmark: Lyngby, DK, 1980. [Google Scholar]
- Canadian Weather Energy and Engineering Data Sets (CWEEDS files) and Canadian Weather for Energy Calculations (CWEC files) Updated User’s Manual; Environment Canada and National Research Council of Canada: Ottawa, ON, Canada, 2008.
- ASHRAE Handbook Fundamentals, S.I. ed.; Chapter 24; American Society of Heating, Refrigerating and Air-Conditioning Systems: Atlanta, GA, USA, 1989.
- Argiriou, A.; Lykoudis, S.; Kontoyiannidis, S.; Balaras, C.A.; Asimakopoulos, D.; Petrakis, M.; Kassomenos, P. Comparison of methodologies for TMY generation using 20 years data for Athens, Greece. Solar Energy 1999, 66, 33–45. [Google Scholar] [CrossRef]
- Chan, A.L.S.; Chow, T.T.; Fong, S.K.F.; Lin, J.Z. Generation of a typical meteorological year for Hong Kong. Energy Convers. Manag. 2006, 47, 87–96. [Google Scholar] [CrossRef]
- Chan, A.L.S. Generation of typical meteorological years using genetic algorithm for different energy systems. Renew. Energy 2016, 90, 1–13. [Google Scholar] [CrossRef]
- Siu, C.Y.; Liao, Z. Is building energy simulation based on TMY representative: A comparative simulation study on doe reference buildings in Toronto with typical year and historical year type weather files. Energy Build. 2020, 211, 109760. [Google Scholar] [CrossRef]
- Bre, F.; Fachinotti, V.G. Generation of typical meteorological years for the Argentine Littoral Region. Energy Build. 2016, 219, 432–444. [Google Scholar] [CrossRef]
- Jiang, Y. Generation of typical meteorological year for different climates of China. Energy 2010, 35, 1946–1953. [Google Scholar] [CrossRef]
- Kalamees, T.; Jylhä, K.; Tietäväinen, H.; Jokisalo, J.; Ilomets, S.; Hyvönen, R.; Sakub, S. Development of weighting factors for climate variables for selecting the energy reference year according to the EN ISO 15927-4 standard. Energy Build. 2012, 47, 53–60. [Google Scholar] [CrossRef]
- Kalogirou, S.A. Generation of typical meteorological year (TMY-2) for Nicosia, Cyprus. Renew. Energy 2003, 28, 2317–2334. [Google Scholar] [CrossRef]
- Kulesza, K. Comparison of typical meteorological year and multi-year time series of solar conditions for Belsk, central Poland. Renew. Energy 2017, 113, 1135–1140. [Google Scholar] [CrossRef]
- Lee, K.; Yoo, H.; Levermore, G.J. Generation of typical weather data using the ISO Test Reference Year (TRY) method for major cities of South Korea. Build. Environ. 2010, 45, 956–963. [Google Scholar] [CrossRef]
- Levermore, G.J.; Parkinson, J.B. Analyses and algorithms for new Test Reference Years and Design Summer Years for the UK. Build. Serv. Eng. Res. Technol. 2006, 27, 311–325. [Google Scholar] [CrossRef]
- Oko, C.O.C.; Ogoloma, O.B. Generation of a Typical Meteorological Year for Port Harcourt zone. J. Eng. Sci. Technol. 2001, 6, 204–214. [Google Scholar]
- Skeiker, K. Comparison of methodologies for TMY generation using 10 years data for Damascus, Syria. Energy Convers. Manag. 2007, 48, 2090–2102. [Google Scholar] [CrossRef]
- Yilmaz, S.; Ekmekci, I. The generation of Typical Meteorological Year and climatic database of Turkey for the energy analysis of buildings. J. Environ. Sci. Eng. A 2017, 6, 370–376. [Google Scholar]
- Bhandari, M.; Shrestha, S.J. Evaluation of weather datasets for building energy simulation. Energy Build. 2012, 49, 109–118. [Google Scholar] [CrossRef]
- Hosseini, M.; Lee, B.; Vakilinia, S. Energy performance of cool roofs under the impact of actual weather data. Energy Build. 2017, 145, 284–292. [Google Scholar] [CrossRef]
