Abstract
Biogas consists of methane and carbon dioxide, the main components, which are major greenhouse gases that affect global warming. As such, in order to convert greenhouse gas into renewable energy, which is a high-quality fuel, the biogas microwave reforming characteristics were studied and the results are as follows: In the main components of biogas, methane and carbon dioxide, the conversion efficiency of both methane and carbon dioxide increased as the amount of CO2 relatively increased. This is because the problem of active pore failure due to gasification of the attached carbon generated during methane reforming was overcome. When nitrogen, a biogas-containing component, was added, the activity of catalytic activity pores was enhanced by promoting the production of microplasma, resulting in increased conversion efficiency. When the concentration of oxygen, which is a biogas-containing component, increased, the conversion efficiency increased, but when the concentration is more than 10%, the fuel value of the product gas decreased due to the complete oxidation reaction.
1. Introduction
Biogas, biomass gasification gas, shale gas and coke oven gas are mainly composed of methane (CH4) and/or carbon dioxide (CO2), and these two gases are known as the main causes of climate change as greenhouse gases [1]. Research is being conducted to convert these greenhouse gases into high-quality fuels and use them as energy, among which various reforming technologies are being developed. Among them, methane steam reforming has already been applied in industrial sites. However, methane dry reforming has been recognized as a more attractive method due to greenhouse gas reduction and effective chemical conversion energy [2].
In order to convert methane and carbon dioxide to hydrogen or carbon monoxide, high-temperature reaction conditions are needed or the help of a suitable catalyst is required. In order to overcome this problem, a new type of conversion technology has been recently developed, and a new catalytic material with excellent reforming conversion reaction and little carbon deposition is being developed.
Recently, research on methane conversion using various types of carbon materials has been conducted. Activated carbon [3], coal char [4], semi-coke [5] and bio-char [6] are mainly applied and used for these carbon materials. These studies have been extensively conducted mainly on the catalytic activity of the modified carbonaceous-based catalyst or the carbon material itself, and the characteristics of the reforming reaction for different operating conditions. Bio-char, carbide produced by pyrolysis of biomass, can be used as a raw material for activated carbon or gasification reforming. Until now, there has been much interest in the production of syngas by gasification reforming of the bio-char [7,8]. Since the gasification reforming of bio-char is an essential process when the bio-char is used for methane reforming, research on carbon gasification has an important meaning in the process of the reforming reaction. Nevertheless, in-depth research on this field is rarely found.
Recently, research on microwave heating methods has been conducted to improve the existing reforming methods. The microwave heating method has superior energy efficiency compared to a conventional heated air or electric heating method, and has the thermal characteristics such as excellent rapid heating, selective heating and uniform heating [7]. So far, the microwave heating has been widely applied to the reduction of environmental pollutants, pyrolysis/gasification of biomass and drying of materials. Recently, this microwave heating method has been applied for methane dry reforming of the carbon-based catalyst already mentioned [6,9]. Based on these studies, it was found that the carbon material is excellent as a microwave receptor and the gas reforming conversion efficiency is superior to the existing heating method. It was also reported that the selectivity of product gas was improved and carbon deposition was reduced. However, there are few studies on the reforming characteristics of charcoal as a microwave receptor.
Biogas is a mixed gas generated from anaerobic digestion such as municipal sludge, food waste, barn manure and landfill. Their gaseous components contain 45–75% CH4, 25–55% CO2, 0–25 N2, 0.01–5% O2 and small amounts of H2S, NH3 [10]. As shown above, biogas has different ratios of methane and carbon dioxide depending on the source of production and contains other various components. Until now, there have been many studies on the reforming temperature and the feed flow rate, while there have been few studies on the microwave reforming characteristics according to the composition ratio of biogas, and studies on nitrogen or oxygen are rarely found [8,11,12].
In this study, the microwave heating reforming characteristics were identified by using the biomass-carbonized charcoal as a microwave carbon receptor (MCR). Additionally, in order to use biogas generated from various sources as high-quality renewable energy, the reforming characteristics for changes in the composition ratio of methane and carbon dioxide, the main components of biogas, were studied. In addition, the effects of nitrogen and oxygen, which are biogas-containing substances, on microwave reforming were identified.
