Influence of Pore Structure and Solid Bitumen on the Development of Deep Carbonate Gas Reservoirs: A Case Study of the Longwangmiao Reservoir in Gaoshiti–Longnusi Area, Sichuan Basin, SW China
Abstract
1. Introduction
2. Geological Setting
3. Samples and Experimental Methods
3.1. Samples Preparation
3.2. SEM Testing
3.3. SB Extraction
3.4. Core Experiments
3.4.1. Gas Flow Experiments
3.4.2. Depletion Development Experiments
4. Results and Discussion
4.1. Pore Structure and SB Distribution Characteristics
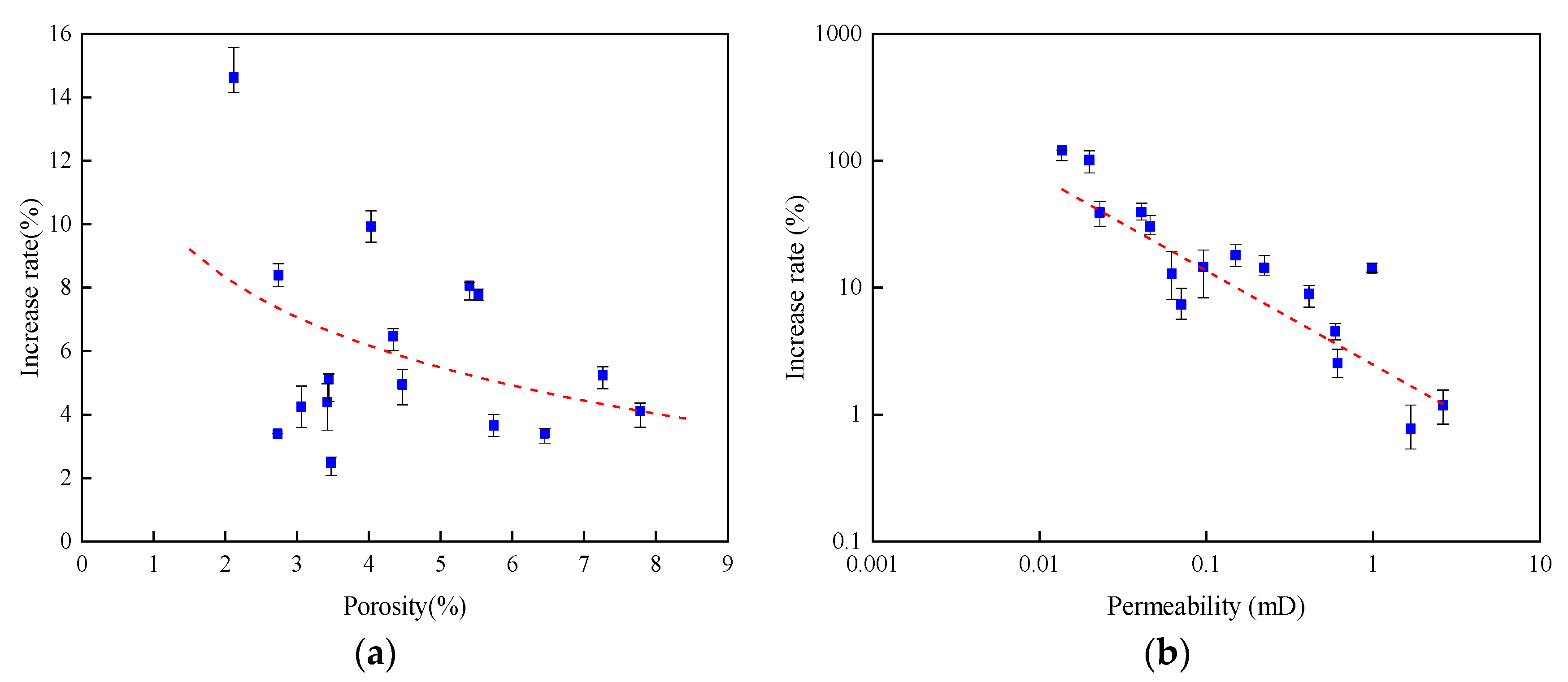
4.2. Influence of SB on Porosity and Permeability
4.3. Gas Production Characteristics of Different Types of Reservoirs
4.3.1. Gas Production Rate
4.3.2. Gas Recovery and Production
4.4. Influence of SB on Gas Reservoir Development
4.4.1. Influence of SB on Gas Production Rate
4.4.2. Influence of SB on Gas Recovery and Production
5. Conclusions
Author Contributions
Funding
Acknowledgments
Conflicts of Interest
Nomenclature
| L | Core length, m |
| h | Reservoir thickness, m |
| d | Core diameter, m |
| Q | Vertical well production, ×104 m3/day |
| Qr | Gas flow velocity, mL/s |
| pe | Original reservoir pressure, MPa |
| pw1 | Bottom hole flow pressure, MPa |
| pw2 | Outlet pressure of experiments, MPa |
| re | Well control radius, m |
| rw | Wellbore radius, m |
References
- Bera, B.; Gunda, N.S.K.; Mitra, S.K.; Vick, D. Characterization of nanometer-scale porosity in reservoir carbonate rock by focused ion beam–scanning electron microscopy. Microsc. Microanal. 2012, 18, 171–178. [Google Scholar] [CrossRef]
- Jin, X.J.; Dou, Q.F.; Hou, J.G.; Huang, Q.F.; Sun, Y.F.; Jiang, Y.W.; Li, T.; Sun, P.K.; Sullivan, C.; Adersokan, H.; et al. Rock-physics-model-based pore type characterization and its implication for porosity and permeability qualification in a deeply-buried carbonate reservoir, Changxing formation, Lower Permian, Sichuan Bain, China. J. Pet. Sci. Eng. 2017, 153, 223–233. [Google Scholar] [CrossRef]
- Wei, X.S.; Chen, H.D.; Zhang, D.F.; Dai, R.; Guo, Y.R.; Chen, J.P.; Ren, J.F.; Liu, N.; Luo, S.S.; Zhao, J.X. Gas exploration potential of tight carbonate reservoirs: A case study of Ordovician Majiagou Formation in the eastern Yi-Shan slope, Ordos Basin, NW China. Pet. Explor. Dev. 2017, 44, 347–357. [Google Scholar] [CrossRef]
- Liu, W.; Qiu, N.S.; Xu, Q.C.; Liu, Y.F.; Shen, A.J.; Zhang, G.W. The evolution of pore-fluid pressure and its causes in the Sinian-Cambrian deep carbonate gas reservoirs in central Sichuan Basin, southwestern China. J. Pet. Sci. Eng. 2018, 169, 96–109. [Google Scholar] [CrossRef]