- Crawley, D.; Lawrie, L. Should we be using just ‘Typical’ weather data in building performance simulation? In Proceedings of the Building Simulation International Conference, Rome, Italy, 2–4 September 2019. [Google Scholar]
- Rahman, I.A.; Dewsbury, J. Selection of typical weather data (test reference years) for Subang, Malaysia. Building Environ. 2007, 42, 3636–3641. [Google Scholar] [CrossRef]
- Sawaqed, N.M.; Zurigat, Y.H.; Al-Hinai, H. A step-by-step application of Sandia method in developing typical meteorological years for different locations in Oman. Int. J. Energy Res. 2005, 29, 723–737. [Google Scholar] [CrossRef]
- Ebrahimpour, A.; Maerefat, M. A method for generation of typical meteorological year. Energy Convers. Manag. 2010, 51, 410–417. [Google Scholar] [CrossRef]
- Janjai, S.; Deeyai, P. Comparison of methods for generating typical meteorological year using meteorological data from a tropical environment. Appl. Energy 2009, 86, 528–537. [Google Scholar] [CrossRef]
- Lhendup, T.; Lhendup, S. Comparison of methodologies for generating a typical meteorological year (TMY). Energy Sustain. Dev. 2007, 11, 5–10. [Google Scholar] [CrossRef]
- Ohunakin, O.S.; Adaramola, M.; Oyewola, O.M.; Fagbenle, R.O. Generation of a typical meteorological year for north-east, Nigeria. Appl. Energy 2013, 112, 152–159. [Google Scholar] [CrossRef]
- Zang, H.; Wang, M.; Huang, J.; Wei, Z.; Sun, G. A hybrid method for generation of Typical Meteorological Years for different climates of China. Energies 2016, 9, 1094. [Google Scholar] [CrossRef]
- Pernigotto, G.; Prada, A.; Cappelletti, F.; Gasparella, A. Impact of reference years on the outcome of multi-objective optimization for building energy refurbishment. Energies 2017, 10, 1925. [Google Scholar] [CrossRef]
- Pernigotto, G.; Prada, A.; Gasparella, A.; Hensen, J.L.M. Analysis and improvement of the representativeness of EN ISO 15927-4 reference years for building energy simulation. J. Build. Perform. Simul. 2014, 7, 391–410. [Google Scholar] [CrossRef]
- Sorrentino, G.; Scaccianoce, G.; Morale, M.; Franzitta, V. The importance of reliable climatic data in the energy evaluation. Energy 2012, 48, 74–79. [Google Scholar] [CrossRef]
- Kim, S.; Zirkelbach, D.; Künzel, H.M.; Lee, J.-H.; Choi, J. Development of test reference year using ISO 15927-4 and the influence of climatic parameters on building energy performance. Build. Environ. 2017, 114, 374–386. [Google Scholar] [CrossRef]
- David, M.; Adelard, L.; Lauret, P.; Garde, F. A method to generate Typical Meteorological Years from raw hourly climatic databases. Build. Environ. 2010, 45, 1722–1732. [Google Scholar] [CrossRef]
- Yang, L.; Lam, J.C.; Liu, J. Analysis of typical meteorological years in different climates of China. Energy Convers. Manag. 2007, 48, 654–668. [Google Scholar] [CrossRef]
- Ohunakin, O.S.; Adaramola, M.S.; Oyewola, O.M.; Fagbenle, R.L.; Abam, F.I. A Typical Meteorological Year Generation Based on NASA Satellite Imagery (GEOS-I) for Sokoto, Nigeria. Int. J. Photoenergy 2014, 2014, 468562. [Google Scholar] [CrossRef]
- Arima, Y.; Ooka, R.; Kikumoto, H. Proposal of typical and design weather year for building energy simulation. Energy Build. 2017, 139, 517–524. [Google Scholar] [CrossRef]
- Bevilacqua, P.; Bruno, R.; Arcuri, N. Green roofs in a Mediterranean climate: Energy performances based on in-situ experimental data. Renew. Energy 2020, 152, 1414–1430. [Google Scholar] [CrossRef]