2. Experimental Apparatus and Method
2.1. Experimental Apparatus
On a laboratory scale, the microwave heating reforming experimental apparatus used in this study is composed of a microwave reformer, a gas feed line, a control unit, a sampling and analysis line as shown in Figure 1 [13].
Figure 1.
Experimental apparatus for a microwave heating reforming; CRR is carbon receptor reactor. Reprint with permission [13]; 2020, Springer.
The microwave reformer has a structure in which a quartz tube reactor (25 mm in inner diameter and 410 mm in length) is vertically installed in a multimode-microwave cavity oven with a power capacity of 2 kW. The reformer temperature can be set up to 1000 °C and controlled by a controller connected to a thermocouple (k-type, 2 mm in diameter) in the microwave carbon receptor. In addition, the temperature change inside the carbon receptor was continuously monitored by a data logger (Model Hydra data logger 2625A, Fluke, WA, USA). The sample basket (22.15 mm in diameter and 90.18 mm in length; 57 holes of φ 1.85 mm holes on the bottom disk) of the carbon receptor was separately moveable up and down inside the carbon receptor reactor (CCR) composed of the quartz tube so that the receptor sample could be introduced and discharged into the reactor.
The gas supply line was supplied as simulated reforming gas in a venture mixer through a carbon dioxide (CO2), methane (CH4), nitrogen (N2) and oxygen (O2) cylinder and MFC (BRONKHORST, F201AC-FAC-22-V, Netherlands) with its controller for controlling the flow rate of each gas.
The sampling and analysis line consisted of a glass wool filter and calcium chloride in impingers in a water bath to remove soot and moisture respectively, and GC-TCD (CP-4900, Varian, The Netherlands) was connected and measured for the reforming gas analysis.
2.2. Experimental Method
In the microwave heating reforming experiment, microwaves irradiated and heated to the microwave carbon receptor in a sample basket located in a carbon receptor reactor (or CCR) installed in a microwave reformer (or MW reformer). Additionally, it is a process of collecting and analyzing the reformed gas after the simulated gas is supplied into the CCR and passes through the carbon receptor layer.
The carbon receptor used was sieved to 1–3 mm, and a new 8 g was added to the sample basket in each experiment so that it was positioned at the center of the CCR. In addition, the volumetric hourly space velocity (VHSV) was always kept constant by constantly supplying the total amount of simulated gas of 40 mL/min. The microwave power supply was initially started at 1 kW so that the sample temperature increased linearly at room temperature and then kept constant at the reference set temperature.
The experiment was conducted based on the categories of the methane reforming, biogas component ratio, reforming-nitrogen effect and reforming-oxygen effect. Methane reforming provided CH4 100% to identify the basic characteristics of microwave reforming. The experiment was conducted while changing the biogas component ratio of CH4 and CO2 from 70%:30% to 40%:60%, respectively. In addition, the effect reforming of nitrogen and oxygen was identified by adding 10–30% and 5–10% of N2 and O2, respectively, while maintaining the ratio of CH4 and CO2 to 60%:40%. For each experiment, the reforming temperature and the space velocity were fixed at 900 °C and 0.3 L/(gh) (=40 mL/min, respectively, and charcoal was used as a carbon receptor).
Reforming gas was continuously sampled at regular time intervals from the start of the experiment, and the simulated feed gas and reformed gas were analyzed by GC-TCD (CP-4900, Varian, Netherland). H2, CH4, CO, O2 and N2 gas were analyzed by MS 5A (80/100 mesh), and PoraPlot-Q columns were applied to analyze CO2, C2H4 and C2H6 gas. In order to identify the degree of microwave carbon receptor consumption, the weight before and after reforming was measured with a precision balance (Dragon 3002/S, Mettler Toledo, China).
Commercial charcoal that carbonized biomass was used as a microwave receptor. A proximate analysis (Koptri.: 21, Hwarang-ro 18ga-gil, Seongbuk-gu, Seoul, Korea, Type48000 Furnace & HS2140 Electronic Balance) and ultimate analysis (Koptri.: 21, Hwarang-ro 18ga-gil, Seongbuk-gu, Seoul, Korea, EA2000/EA1112) were performed in order to identify the characteristics of this carbon receptor. Table 1 shows their results including inorganic composition.