- Ma, Y.S.; Cai, X.Y.; Zhao, P.R. Distribution and further exploration of the largemedium sized gas fields in Sichuan Basin. Acta Pet. Sin. 2012, 31, 347–354. [Google Scholar]
- Zou, C.N.; Du, J.H.; Xu, C.C.; Wang, Z.C.; Zhang, B.M.; Wei, G.Q.; Wang, T.S.; Yao, G.S.; Deng, S.H.; Liu, J.J.; et al. Formation, distribution, resource potential, and discovery of Sinian–Cambrian giant gas field, Sichuan Basin, SW China. Pet. Explor. Dev. 2014, 41, 306–325. [Google Scholar] [CrossRef]
- Wei, G.Q.; Yang, W.; Du, J.H. Tectonic features of GST-MX paleo-uplift and its controls on the formation of a giant gas field, Sichuan Basin, SW China. Pet. Explor. Dev. 2015, 42, 283–292. [Google Scholar] [CrossRef]
- Wang, Z.X.; Wang, Y.L.; Wu, B.X.; Wang, G.; Sun, Z.P.; Xu, L.; Zhu, S.Z.; Sun, L.N.; Wei, Z.F. Hydrocarbon gas generation from pyrolysis of extracts and residues of low maturity solid bitumens from the Sichuan Basin, China. Org. Geochem. 2017, 103, 51–62. [Google Scholar] [CrossRef]
- Abbaszadeh, M.; Koide, N.; Murahashi, Y. Integrated characterization and flow modeling of a heterogeneous carbonate reservoir in Daleel Field, Oman. SPE Reserv. Eval. Eng. 2000, 3, 150–159. [Google Scholar] [CrossRef]
- He, J.H.; Ding, W.L.; Li, A.; Sun, Y.X.; Dai, P.; Yin, S.; Chen, E.; Gu, Y. Quantitative microporosity evaluation using mercury injection and digital image analysis in tight carbonate rocks: A case study from the Ordovician in the Tazhong Palaeouplift, Tarim Basin, NW China. J. Nat. Gas Sci. Eng. 2016, 34, 627–644. [Google Scholar] [CrossRef]
- Smith, L.B.; Eberli, G.P.; Masaferro, J.L.; Al-Dhahab, S. Discrimination of effective from ineffective porosity in heterogeneous Cretaceous carbonates, Al Ghubar field, Oman. AAPG Bull. 2003, 87, 1509–1529. [Google Scholar] [CrossRef]
- Meng, F.K.; Lei, Q.; He, D.B.; Yan, H.J.; Jia, A.L.; Deng, H.; Xu, W. Production performance analysis for deviated wells in composite carbonate gas reservoirs. J. Nat. Gas Sci. Eng. 2018, 56, 333–343. [Google Scholar] [CrossRef]
- Lai, Q.; Xie, B.; Wu, Y.Y.; Huang, K.; Liu, X.G.; Jin, Y.; Luo, W.J.; Liang, T. Petrophysical characteristics and logging evaluation of bitumen carbonate reservoirs: A case study of the Cambrian Longwangmiao Formation in Anyue gas field, Sichuan Basin, SW China. Pet. Explor. Dev. 2017, 44, 941–947. [Google Scholar] [CrossRef]
- Wang, L.; He, Y.M.; Peng, X.; Deng, H.; Liu, Y.C.; Xu, W. Pore structure characteristics of an ultradeep carbonate gas reservoir and their effects on gas storage and percolation capacities in the Deng IV member, Gaoshiti-Moxi Area, Sichuan Basin, SW China. Mar. Pet. Geol. 2020, 111, 44–65. [Google Scholar] [CrossRef]