- Chiesa, G.; Grosso, M. The influence of different hourly typical meteorological years on dynamic simulation of buildings. Energy Procedia 2015, 78, 2560–2565. [Google Scholar] [CrossRef]
- Lupato, G.; Manzan, M. Italian TRYs: New weather data impact on building energy simulations. Energy Build. 2019, 185, 287–303. [Google Scholar] [CrossRef]
- Kočí, J.; Kočí, V.; Maděra, J.; Černý, R. Effect of applied weather data sets in simulation of building energy demands: Comparison of design years with recent weather data. Renew. Sustain. Energy Rev. 2019, 100, 22–32. [Google Scholar] [CrossRef]
- Vasaturo, R.; van Hooff, T.; Kalkman, I.; Blocken, B.; van Wesemael, P. Impact of passive climate adaptation measures and building orientation on the energy demand of a detached lightweight semi-portable building. Build. Simul. 2018, 11, 1163–1177. [Google Scholar] [CrossRef]
- Finkelstein, J.M.; Schafer, R.E. Improved goodness-of-fit tests. Biometrika 1971, 58, 641–645. [Google Scholar] [CrossRef]
- US Department of Energy. EnergyPlus Version 8.9. Available online: https://energyplus.net/documentation (accessed on 7 April 2020).
- ASHRAE Handbook Fundamentals, S.I. ed.; Chapter 1: Psychometrics; American Society of Heating, Refrigerating and Air-Conditioning Systems: Atlanta, GA, USA, 2013.
- Bianchi, C.; Smith, A.D. Localized Actual Meteorological Year File Creator (LAF): A tool for using locally observed weather data in building energy simulations. SoftwareX 2019, 10, 100299. [Google Scholar] [CrossRef]
- Boland, J.; Ridley, B. Models of Diffuse Solar Fraction. In Modeling Solar Radiation at the Earth’s Surface; Springer: Berlin/Heidelberg, Germany, 2008. [Google Scholar]
- UNI/TS 10349-1; Riscaldamento e raffrescamento degli edifici—Dati Climatici—Parte 1: Medie Mensili per la Valutazione della Prestazione Termo-Energetica Dell’edificio e Metodi per Ripartire l’Irradianza Solare Nella Frazione Diretta e Diffusa e per Calcolare l’Irradianza Solare su di una Superficie Inclinata; Ente Nazionale di Unificazione: Milan, Italy, 2016. (In Italian)
- Walton, G.N. Thermal Analysis Research Program Reference Manual; NBSSIR 83-2655; National Bureau of Standards: Washington, DC, USA, 1983; p. 21.
- Clark, G.; Allen, C. The estimation of atmospheric radiation for clear and cloudy skies. In Proceedings of the 2nd National Passive Solar Conference (AS/ISES), Philadelphia, PA, USA, 16–18 March 1978; pp. 675–678. [Google Scholar]
- Smith, A.; Lott, N.; Vose, R. The Integrated Surface Database: Recent developments and partnerships. NOAA’s National Climatic Data Center, Asheville, North Carolina. Bull. Am. Meteor. Soc. 2011, 92, 704–708. [Google Scholar] [CrossRef]
- ASHRAE Handbook—Fundamentals, S.I. ed.; Chapter 26 Ventilation and Infiltration; American Society of Heating, Refrigerating and Air-Conditioning Systems: Atlanta, GA, USA, 2009.
- UNI/TS 11300-1, Prestazioni Energetiche Degli Edifici—Parte 1: Determinazione del Fabbisogno di Energia Termica dell’Edificio per la Climatizzazione Estiva ed Invernale; Ente Nazionale di Unificazione: Milan, Italy, 2014. (In Italian)
- EN 15251; Indoor Environmental Input Parameters for Design and Assessment of Energy Performance of Buildings-Addressing Indoor Air Quality, Thermal Environment, Lighting and Acoustics; European Committee for Standardisation: Brussels, Belgium, 2007.