Table 1.
Chemical characteristics and inorganic composition of the charcoal. Reprint with permission [13]; 2020, Springer.
The conversion efficiencies of CO2 and CH4, which are major target gases for reforming, are as shown in the following Equations (1) and (2) [1].
CH4 conversion efficiency (XCH4) and CO2 conversion efficiency (XCO2) for a sampling time are defined as follows:
where FCH4,in (mL/min) and FCH4,out (mL/min) are the CH4 flow rate at the inlet and outlet, respectively.
The definition of H2/CO ratio (RH2/CO) is adopted for analyzing syngas production.
where FH2,out (mL/min) and FCO,out (mL/min) are respectively the flow rate of H2 and CO at the exit.
3. Results and Discussion
3.1. Characteristics of Methane Reforming
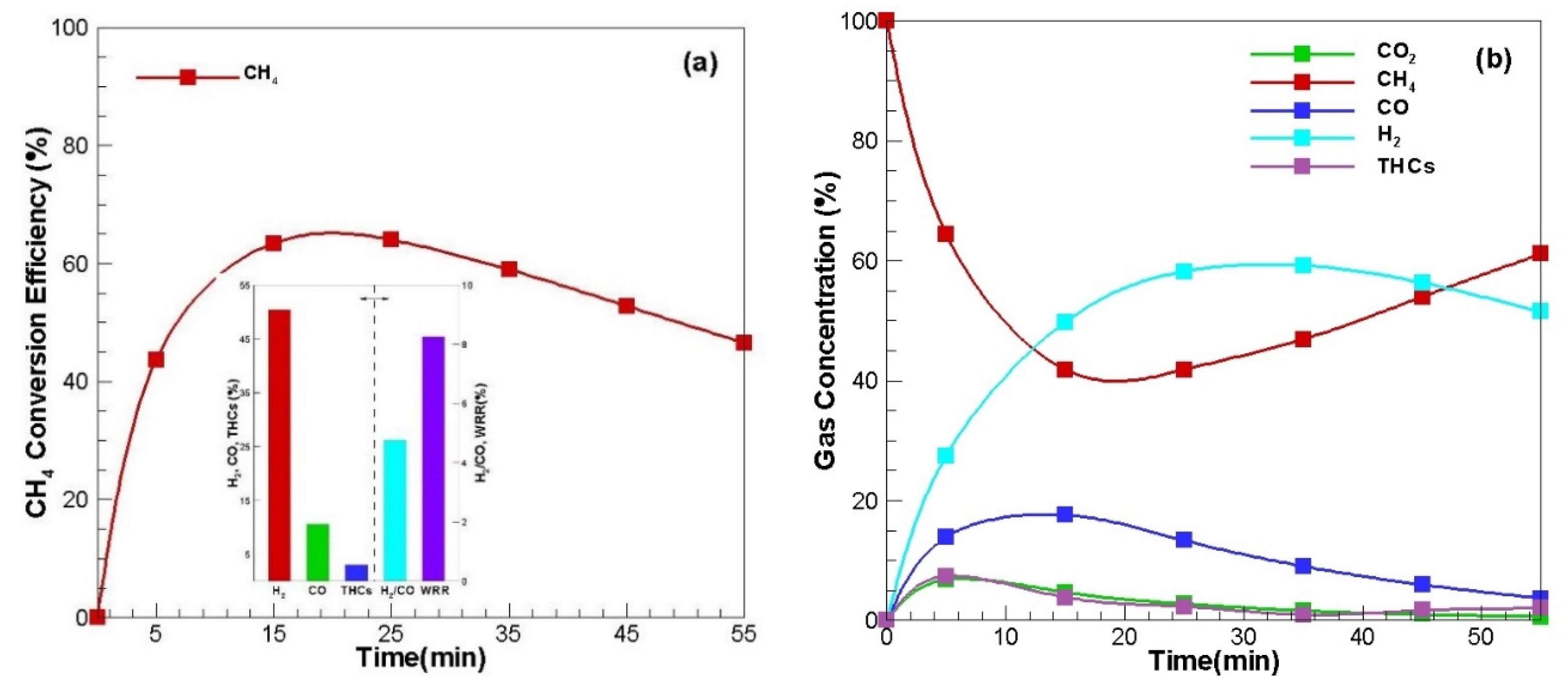
The reforming conversion characteristics of natural gas, city gas and carbon dioxide purified biogas, which are mainly composed of methane, were identified, and the results are shown in Figure 2.