- Jin, X.D.; Pan, C.C.; Yu, S.; Li, E.T.; Wang, J.; Fu, X.D.; Qin, J.Z.; Xie, Z.Y.; Zheng, P.; Wang, L.S.; et al. Organic geochemistry of marine source rocks and pyrobitumen-containing reservoir rocks of the Sichuan Basin and neighbouring areas, SW China. Mar. Pet. Geol. 2014, 56, 147–165. [Google Scholar] [CrossRef]
- Hao, B.; Zhao, W.Z.; Hu, S.Y.; Shi, S.Y.; Gao, P.; Wang, T.S.; Huang, S.P.; Jiang, H. Bitumen formation of Cambrian Longwangmiao Formation in the central Sichuan and its implication for hydrocarbon accumulation. Pet. Res. 2018, 3, 44–56. [Google Scholar] [CrossRef]
- Chen, Z.H.; Simoneit, B.R.; Wang, T.G.; Ni, Z.Y.; Yuan, G.H.; Chang, X.C. Molecular markers, carbon isotopes, and rare earth elements of highly mature reservoir pyrobitumens from Sichuan Basin, southwestern China: Implications for PreCambrian-Lower Cambrian petroleum systems. Precambrian Res. 2018, 317, 33–56. [Google Scholar] [CrossRef]
- Zheng, T.Y.; Ma, X.H.; Pang, X.Q.; Wang, W.Y.; Zheng, D.Y.; Huang, Y.Z.; Wang, X.R.; Kang, K. Organic geochemistry of the Upper Triassic T3x5 source rocks and the hydrocarbon generation and expulsion characteristics in Sichuan Basin, central China. J. Pet. Sci. Eng. 2019, 173, 1340–1354. [Google Scholar] [CrossRef]
- Wood, J.M.; Sanei, H.; Curtis, M.E.; Clarkson, C.R. Solid bitumen as a determinant of reservoir quality in an unconventional tight gas siltstone play. Int. J. Coal Geol. 2015, 150, 287–295. [Google Scholar] [CrossRef]
- Shi, C.H.; Cao, J.; Tan, X.C.; Luo, B.; Zeng, W.; Hu, W.X. Discovery of oil bitumen co-existing with solid bitumen in the Lower Cambrian Longwangmiao giant gas reservoir, Sichuan Basin, southwestern China: Implications for hydrocarbon accumulation process. Org. Geochem. 2017, 108, 61–81. [Google Scholar] [CrossRef]
- Taheri-Shakib, J.; Rajabi-Kochi, M.; Kazemzadeh, E.; Naderi, H.; Salimidelshad, Y.; Esfahani, M.R. A comprehensive study of asphaltene fractionation based on adsorption onto calcite, dolomite and sandstone. J. Pet. Sci. Eng. 2018, 171, 863–878. [Google Scholar] [CrossRef]
- Gao, P.; Liu, G.D.; Lash, G.G.; Li, B.Y.; Yan, D.T.; Chen, C. Occurrences and origin of reservoir solid bitumen in Sinian Dengying Formation dolomites of the Sichuan Basin, SW China. Int. J. Coal Geol. 2018, 200, 135–152. [Google Scholar] [CrossRef]
- Mastalerz, M.; Drobniak, A.; Stankiewicz, A.B. Origin, properties, and implications of solid bitumen in source-rock reservoirs: A review. Int. J. Coal Geol. 2018, 195, 14–36. [Google Scholar] [CrossRef]
