The Influence of Groove Structure Parameters on the Maximum Flow Resistance of a Rectangular Narrow Channel
Abstract
1. Introduction
2. Physical Model
2.1. Experimental Equipment
2.2. Measurement Methods and Experimental Conditions
3. Numerical Model
3.1. Establishment of the Numerical Model
3.2. Meshing and Grid Independence Study and Turbulence Model Study
4. Model Validation
5. Effect of Groove Structure Parameters on the Flow Resistance of a Narrow Channel
5.1. Data Reduction
5.2. R and H
5.3. and
6. Effect of the Reynolds Number on Flow Resistance
7. Conclusions
- The arrangement of grooves on the inner wall of a narrow channel effectively increased its flow resistance. The flow resistance of the narrow channel increased with the increase in the concave–convex ratio, with a decelerating growth rate. Under a small concave–convex ratio, the fall in unit pressure increased with decreasing groove depth. In contrast, under a concave–convex ratio larger than a certain critical point, the fall in unit pressure increased with increasing groove depth. This critical concave–convex ratio varied with the groove structure, with the critical concave–convex ratios being 1.5:1 and 1:1.4 under unit lengths of 6 mm and 10 mm, respectively.
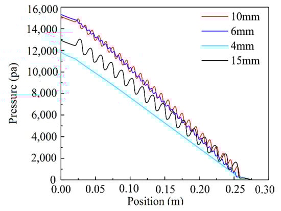
- When reducing the unit length of the narrow channel from 15 mm to 6 mm, its flow resistance first increased and then decreased. Flow resistance of a narrow channel ordered by unit length showed an order of 6 mm > 10 mm > 15 mm > 4 mm. This was because by decreasing the unit length, the shape of the small vortex behind the groove gradually became obvious, and gradually moves upstream. The diffusion and contraction of the fluid in the groove become more and more sufficient. Under a reduced unit length of 4 mm, the water flow formed a large vortex in the groove, and no diffusion and contraction process was evident. At the same time, the intensity of the local high-turbulence kinetic energy zone in the windward region of the grooves shows a trend of first increasing and then decreasing.
- With the increase in the Reynolds number, there was no significant change in the vortex shape of the narrow channel; the basic law of contours of turbulence kinetic energy was consistent; and the windward regions of the grooves all had a local high-turbulence kinetic energy zone, but the intensity of the local high-turbulence kinetic energy clearly increases. This explains why the flow resistance increases with the Reynolds number.
Author Contributions
Funding
Conflicts of Interest
Nomenclature
| narrow channel width, mm | |
| unit length, mm | |
| concave-convex ratio, mm | |
| groove depth, mm | |
| groove length, mm | |
| convex groove length, mm | |
| narrow channel length, mm | |
| length of the smooth starting part, mm | |
| length of groove part, mm | |
| length of the smooth exiting part, mm | |
| pressure, pa | |
| starting position pressure of groove part, pa | |
| exiting position pressure of groove part, pa | |
| Reynolds number based on hydraulic diameter | |
| mean velocity at the inlet, m s−1 | |
| Velocity magnitude, m s−1 | |
| TKE | turbulence kinetic energy, m2 s−2 |
| streamwise distance of narrow channel, mm | |
| spanwise distance of narrow channel, mm | |
| pressure drop of narrow channel, pa | |
| friction factor | |
| flow dynamic viscosity, N s m−2 |
References
- Xu, J.J.; Chen, B.D.; Wang, X.J.; Xiong, W.Y. Experimental research and numerical simulation of flow field near the narrow side in a rectangular narrow channel. J. Hydrodyn. 2006, 6, 770–775. [Google Scholar]