Figure 2.
Characteristics of methane reforming. (a) CH4 conversion efficiency, H2/CO ratio, weight reduction rate (WRR), product gas average concentration and (b) product gas concentration over time.
The CH4 conversion efficiency in Figure 2a increased rapidly as the reformation started, and then decreased again after showing the maximum value. CH4 conversion efficiency increased in the first half of reforming because methane was converted to hydrogen and carbon by the decomposition mechanism of the thermal decomposition (Equation (4)). In addition, a partial oxidation reaction by residual oxygen in the reformer was performed as shown in Equation (5), converting it to hydrogen and carbon monoxide. This can also be found in the similar pattern of the concentration of product gas in Figure 2b. That is, as CH4 conversion efficiency increased, the concentration of methane in the product gas decreased, and the concentration of hydrogen and carbon monoxide increased.
CH4 → CCH4 + 2H2, △H298 = +75 kJ/mol
CH4 + ½O2 → 2H2 + CO, △H298 = −8.5 kJ/mol
Unlike the conventional heating method in which the heat source is transferred from the outside of the receptor, microwave heating is a method in which microwave energy is transferred into a receptor and kinetic energy by object vibration is converted into thermal energy and heated. Therefore, microplasma is generated inside the carbon receptor, which is a dielectric solid, showing the pattern that the high temperature is maintained at a specific location than the normal temperature of the carbon receptor bed. The microplasma phenomenon can be seen in the photo in Figure 1 [14]. The thermal decomposition reaction Equation (4) and partial oxidation reaction Equation (5) mentioned above are gaseous homogeneous reactions in which the catalytic reaction of the carbon receptor containing the catalyst components such as K, Ca, Fe, etc., are activated (see Table 1). Additionally, as already described, microplasma is formed on the carbon receptor bed, which is a microwave absorbing dielectric and the high temperature is maintained, so the reactivity of the surrounding gas is improved due to the high temperature, especially in the thermal decomposition reaction of Equation (4).
However, CH4 conversion efficiency decreased again after showing the maximum value. This is because carbon (C) generated in Equation (4), which is a thermal decomposition reaction, is adsorbed on the surface of the receptor and prevents methane, which is a reforming target gas, from penetrating into catalytic activity pores of the carbon receptor, hindering the catalytic activity that helps the thermal decomposition reaction. As a result, the problem of microwave heating methane reforming using a catalyst-containing receptor is that it is adsorbed on the surface of the catalyst receptor of the carbon generated in the methane pyrolysis reaction to inhibit the catalyst activity of the receptor. Similar results have been found in the results of other researchers’ studies on several types of carbonaceous-based catalysts, such as char [15], activated carbon [16] and carbon black [17]. The gas concentration of the bar graph in Figure 2a is the arithmetic average of the measured values over time: H2 50%, CO 11% and THCs (total hydrocarbons) 3%. Additionally, H2/CO ratio is 4.8 and weight reduction rate (WRR) is 8.3%.
3.2. Characteristic of Biogas Reforming
In order to identify the reforming characteristics of biogas generated during anaerobic digestion of organic waste, a microwave reforming conversion experiment was conducted with regard to simulated gas mixed with CH4 and CO2, and the results are shown in Figure 3.
Figure 3.
Characteristics of biogas reforming. (a) CH4 and CO2 conversion efficiencies, H2/CO ratio, weight reduction rate (WRR), product gas average concentration and (b) product gas concentration over time.
After reforming, CH4 conversion efficiency and CO2 conversion efficiency were significantly increased, and these values continued (see Figure 3a). In the case of biogas, methane is first thermally decomposed (Equation (4)) to produce hydrogen with attached carbon (CCH4), which will be removed by Equation (7), and then fixed carbon (Cfc) is gasified with carbon dioxide (Equation (6)) to produce carbon monoxide.