- Salvati, A.; Palme, M.; Chiesa, G.; Kolokotroni, M. Built form, urban climate and building energy modelling: Case-studies in Rome and Antofagasta. J. Build. Perform. Simul. 2020, 13, 209–225. [Google Scholar] [CrossRef]
- Santamouris, M. Cooling the cities—A review of reflective and green roof mitigation technologies to fight heat island and improve comfort in urban environments. Sol. Energy 2014, 103, 682–703. [Google Scholar] [CrossRef]
- Radhi, H.A. Comparison of the accuracy of building energy analysis in Bahrain using data from different weather periods. Renew. Energy 2009, 34, 869–875. [Google Scholar] [CrossRef]











| Authors | Ref. | Year | Selection Procedure | Number of Sites | Energy Simulation | Country | |||
|---|---|---|---|---|---|---|---|---|---|
| TMY | IWEC | ISO | Other | ||||||
| Argiriou et al. | [23] | 1999 | x | - | - | x | 1 | x | Greece |
| Kalogirou | [30] | 2003 | x | - | - | - | 1 | - | Cyprus |
| Sawaqed et al. | [41] | 2005 | x | - | - | - | 7 | - | Oman |
| Levermore and Parkinson | [33] | 2006 | - | x | - | - | 14 | - | UK |
| Chan et al. | [24] | 2006 | x | x | - | - | 1 | - | Hong Kong |
| Rahman and Dewsbury | [40] | 2007 | - | - | x | - | 1 | - | Malaysia |
| Skeiker | [35] | 2007 | x | - | - | x | 1 | x | Syria |
| Lhendup and Lhendup | [44] | 2007 | - | - | - | x | 4 | - | Australia |
| Yang et al. | [52] | 2007 | x | - | - | - | 35 | - | China |
| Janjai and Deeyai | [43] | 2009 | x | - | - | x | 4 | x | Thailand |
| David et al. | [51] | 2010 | - | - | - | x | 23 | - | Worldwide |
| Ebrahimpour and Maerefat | [42] | 2010 | x | - | - | - | 1 | - | Iran |
| Lee et al. | [32] | 2010 | - | x | - | - | 7 | - | South Korea |
| Jiang | [28] | 2010 | x | - | - | - | 8 | - | China |
| Oko and Ogoloma | [34] | 2011 | x | - | - | - | 1 | - | Nigeria |
| Bhandari et al. | [37] | 2012 | x | - | - | - | 1 | x | USA |
| Sorrentino et al. | [49] | 2012 | x | - | x | x | 1 | x | Italy |
| Kalamees et al. | [29] | 2012 | - | - | x | - | 4 | x | Finland |
| Ohunakin et al. | [45] | 2013 | x | - | - | - | 5 | - | Nigeria |
| Ohunakin et al. | [53] | 2014 | x | - | - | - | 1 | - | Nigeria |
| Pernigotto et al. | [9] | 2014 | - | - | x | - | 5 | x | Italy |
| Pernigotto et al. | [48] | 2014 | x | - | x | - | 5 | x | Italy |
| Bre and Fachinotti | [27] | 2016 | - | x | - | - | 15 | x | Argentina |
| Chan | [25] | 2016 | x | x | - | - | 1 | x | Hong Kong |
| Zang et al. | [46] | 2016 | x | - | - | x | 35 | - | China |
| Kulesza | [31] | 2017 | x | - | x | - | 1 | - | Poland |
| Yilmaz and Ekmekci | [36] | 2017 | x | - | - | - | 81 | - | Turkey |
| Pernigotto et al. | [47] | 2017 | - | - | x | - | 2 | x | Italy |