- Wang, Z.H.; Jia, D.N.; Liu, R.L. A Overview of the Intensified Heat Exchange Research of Two phase Flows in a Narrow gap Channel. J. Eng. Therm. Energy Power 2002, 17, 329–331. [Google Scholar]
- Hu, Z.-C.; Ma, H.G. Review of flow and boiling heat transfer in micro-scale channels. Energy Res. Inf. 2003, 3, 125–132. [Google Scholar]
- Xu, J.; Chen, B.; Wang, X. Analysis and Discussion of Flow Boundary Layer in Fully Turbulent of Narrow Rectangular Channel. Nucl. Power Eng. 2011, 32, 95–98. [Google Scholar]
- Yuan, H.; Kuang, B.; Liu, P.; Wang, X.; Li, Y. Experimental validation of the rod-dropping analysis program for hydraulically suspended passive shutdown assembly. Appl. Sci. Technol. 2019, 46, 79–84. [Google Scholar]
- Peng, G.; Kuang, B.; Wang, X.; Liu, P.; Yuan, H. Performance analysis of a moving body in passive shutdown subassembly for sodium cooled fast reactor. Appl. Sci. Technol. 2019, 46, 116–121. [Google Scholar]
- Burgess, N.K.; Oliveira, M.M.; Ligrani, P.M. Nusselt Number Behavior on Deep Dimpled Surfaces Within a Channel. Trans. ASME Ser. C J. Heat Transf. 2003, 125, 11–18. [Google Scholar] [CrossRef]
- Kimura, T.; Tsutahara, M. Fluid dynamic effects of grooves on circular cylinder surface. AIAA J. 1991, 29, 2062–2068. [Google Scholar] [CrossRef]
- Kumar, P. Numerical investigation of fluid flow and heat transfer in trapezoidal microchannel with groove structure. Int. J. Therm. Sci. 2019, 136, 33–43. [Google Scholar] [CrossRef]
- Taslim, M.E.; Darryl, E. Metzger Memorial Session Paper: Experimental Heat Transfer and Friction in Channels Roughened With Angled, V-Shaped, and Discrete Ribs on Two Opposite Walls. J. Turbomach. 1996, 118, 20. [Google Scholar] [CrossRef]
- Moon, S.W.; Lau, S.C. Turbulent Heat Transfer Measurements on a Wall With Concave and Cylindrical Dimples in a Square Channel. In Proceedings of the SME Turbo Expo 2002: Power for Land, Sea, and Air; Amsterdam, The Netherlands , 3–6 June 2002, pp. 459–467.
- Kim, K.; Choi, J. Shape Optimization of a Dimpled Channel to Enhance Turbulent Heat Transfer. Numer. Heat Transf. Part A Appl. 2005, 48, 901–915. [Google Scholar] [CrossRef]
- Won, S.Y.; Ligrani, P.M. Numerical predictions of flow structure and local nusselt number ratios ALONG and above dimpled surfaces with different dimple depths in a channel. Numer. Heat Transf. 2004, 46, 549–570. [Google Scholar] [CrossRef]
- Burgess, N.K.; Ligrani, P.M. Effects Of Dimple Depth on Channel Nusselt Numbers and Friction Factors. J. Heat Transf. 2004, 127, 839–847. [Google Scholar] [CrossRef]
- Kim, S.; Lee, Y.J.; Choi, E.Y.; Kwak, J.S. Effect of Dimple Configuration on Heat Transfer Coefficient in a Rotating Channel. J. Thermophys. Heat Transf. 2011, 25, 165–172. [Google Scholar] [CrossRef]
- Bilen, K.; Cetin, M.; Gul, H.; Balta, T. The investigation of groove geometry effect on heat transfer for internally grooved tubes. Appl. Therm. Eng. 2009, 29, 753–761. [Google Scholar] [CrossRef]
- Ramadhan, A.A.; Al Anii, Y.T.; Shareef, A.J. Groove Geometry Effects on Turbulent Heat Transfer and Fluid Flow. Heat Mass Transf. 2013, 49, 185–195. [Google Scholar] [CrossRef]
- Mohammed, H.A.; Gunnasegaran, P.; Shuaib, N.H. Influence of channel shape on the thermal and hydraulic performance of microchannel heat sink. Int. Commun. Heat Mass Transf. 2011, 38, 474–480. [Google Scholar] [CrossRef]
- Nho, Y.C.; Park, J.S.; Yong, J.L.; Kwak, J.S. Effects of turbine blade tip shape on total pressure loss and secondary flow of a linear turbine cascade. Int. J. Heat Fluid Flow 2012, 33, 92–100. [Google Scholar] [CrossRef]