Cfc + CO2 → 2CO, △H298 = +173 kJ/mol
Additionally, unlike the case where only methane in Figure 2 is supplied, it can be seen that CH4 conversion efficiency is not reduced over time in the case of biogas. This is because attached carbon (CCH4) generated when methane is reformed (see Equation (4)), is reduced by carbon gasification as shown in Equation (7). As described above, it has been reported that the catalytic active center can be cleaned by steam gasification. In addition, it is known that the microwave method in which microplasma is generated in the carbon receptor bed is more effective for this cleaning than the conventional hot air heating method [1].
CCH4 + CO2 → 2CO
In addition to this heterogeneous solid–gas reaction, carbon monoxide and hydrogen are generated by the dry reforming reaction of the following Equation (8), which is the homogeneous reaction of methane and carbon dioxide gas. Therefore, it was found that the conversion efficiency of mixed gas of methane and carbon dioxide was higher than that of carbon dioxide reforming, and that the conversion efficiency was somewhat lower than that of methane reforming, but it remained constant.
CH4 + CO2 → 2CO + 2H2, △H298 = 260.5 kJ/mol
In the case of biogas, carbon dioxide is converted more easily than methane because carbon (CCH4) generated by the methane thermal decomposition reaction (Equation (4)) is adsorbed to the receptor pores to promote the generation of microplasma formed inside the receptor, facilitating the carbon gasification reaction (Equation (6)).
Conversion of the above-mentioned mixed gas is also found in that the concentrations of methane and carbon dioxide decrease and the concentrations of hydrogen and carbon monoxide increase as microwave reforming progresses (see Figure 3b).
Bar graphs in Figure 3a shows the average concentration of product gas: H2 41%, CO 29%, THCs 1.5%, H2/CO ratio of 1.9 and WRR (weight reduction rate) of 11.6. In the case of biogas reforming, unlike methane reforming (Figure 2a), the carbon gasification reaction (Equation (6)) was carried out, so a larger amount of carbon, which is the main component of the carbon receptor, was exhausted, and the weight reduction rate (WRR) increased. As a result, the CO concentration increased from 11% to 29%, while the hydrogen concentration decreased from 50% to 41%. As a result, it was found that the H2/CO ratio decreased from 4.8 to 1.9.
Figure 4 shows the conversion efficiency, average product gas concentration, H2/CO ratio and weight reduction rate according to the CH4:CO2 ratio change of biogas.
Figure 4.
Characteristics of biogas reforming. (a) CH4 and CO2 conversion efficiencies and (b) H2/CO ratio, weight reduction rate and product gas average concentration.
As shown in Figure 4a, CO2 and CH4 conversion efficiencies increased as the amount of CO2 in the biogas simulated mixed gas increased. In particular, the increase was large when the ratio of CH4:CO2 was 40:60, which had a larger amount of CO2 than CH4. As already mentioned, the conversion efficiency was increased because attached carbon (CCH4) generated when methane was reformed (see Equation (4)) was reduced by the gasification reaction Equation (7), and CO2 was converted by the carbon gasification reaction (Equation (6)) in which the carbon receptor that fixed carbon (Cfc) itself was exhausted. In the case of methane decomposition reforming, it is known that the carbon receptor is affected by catalysts such as Ca, Fe and Cu contained and methane conversion efficiency was also reduced because the attached carbon (CCH4), which impairs the receptor catalytic active center, is reduced by the gasification reaction Equation (7) [18]. The previous study using activated carbon as a microwave receptor reported that the increase in CH4 conversion efficiency was greater than the increase in CO2 conversion efficiency, while the results of this study showed that the increase in CO2 conversion efficiency was greater [9].
As shown in Figure 4b, as the ratio of CO2 in the product gas concentration biogas increased, the CO concentration in the product gas increased, H2 and THCs decreased and the H2/CO ratio decreased as well. Additionally, weight reduction rate was increased by the fixed carbon gasification reaction.