- Strausz, O.P.; Mojelsky, T.W.; Lown, E.M. The molecular structure of bitumen: An unfolding story. Fuel 1992, 71, 1355–1363. [Google Scholar] [CrossRef]
- Groenzin, H.; Mullins, O.C.; Eser, S.; Mathews, J.; Yang, M.G.; Jones, D. Molecular size of bitumen solubility fractions. Energy Fuels 2003, 17, 498–503. [Google Scholar] [CrossRef]
- Hassanpouryouzband, A.; Joonaki, E.; Taghikhani, V.; Boozarjomehry, R.B.; Chapoy, A.; Tohidi, B. New two-dimensional particle-scale model to simulate asphaltene deposition in wellbores and pipelines. Energy Fuels 2018, 32, 2661–2672. [Google Scholar] [CrossRef]
- Marczewski, A.W.; Szymula, M. Adsorption of bitumens from toluene on mineral surface. Colloids Surf. A Physicochem. Eng. Asp. 2002, 208, 259–266. [Google Scholar] [CrossRef]
- Szymula, M.; Marczewski, A.W. Adsorption of bitumens from toluene on typical soils of Lublin region. Appl. Surf. Sci. 2002, 196, 301–311. [Google Scholar] [CrossRef]
- Doryani, H.; Malayeri, M.R.; Riazi, M. Precipitation and deposition of bitumen in porous media: Impact of various connate water types. J. Mol. Liq. 2018, 258, 124–132. [Google Scholar] [CrossRef]
- Qi, Z.; Abedini, A.; Sharbatian, A.; Pang, Y.; Guerrero, A.; Sinton, D. Bitumen deposition during bitumen extraction with natural gas condensate and naphtha. Energy Fuels 2018, 32, 1433–1439. [Google Scholar] [CrossRef]
- Tirjoo, A.; Bayati, B.; Rezaei, H.; Rahmati, M. Molecular dynamics simulations of bitumen aggregation under different conditions. J. Pet. Sci. Eng. 2019, 177, 392–402. [Google Scholar] [CrossRef]
- Orangi, H.S.; Modarress, H.; Fazlali, A.; Namazi, M.H. Phase behavior of binary mixture of bitumen solvent and ternary mixture of bitumen solvent precipitant. Fluid Phase Equilibria 2006, 245, 117–124. [Google Scholar] [CrossRef]
- Li, Y.; Chen, S.J.; Lu, J.G.; Wang, G.; Zou, X.L.; Xiao, Z.L.; Su, K.M.; He, Q.B.; Luo, X.P. The logging recognition of solid bitumen and its effect on physical properties, AC, resistivity and NMR parameters. Mar. Pet. Geol. 2020, 112, 104070. [Google Scholar] [CrossRef]
- Speight, J.G.; Long, R.B.; Trowbridge, T.D. Factors influencing the separation of bitumens from heavy petroleum feedstocks. Fuel 1984, 63, 616–620. [Google Scholar] [CrossRef]
- Mehana, M.; Abraham, J.; Fahes, M. The impact of bitumen deposition on fluid flow in sandstone. J. Pet. Sci. Eng. 2019, 174, 676–681. [Google Scholar] [CrossRef]
- Ji, K.; Guo, S.B.; Mao, W.J.; Hou, X.L.; Xing, J.; Hou, B.C. The influence of bitumen on the interpretation of NMR measurement. Mar. Pet. Geol. 2018, 89, 752–760. [Google Scholar] [CrossRef]