| Hosseini et al. | [38] | 2017 | - | - | - | x | 1 | x | Canada |
| Kim et al. | [50] | 2017 | x | - | x | - | 18 | x | South Korea |
| Arima et al. | [54] | 2017 | - | - | - | x | 1 | x | Japan |
| Crawley and Lawrie | [39] | 2019 | x | - | - | x | 5 | x | USA, UK |
| Siu and Liao | [26] | 2020 | - | - | - | x | 1 | x | Canada |
| Method | Tmin | Tmax | Tavg | RHmin | RHmax | RHavg | Wmax | Wavg | GHIcum |
|---|---|---|---|---|---|---|---|---|---|
| IWEC | 5/100 | 5/100 | 30/100 | 2.5/100 | 2.5/100 | 5/100 | 5/100 | 5/100 | 40/100 |
| TMY | 1/24 | 1/24 | 2/24 | 1/24 | 1/24 | 2/24 | 2/24 | 2/24 | 12/24 |
| Building Component | U-Value | SHGC | ||
|---|---|---|---|---|
| Uninsulated Case [W m−2 K−1] | Insulated Case [W m−2 K−1] | Uninsulated Case [–] | Insulated Case [–] | |
| External walls | 0.86 | 0.40 | - | - |
| Slabs | 2.72 | 2.72 | - | - |
| Windows and glazed doors | 5.78 | 1.82 | 0.862 | 0.743 |
| Dry bulb Temperature |
|
| Relative Humidity |
|
| Global Horizontal Irradiation |
|
| Wind Speed |
|
| Year | Jan | Feb | Mar | Apr | May | Jun | Jul | Aug | Sept | Oct | Nov | Dec |
|---|---|---|---|---|---|---|---|---|---|---|---|---|
| 2002 | 744/- | 672/- | 744/- | 720/- | 744/- | 720/- | 517/744 | 329/744 | -/- | 528/- | 720/- | 448/- |
| 2003 | -/- | -/- | -/- | -/- | -/- | -/- | -/- | 287/744 | 34/- | -/- | 483/720 | 744/744 |
| 2004 | 348/744 | 96/672 | -/- | -/- | -/- | 200/720 | -/- | 35/- | 1/- | -/- | 171/- | 208/744 |
| 2005 | 41/- | -/- | -/- | 1/- | -/- | -/- | -/- | -/- | 107/720 | 2/- | -/- | 53/- |
| 2006 | 124/744 | 3/- | 65/- | 1/- | 150/744 | -/- | -/- | -/- | 16/- | 199/744 | 16/- | 83/- |
| 2007 | 1/- | 10/- | 39/- | 5/- | -/- | 7/- | -/- | -/- | -/- | 8/- | 10/- | 21/- |
| 2008 | 1/- | 95/672 | 32/- | -/- | -/- | -/- | 33/- | -/- | -/- | -/- | 217/720 | 12/- |
| 2009 | 40/- | 4/- | 3/- | -/- | -/- | -/- | -/- | -/- | 2/- | 11/- | -/- | 13/- |
| 2010 | 221/744 | 45/- | 117/744 | 269/720 | 34/- | 1/- | 17/- | 10/- | 4/- | 1/- | 8/- | 2/- |
| 2011 | 2/- | -/- | 2/- | -/- | 2/- | 2/- | -/- | -/- | -/- | -/- | -/- | 1/- |
| 2012 | 1/- | 2/- | -/- | 1/- | 1/- | -/- | -/- | -/- | -/- | 1-/- | -/- | -/- |
| 2013 | 4/- | 4/- | -/- | 6/- | 14/- | -/- | -/- | 2/- | -/- | -/- | -/- | -/- |
| 2014 | 1/- | -/- | -/- | 1/- | 1/- | -/- | -/- | -/- | -/- | -/- | -/- | 25/- |
| 2015 | 2/- | -/- | -/- | -/- | -/- | -/- | -/- | 2/- | 2/- | -/- | -/- | -/- |
| 2016 | -/- | -/- | -/- | -/- | -/- | 1/- | -/- | -/- | -/- | -/- | -/- | 2/- |
| 2017 | -/- | 1/- | -/- | 1/- | -/- | -/- | -/- | -/- | -/- | -/- | 3/- | 1/- |
| 2018 | -/- | -/- | 1/- | -/- | -/- | -/- | -/- | -/- | -/- | 2/- | -/- | 94/- |
| 2019 | -/- | -/- | -/- | -/- | 1/- | -/- | -/- | -/- | 1/- | -/- | -/- | 1/- |