3.3. Characteristic of Nitrogen Effect Reforming
Figure 5 shows the studies on four cases of CH4:CO2:N2 ratios of 60:40:0, 54:36:10, 48:32:20 and 42:28:30 respectively in order to determine how nitrogen concentration in biogas affects reforming properties.
Figure 5.
Reforming characteristics of biogas-nitrogen effect. (a) CH4 and CO2 conversion efficiencies and (b) average concentration of the product gas, H2/CO ratio and weight reduction rate.
Figure 5a shows CH4 conversion efficiency and CO2 conversion efficiency over time. Although somewhat different, both conversion efficiencies showed a pattern similar to that of biogas dry reforming (see Figure 3a) in a state not containing nitrogen even if containing nitrogen. As the amount of nitrogen in the gas increased, both CH4 conversion efficiency and CO2 conversion efficiency increased, but the effect was great in the case of CH4 conversion. It is known that the formation of microplasma in the catalytic active center occurs more vigorously when nitrogen is included in the feed gas during microwave heating [19]. This increased both conversion efficiencies when nitrogen was included as 10% in the feed gas, rather than when not included. As a result, it was found that the effect of nitrogen concentration in biogas is more effective in methane reforming, which is influenced by the catalytic activity by the acceleration of microplasma generation.
However, although the nitrogen concentration increased from 20% to 30%, there was a slight decrease. This is because CO2 was diluted with nitrogen during carbon gasification and penetrated into the active pores inside the carbon receptor, the chance for the heterogeneous gasification reaction (Equation (6)) was not relatively greater than the case without nitrogen. Additionally, dry reforming (Equation (8)) did not have enough time due to an increase of retention time at the carbon receptor.
Figure 5b shows the product gas concentration, H2/CO ratio and weight reduction rate. When the concentration of nitrogen was 10%, the concentration of hydrogen in the carbon product gas showed the maximum value because CH4 conversion efficiency was the highest. Additionally, CO decreased as nitrogen concentration increased because the carbon gasification reaction increased slightly. As a result, when the nitrogen concentration was 10%, the H2/CO ratio showed the maximum value and the weight reduction rate also showed the maximum value.
3.4. Characteristic of Oxygen Effect Reforming
Figure 6 shows the studies on three cases of CH4:CO2:O2 ratio of 60:40:0, 57:38:5 and 54:36:10 to understand how the concentration of oxygen in biogas affects the reforming properties.
Figure 6.
Reforming characteristics of biogas-oxygen effect. (a) CH4 and CO2 conversion efficiencies and (b) average concentration of the product gas, H2/CO ratio and weight reduction rate.
Figure 6a shows the conversion efficiency over biogas reforming time like line graphs, and the conversion efficiency of the arithmetic average of these values as bar graphs. CH4 conversion efficiency over reforming time increased slightly in the first half, and the second half of reforming as the oxygen concentration increased. This is because methane is converted to the methane oxidation reaction Equation (4) in which methane is partially oxidized and reformed at the beginning of reforming, and the increase in the latter part is that attached carbon generated by the methane thermal decomposition reaction (Equation (5)) was treated in the carbon oxidation reaction Equation (9), so the carbon gasification (Equation (6)) reforming proceeded well. CO2 conversion efficiency increased slightly in the second half when the oxygen concentration was 5% because attached carbon is removed by the carbon oxidation reaction (Equation (9)), promoting the role of catalytic activity pores (Equation (9)).
However, 10% showed the lowest overall value. This is because carbon was exhausted by the carbon oxidation reaction (Equation (9)) due to the excessive oxygen concentration, resulting in relatively few opportunities for reforming. When the oxygen concentration in the biogas was 5%, it was better than when the oxygen was not present, while it tended to decrease when 10%. It can be seen that in the case of oxygen concentration in biogas, energy efficiency is increased by autothermal reforming of methane and stable reforming can be achieved, but when the amount is more than 10%, the fuel value of the product gas decreases by the oxidation reaction (Equations (11) and (12)) or methane oxidation reaction (Equation (10)) [20].