- Feng, G.Q.; Liu, Q.G.; Shi, G.Z.; Lin, Z.H. An unsteady seepage flow model considering kickoff pressure gradient for low-permeability gas reservoirs. Pet. Explor. Dev. 2008, 35, 457–461. [Google Scholar] [CrossRef]
- Xie, X.H.; Lu, H.J.; Deng, H.C.; Yang, H.Z.; Teng, B.L.; Li, H.A. Characterization of unique natural gas flow in fracture-vuggy carbonate reservoir: A case study on Dengying carbonate reservoir in China. J. Pet. Sci. Eng. 2019, 182, 106243. [Google Scholar] [CrossRef]
- Yue, D.L.; Wu, S.H.; Xu, Z.Y.; Xiong, L.; Chen, D.X.; Ji, Y.L.; Zhou, Y. Reservoir quality, natural fractures, and gas productivity of upper Triassic Xujiahe tight gas sandstones in western Sichuan Basin, China. Mar. Pet. Geol. 2018, 370–386. [Google Scholar] [CrossRef]
- Wu, Y.T.; Pan, Z.J.; Zhang, D.Y.; Lu, Z.H.; Connell, L.D. Evaluation of gas production from multiple coal seams: A simulation study and economics. Int. J. Min. Sci. Technol. 2018, 28, 359–371. [Google Scholar] [CrossRef]
- Liu, G.F.; Meng, Z.; Luo, D.Y.; Wang, J.M.; Gu, D.H.; Yang, D.Y. Experimental evaluation of interlayer interference during commingled production in a tight sandstone gas reservoir with multi-pressure systems. Fuel 2020, 262, 116557. [Google Scholar] [CrossRef]
- Wang, L.; Yang, S.L.; Liu, Y.C.; Xu, W.; Deng, H.; Meng, Z.; Han, W.; Qian, K. Experimental investigation on gas supply capability of commingled production in a fracture-cavity carbonate gas reservoir. Pet. Explor. Dev. 2017, 44, 824–833. [Google Scholar] [CrossRef]
- Fang, H.; Ji, H.C.; Zhou, J.G.; Zhang, J.Y.; Jia, H.B.; Liu, Z.Y. The influences of sea-level changes on the quality of bank reservoirs of the Lower Cambrian Longwangmiao Formation, in the Gaoshiti-Moxi area, Sichuan Province, China. J. Nat. Gas Sci. Eng. 2016, 32, 292–303. [Google Scholar] [CrossRef]
- Zeng, H.L.; Zhao, W.Z.; Xu, Z.H.; Fu, Q.L.; Hu, S.Y.; Wang, Z.C.; Li, B.H. Carbonate seismic sedimentology: A case study of Cambrian Longwangmiao Formation, Gaoshiti-Moxi area, Sichuan Basin, China. Pet. Explor. Dev. 2018, 45, 830–839. [Google Scholar] [CrossRef]
- Yueming, Y.A.; Long, W.E.; Bing, L.U.; Wenzhi, W.; Shujiao, S. Hydrocarbon accumulation of Sinian natural gas reservoirs, Leshan-Longnüsi paleohigh, Sichuan Basin, SW China. Pet. Explor. Dev. 2016, 43, 197–207. [Google Scholar]
- Li, X.Z.; Guo, Z.H.; Wan, Y.J.; Liu, X.H.; Zhang, M.L.; Xie, W.R.; Su, Y.H.; Hu, Y.; Feng, J.W.; Yang, B.X.; et al. Geological characteristics and development strategies for Cambrian Longwangmiao Formation gas reservoir in Anyue gas field, Sichuan Basin, SW China. Pet. Explor. Dev. 2017, 44, 428–436. [Google Scholar] [CrossRef]