- Yuan, F.; Cui, Z.; Lin, J. Experimental and Numerical Study on Flow Resistance and Bubble Transport in a Helical Static Mixer. Energies 2020, 13, 1228. [Google Scholar] [CrossRef]
- Ostanek, J.K.; Thole, K.A. Effects of Varying Streamwise and Spanwise Spacing in Pin-Fin Arrays. In Proceedings of the ASME Turbo Expo 2012: Turbine Technical Conference and Exposition, Copenhagen, Denmark, 11–15 June 2012; pp. 45–57. [Google Scholar]
- Zhang, F.; Wang, X.; Li, J. Flow and heat transfer characteristics in rectangular channels using combination of convex-dimples with grooves. Appl. Therm. Eng. 2017, 113, 926–936. [Google Scholar] [CrossRef]
- Zhao, P.; Liu, G.W.; Zhu, X.H.; Liu, Y.F. Influence of dimple space on heat transfer enhancement and pressure loss in a dimpled rectangular channel. J. Aerosp. Power 2009, 24, 2266–2271. [Google Scholar]
- Yu, H.W.; Deng, H.S.; Huang, W.; Wang, X.L. Effects of micro-dimple arrangements on tribological performance of sliding surfaces. J. China Univ. Min. Technol. 2011, 40, 943–948. [Google Scholar]
- Jun, P. Study on flow friction characteristics of single-phase flow in annular narrow channel. Nucl. Technol. 2019, 42, 86–92. [Google Scholar]

















| Experimental Head (m) | Smooth Wall (m∙s−1) | Cogging Wall Surface (m∙s−1) | ||
|---|---|---|---|---|
| 10:5 | 7.5:2.5 | 4.5:1.5 | ||
| 1.4 | 2.91 | 2.35 | 2.17 | 2.12 |
| 1.6 | 3.14 | 2.55 | 2.35 | 2.34 |
| 1.8 | 3.36 | 2.71 | 2.52 | 2.50 |
| Turbulence Model | Pressure Tap 1 | Pressure Tap 2 | Pressure Tap 3 | |||
|---|---|---|---|---|---|---|
| Pressure (pa) | Fractional Error (%) | Pressure (pa) | Fractional Error (%) | Pressure (pa) | Fractional Error (%) | |
| SST | 5440.8 | 43.4 | 3475.4 | 31.2 | 677.1 | 42.0 |
| Standard | 10,825.2 | 12.6 | 5652.8 | 11.9 | 928.9 | 20.4 |
| Realizable | 7015.4 | 27.0 | 3804.7 | 24.7 | 789.0 | 32.4 |
| RNG | 9374.3 | 2.5 | 5016.5 | 0.7 | 1123.6 | 3.8 |
| Experimental date | 9613.8 | -- | 5052.2 | -- | 1167.4 | -- |
| Unit Length (mm) | Concave–Convex Ratio | Narrow Channel Width (mm) | Groove Thickness (mm) |
|---|---|---|---|
| = 15 | = 3:1 | = 3,2,1 | = 1 |
| = 10 | = 1:4,1:3,1:2,1:1,2:1,3:1,4:1 | = 3 | = 1,0.5 |
| = 6 | = 1:4,1:3,1:2,1:1,2:1,3:1,4:1,5:1,6:1 | = 3 | = 1,0.5 |
| = 4 | = 3:1 | = 3,2,1 | = 1 |
| Smooth | = 3:1 | = 3,2,1 | = 1 |
© 2020 by the authors. Licensee MDPI, Basel, Switzerland. This article is an open access article distributed under the terms and conditions of the Creative Commons Attribution (CC BY) license (http://creativecommons.org/licenses/by/4.0/).
Share and Cite
Li, G.; Cai, D.; Li, S.; Li, X.; Li, P.; Zuo, J. The Influence of Groove Structure Parameters on the Maximum Flow Resistance of a Rectangular Narrow Channel. Energies 2020, 13, 3716. https://doi.org/10.3390/en13143716
Li G, Cai D, Li S, Li X, Li P, Zuo J. The Influence of Groove Structure Parameters on the Maximum Flow Resistance of a Rectangular Narrow Channel. Energies. 2020; 13(14):3716. https://doi.org/10.3390/en13143716
Chicago/Turabian StyleLi, Guodong, Dandan Cai, Shanshan Li, Xiaogang Li, Pengfeng Li, and Juanli Zuo. 2020. "The Influence of Groove Structure Parameters on the Maximum Flow Resistance of a Rectangular Narrow Channel" Energies 13, no. 14: 3716. https://doi.org/10.3390/en13143716
APA StyleLi, G., Cai, D., Li, S., Li, X., Li, P., & Zuo, J. (2020). The Influence of Groove Structure Parameters on the Maximum Flow Resistance of a Rectangular Narrow Channel. Energies, 13(14), 3716. https://doi.org/10.3390/en13143716