C + 1/2O2 → CO, △H298 = −110 kJ/mol
CH4 + 2O2 → CO2 + 2H2O, △H298 = −890 kJ/mol
H2 + 1/2O2 → H2O, △H298 = −285.8 kJ/mol
CO + 1/2O2 → CO2, △H298 = −283 kJ/mol
Figure 6b shows the product gas concentration, H2/CO ratio and weight reduction rate. As already mentioned in the conversion efficiency, hydrogen showed the maximum value because the methane reforming effect was excellent when the oxygen concentration was 5%. However, carbon monoxide was somewhat reduced because some of the reformed amount was oxidized (Equation (12)). As the oxygen concentration increased, the weight reduction rate increased, which is due to carbon gasification (Equation (6)), but it was exhausted by carbon oxidation (Equation (10)), so the value was highest when the oxygen concentration was 10%.
4. Conclusions
In this study, the characteristics of microwave-heated biogas reforming were identified using the biomass carbonized charcoal as a microwave carbon receptor, and the results are as follows:
In the case of thermal decomposition of methane gas, initial CH4 conversion efficiency increased, but the efficiency decreased due to the generation of attached carbon at active pores over time.
CH4 and CO2 conversion efficiencies increased as the concentration of CO2 increased relative to the change in the composition ratio of CH4:CO2, the main components of biogas. This is because the impairment of attached carbon at active pores due to carbon gasification was overcome. In this case, however, the H2/CO ratio was reduced.
When nitrogen, a biogas-containing component, was added, the production of microplasma was promoted to increase the activity of the catalytic activity pores, thereby improving the conversion efficiency, and the effect was greater in CH4 conversion, which was further affected by catalytic activity.
When the oxygen concentration, the biogas-containing component, increased, the conversion efficiency increased, but when the concentration in biogas was more than 10%, the fuel value of the product gas decreased due to the complete oxidation reaction of each component.
Author Contributions
H.J.K. designed the experiments and analyzed the experimental data; Y.N.C. designed the test rig and wrote the manuscript. All authors have read and agreed to the published version of the manuscript.
Funding
This research was supported by Basic Science Research Program through the National Research Foundation of Korea (NRF) funded by Ministry of Education (2018R1D1A1B07040326).
Conflicts of Interest
The authors declare no conflict of interest.
References
- Longhi, L.; Huiganf, W.X.J.; Zhanlong, S.; Xiqiang, Z.; Chunyuan, M. Microwave-enhanced methane combined reforming by CO2 and H2O into syngas production on biomass-derived char. Fuel 2016, 185, 692–700. [Google Scholar]
- Xu, L.; Liu, Y.N.; Li, Y.J.; Lin, Z.; Ma, X.X.; Zhang, Y.L.; Argyle, M.D.; Fan, M.H. Catalytic CH4 reforming with CO2 over activated carbon based catalysts. Appl. Catal. A Gen. 2014, 469, 387–397. [Google Scholar] [CrossRef]
- Zhang, G.J.; Su, A.T.; Du, Y.N.; Qu, J.W.; Xu, Y. Catalytic performance of activated carbon supported cobalt catalyst for CO2 reforming of CH4. J. Colloid Interface Sci. 2014, 433, 149–155. [Google Scholar] [CrossRef] [PubMed]
- Zhang, G.J.; Dong, Y.; Feng, M.R.; Zhang, Y.F.; Zhao, W.; Cao, H.C. CO2 reforming of CH4 in coke oven gas to syngas over coal char catalyst. Chem. Eng. J. 2010, 156, 519–523. [Google Scholar] [CrossRef]