- Morawski, I.; Nowicki, M. Directional Auger and elastic peak electron spectroscopies: Versatile methods to reveal near-surface crystal structure. Surf. Sci. Rep. 2019, 74, 178–212. [Google Scholar] [CrossRef]
- Wang, L.; Yang, S.L.; Xu, W.; Meng, Z.; Han, W.; Qian, K. Application of Improved Productivity Simulation Method in Determination of the Lower Limits of Reservoir Physical Properties in Moxi District of An’yue Gas Field. Xinjiang Pet. Geol. 2017, 38, 358–362. (In Chinese) [Google Scholar]
- Wang, L.; Yang, S.L.; Peng, X.; Deng, H.; Liao, Y.; Liu, Y.C.; Xu, W.; Yan, Y.J. Visual Investigation of the Occurrence Characteristics of Multi-Type Formation Water in a Fracture–Cavity Carbonate Gas Reservoir. Energies 2018, 11, 661. [Google Scholar] [CrossRef]
- Li, C.H.; Li, X.Z.; Gao, S.S.; Liu, H.X.; You, S.Q.; Fang, F.F.; Shen, W.J. Experiment on gas-water two-phase seepage and inflow performance curves of gas wells in carbonate reservoirs: A case study of Longwangmiao Formation and Dengying Formation in Gaoshiti-Moxi block, Sichuan Basin, SW China. Pet. Explor. Dev. 2017, 44, 983–992. [Google Scholar] [CrossRef]
- Chen, Y.; Ma, G.W.; Jin, Y.; Wang, H.D.; Wang, Y. Productivity evaluation of unconventional reservoir development with three-dimensional fracture networks. Fuel 2019, 244, 304–313. [Google Scholar] [CrossRef]
- Tian, W.B.; Li, A.F.; Ren, X.X.; Josephine, Y. The threshold pressure gradient effect in the tight sandstone gas reservoirs with high water saturation. Fuel 2018, 226, 221–229. [Google Scholar] [CrossRef]













| Category | Cores ID | Porosity (%) | Permeability (mD) | ||||
|---|---|---|---|---|---|---|---|
| Series 1 | Series 2 | Series 1 | Series 2 | Series 1 | Series 2 | ||
| Pore | P11 | P21 | 2.74 | 2.59 | 0.014 | 0.014 | |
| Pore | P12 | P22 | 3.06 | 3.26 | 0.023 | 0.024 | |
| Pore | P13 | P23 | 3.42 | 3.70 | 0.046 | 0.052 | |
| Pore | P14 | P24 | 3.47 | 3.16 | 0.071 | 0.070 | |
| Cavity | C11 | C21 | 5.53 | 5.40 | 0.020 | 0.020 | |
| Cavity | C12 | C22 | 4.34 | 4.60 | 0.041 | 0.043 | |
| Cavity | C13 | C23 | 6.45 | 7.27 | 0.062 | 0.059 | |
| Cavity | C14 | C24 | 5.74 | 6.01 | 0.096 | 0.090 | |
| Fracture-pore | FP11 | FP11 | 2.12 | 2.22 | 0.150 | 0.158 | |
| Fracture-pore | FP12 | FP22 | 3.44 | 3.18 | 0.223 | 0.190 | |
| Fracture-pore | FP13 | FP23 | 4.47 | 3.88 | 0.594 | 0.657 | |
| Fracture-pore | FP14 | FP24 | 2.73 | 2.50 | 1.680 | 1.620 | |
| Fracture-cavity | FC11 | FC21 | 7.26 | 7.63 | 0.413 | 0.377 | |
| Fracture-cavity | FC12 | FC22 | 5.40 | 6.55 | 0.612 | 0.689 | |