| Method | Jan | Feb | Mar | Apr | May | Jun | Jul | Aug | Sept | Oct | Nov | Dec |
|---|---|---|---|---|---|---|---|---|---|---|---|---|
| IWEC | 2011 | 2006 | 2012 | 2019 | 2005 | 2009 | 2005 | 2007 | 2013 | 2015 | 2019 | 2008 |
| TMY | 2011 | 2006 | 2012 | 2008 | 2016 | 2009 | 2008 | 2004 | 2004 | 2009 | 2004 | 2008 |
| ISO | 2014 | 2006 | 2011 | 2011 | 2016 | 2009 | 2004 | 2010 | 2013 | 2015 | 2010 | 2008 |
| Variable | Error | IWEC | TMY | ISO |
|---|---|---|---|---|
| Dry Bulb Temperature [°C] | MBE | −0.08 | −0.34 | −0.05 |
| MAE | 0.25 | 0.40 | 0.32 | |
| RMSE | 0.31 | 0.55 | 0.42 | |
| Relative Humidity [%] | MBE | −0.90 | 1.03 | 0.34 |
| MAE | 2.49 | 2.21 | 1.43 | |
| RMSE | 3.03 | 2.74 | 1.69 | |
| Wind Speed [m/s] | MBE | 0.02 | −0.11 | 0.01 |
| MAE | 0.22 | 0.19 | 0.14 | |
| RMSE | 0.26 | 0.23 | 0.15 | |
| Daily Global Solar Irradiation [kWh/m2/day] | MBE | −9.4 | 23.6 | −53.3 |
| MAE | 80.4 | 69.6 | 112.6 | |
| RMSE | 92.7 | 88.0 | 139.4 |
| Case | Energy Use | IGDG | TMY | IWEC | ISO |
|---|---|---|---|---|---|
| Current Building | Heating [kWh] | 4128 | 2175 | 2125 | 2047 |
| (% difference) | - | −47% | −48% | −50% | |
| Cooling [kWh] | 1885 | 3095 | 3143 | 3072 | |
| (% difference) | - | +64% | +67% | +63% | |
| Insulated Building | Heating [kWh] | 2910 | 1293 | 1259 | 1195 |
| (% difference) | - | −56% | −57% | −59% | |
| Cooling [kWh] | 1675 | 2698 | 2748 | 2670 | |
| (% difference) | - | +61% | +64% | +59% |
© 2020 by the authors. Licensee MDPI, Basel, Switzerland. This article is an open access article distributed under the terms and conditions of the Creative Commons Attribution (CC BY) license (http://creativecommons.org/licenses/by/4.0/).
Share and Cite
Costanzo, V.; Evola, G.; Infantone, M.; Marletta, L. Updated Typical Weather Years for the Energy Simulation of Buildings in Mediterranean Climate. A Case Study for Sicily. Energies 2020, 13, 4115. https://doi.org/10.3390/en13164115
Costanzo V, Evola G, Infantone M, Marletta L. Updated Typical Weather Years for the Energy Simulation of Buildings in Mediterranean Climate. A Case Study for Sicily. Energies. 2020; 13(16):4115. https://doi.org/10.3390/en13164115
Chicago/Turabian StyleCostanzo, Vincenzo, Gianpiero Evola, Marco Infantone, and Luigi Marletta. 2020. "Updated Typical Weather Years for the Energy Simulation of Buildings in Mediterranean Climate. A Case Study for Sicily" Energies 13, no. 16: 4115. https://doi.org/10.3390/en13164115
APA StyleCostanzo, V., Evola, G., Infantone, M., & Marletta, L. (2020). Updated Typical Weather Years for the Energy Simulation of Buildings in Mediterranean Climate. A Case Study for Sicily. Energies, 13(16), 4115. https://doi.org/10.3390/en13164115