- Zhang, G.J.; Qu, J.W.; Du, Y.N.; Guo, F.B.; Zhao, H.X.; Zhang, Y.F.; Xu, Y. Hydrogen production from CO2 reforming of methane over high pressure H2O2 modified different semi-cokes. J. Ind. Eng. Chem. 2014, 20, 2948–2957. [Google Scholar] [CrossRef]
- Domínguez, A.; Fernández, Y.; Fidalgo, B.; Pis, J.J.; Menéndez, J.A. Biogas to syngas by microwave-assisted dry reforming in the presence of char. Energy Fuel 2007, 21, 2066–2071. [Google Scholar] [CrossRef]
- Xiao, N.; Luo, H.; Wei, W.Q.; Tang, Z.Y.; Hu, B.; Kong, L.Z.; Sun, Y.H. Microwave-assisted gasification of rice straw pyrolytic biochar promoted by alkali and alkali earth metals. J. Anal. Appl. Pyrolysis 2015, 112, 173–179. [Google Scholar] [CrossRef]
- Lahijani, P.; Zainal, Z.A.; Mohamed, A.R.; Mohammadi, M. Microwave-enhanced CO2 gasification of oil palm shell char. Bioresour. Technol. 2014, 158, 193–200. [Google Scholar] [CrossRef] [PubMed]
- Fidalgo, B.; Domínguez, A.; Pis, J.J.; Menéndez, J.A. Microwave-assisted dry reforming of methane. Int. J. Hydrog. Energy 2008, 33, 4337–4344. [Google Scholar] [CrossRef]
- Sangha, R.K.; Shukla, A.; Yadav, A.; Adak, S.; Lqbal, Z.; Siddiqui, N.; Bal, R. Energy efficient methane tri-reforming for synthesis gas production over highly coke resistant nanocrystalline Ni-ZrO2 catalyst. Appl. Energy 2016, 178, 110–125. [Google Scholar] [CrossRef]
- Fakeeha, A.H.; Naeem, M.A.; Khan, W.U.; Al-Fatesh, A.S. Syngas production via CO2 reforming of methane using Co-Sr-Al catalyst. J. Ind. Eng. Chem. 2014, 20, 549–557. [Google Scholar] [CrossRef]
- Bao, Z.; Lu, Y.; Han, J.; Li, Y.; Yu, F. Highly active and stable Ni-Based bimodal pore catalyst for dry reforming of methane. Appl. Catal. A Gen. 2015, 491, 116–126. [Google Scholar] [CrossRef]
- Chun, Y.N.; Song, H.G. Methane–steam linkage characteristics in microwave carbon dioxide energy conversion. J. Appl. Electrochem. 2020, 50, 779–789. [Google Scholar] [CrossRef]
- Chun, Y.N.; Song, H.G. Microwave-induced cracking and reforming of benzene on activated carbon. Chem. Eng. Process. Process Intensif. 2019, 135, 148–155. [Google Scholar] [CrossRef]
- Bai, Z.; Chen, H.; Li, B.; Li, W. Hydrogen production by methane decomposition over coal char. Int. J. Hydrog. Energy 2006, 31, 899–905. [Google Scholar] [CrossRef]
- Kim, M.H.; Lee, E.K.; Jun, J.H.; Kong, S.J.; Han, G.Y.; Lee, B.K. Hydrogen production by catalytic decomposition of methane over activated carbon: Kinetic study. Int. J. Hydrogen Energy 2004, 29, 187–193. [Google Scholar] [CrossRef]
- Lee, E.K.; Lee, S.Y.; Han, G.Y.; Lee, B.K.; Lee, T.J.; Jun, J.H.; Yoon, K.J. Catalytic decomposition of methane over carbon black for CO2-free hydrogen production. Carbon 2004, 42, 2641–2648. [Google Scholar] [CrossRef]
- Yu, Y.; Yu, J.; Sun, B.; Yan, Z. Influence of catalyst types on the microwave-induced pyrolysis of sewage sludge. J. Anal. Appl. Pyrolysis 2014, 106, 86–91. [Google Scholar] [CrossRef]
- Fidalgo, B.; Fernández, Y.; Domínguez, A.; Pis, J.J.; Menéndez, J.A. Microwave-assisted pyrolysis of CH4/N2 mixtures over activated carbon. J. Anal. Appl. Pyrolysis 2008, 82, 158–162. [Google Scholar] [CrossRef]
- Chen, X.; Jiang, J.; Li, K.; Tian, S.; Yan, F. Energy-efficient biogas reforming process to produce syngas: The enhanced methane conversionby O2. Appl. Energy 2017, 185, 687–697. [Google Scholar] [CrossRef]
© 2020 by the authors. Licensee MDPI, Basel, Switzerland. This article is an open access article distributed under the terms and conditions of the Creative Commons Attribution (CC BY) license (http://creativecommons.org/licenses/by/4.0/).