| Fracture-cavity | FC13 | FC23 | 4.03 | 4.22 | 0.983 | 1.060 | |
| Fracture-cavity | FC14 | FC24 | 7.78 | 7.73 | 2.620 | 2.530 | |
| Average | 4.50 | 4.62 | 0.478 | 0.478 | |||
| Sample ID | After Extraction | Increment | ||
|---|---|---|---|---|
| Porosity (%) | Permeability (mD) | Porosity (%) | Permeability (mD) | |
| P31 | 2.97 | 0.030 | 0.23 | 0.016 |
| P32 | 3.19 | 0.032 | 0.13 | 0.009 |
| P33 | 3.57 | 0.060 | 0.15 | 0.014 |
| P34 | 3.57 | 0.076 | 0.10 | 0.005 |
| C31 | 5.96 | 0.040 | 0.43 | 0.020 |
| C32 | 4.62 | 0.057 | 0.28 | 0.016 |
| C33 | 6.67 | 0.070 | 0.22 | 0.008 |
| C34 | 5.95 | 0.110 | 0.21 | 0.014 |
| FP31 | 2.43 | 0.177 | 0.31 | 0.027 |
| FP32 | 3.62 | 0.255 | 0.18 | 0.032 |
| FP33 | 4.69 | 0.621 | 0.22 | 0.027 |
| FP34 | 2.82 | 1.693 | 0.21 | 0.013 |
| FC31 | 7.64 | 0.450 | 0.38 | 0.037 |
| FC32 | 5.84 | 0.642 | 0.44 | 0.016 |
| FC33 | 4.43 | 1.122 | 0.40 | 0.139 |
| FC34 | 8.10 | 2.651 | 0.32 | 0.031 |
| Average | 4.76 | 0.504 | 0.26 | 0.027 |
© 2020 by the authors. Licensee MDPI, Basel, Switzerland. This article is an open access article distributed under the terms and conditions of the Creative Commons Attribution (CC BY) license (http://creativecommons.org/licenses/by/4.0/).
Share and Cite
Chen, J.; Yang, S.; Yang, D.; Deng, H.; Li, J.; Huang, Y.; Zou, C. Influence of Pore Structure and Solid Bitumen on the Development of Deep Carbonate Gas Reservoirs: A Case Study of the Longwangmiao Reservoir in Gaoshiti–Longnusi Area, Sichuan Basin, SW China. Energies 2020, 13, 3825. https://doi.org/10.3390/en13153825
Chen J, Yang S, Yang D, Deng H, Li J, Huang Y, Zou C. Influence of Pore Structure and Solid Bitumen on the Development of Deep Carbonate Gas Reservoirs: A Case Study of the Longwangmiao Reservoir in Gaoshiti–Longnusi Area, Sichuan Basin, SW China. Energies. 2020; 13(15):3825. https://doi.org/10.3390/en13153825
Chicago/Turabian StyleChen, Jianxun, Shenglai Yang, Dongfan Yang, Hui Deng, Jiajun Li, Yu Huang, and Cheng Zou. 2020. "Influence of Pore Structure and Solid Bitumen on the Development of Deep Carbonate Gas Reservoirs: A Case Study of the Longwangmiao Reservoir in Gaoshiti–Longnusi Area, Sichuan Basin, SW China" Energies 13, no. 15: 3825. https://doi.org/10.3390/en13153825
APA StyleChen, J., Yang, S., Yang, D., Deng, H., Li, J., Huang, Y., & Zou, C. (2020). Influence of Pore Structure and Solid Bitumen on the Development of Deep Carbonate Gas Reservoirs: A Case Study of the Longwangmiao Reservoir in Gaoshiti–Longnusi Area, Sichuan Basin, SW China. Energies, 13(15), 3825. https://doi.org/10.3390/en13153825

