Hour-Ahead Photovoltaic Power Forecasting Using an Analog Plus Neural Network Ensemble Method
Abstract
1. Introduction
- (1)
- A novel analog approach for the very-short-term PV power forecasting is proposed to select training data for the target forecast time. The meteorological forecasts and astronomical data are utilized as the features for the analog approach to measure the similarity of the operating conditions. Without using NWP forecasts, the meteorological forecasts are produced by the persistence method, which is simple to use, and has high accuracies for very short timeframe forecasts [5].
- (2)
- Then an ensemble forecast framework is trained for the target forecast time using the selected training data. It does not utilize NWP models, but rather uses the artificial neural network (ANN) to act as the base predictors, which is more accurate than the NWP-based methods for the forecast horizons shorter than six hours [18]. These approaches have been known as the neural network ensemble (NNE) [22]. In this work, the random forest (RF) algorithm is then adopted to blend the forecasts of the ANNs.
2. PV Plant and Data Preparation
3. Methods
3.1. Overview
3.2. Analog Approach for Hour-Ahead Power Forecasting
3.3. Neural Network Ensemble (NNE) Forecast Method
4. Numerical Results
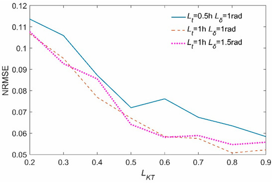
4.1. Forecast Performance of the Proposed Methods
4.2. Impact of Weather Types on Forecasting
4.3. Comparison Results with Benchmark Methods
5. Conclusions
Author Contributions
Funding
Conflicts of Interest
Nomenclature
| Effpv | PV efficiency |
| Q1 and Q3 | First and third quantiles of Effpv |
| IQR | Interquartile range (i.e., Q3–Q1) |
| tg | Target forecast time |
| ti | Training data candidates test time |
| tsolar | Solar time |
| δ | Earth declination angle |
| KT | Clearness index |
| KT_fore | One hour-ahead forecast of the hourly KT |
| GHIfore | Forecasted horizontal global irradiance on the earth’s surface |
| GHImeas | Measured horizontal global irradiance |
| GHIext | Extraterrestrial solar radiation |
| Lt, Lδ and LKT | Absolute deviations between the values of tsolar, δ and KT_fore at ti and tg |
| Fbase | PV power predicted by the base predictors |
| Tamb | Ambient temperature |
| ws | Wind speed |
| P | Measured PV power |
| ntest | Number of the test data |
| Capacity | Rated output power of PV array |
| error and errorb | Error values of the proposed method and the benchmark models |
| PV | Photovoltaic |
| NWP | Numerical weather prediction |
| ANN | Artificial neural network |
| NNE | Neural network ensemble |
| RF | Random forest |
| NN | Neural network |
| NMAE | Normalized mean absolute error |
| FNN | Feed forward neural network |
| BP | Backpropagation |
| GA | Genetic algorithm |
| DT | Decision tree |
| NRMSE | Normalized root mean square error |
| SVR | Support vector regression |
| RBF | Radial basis function |
| FS | Forecast skill |
References
- Das, U.K.; Tey, K.S.; Seyedmahmoudian, M.; Mekhilef, S.; Idris, M.Y.I.; Van Deventer, W.; Horan, B.; Stojcevski, A. Forecasting of photovoltaic power generation and model optimization: A review. Renew. Sustain. Energy Rev. 2018, 81, 912–928. [Google Scholar] [CrossRef]
- Sobri, S.; Koohi-Kamali, S.; Rahim, N.A. Solar photovoltaic generation forecasting methods: A review. Energy Convers. Manag. 2018, 156, 459–497. [Google Scholar] [CrossRef]
- Wan, C.; Zhao, J.; Song, Y.; Xu, Z.; Lin, J.; Hu, Z. Photovoltaic and solar power forecasting for smart grid energy management. CSEE J. Power Energy Syst. 2015, 1, 38–46. [Google Scholar] [CrossRef]
- Gigoni, L.; Betti, A.; Crisostomi, E.; Franco, A.; Tucci, M.; Bizzarri, F.; Mucci, D. Day-Ahead Hourly Forecasting of Power Generation from Photovoltaic Plants. IEEE Trans. Sustain. Energy 2019, 9, 831–842. [Google Scholar] [CrossRef]
- Zhang, X.; Li, Y.; Lu, S.; Hamann, H.; Hodge, B.-M.; Lehman, B. A Solar Time Based Analog Ensemble Method for Regional Solar Power Forecasting. IEEE Trans. Sustain. Energy 2018, 10, 268–279. [Google Scholar] [CrossRef]
- Huang, R.; Huang, T.; Gadh, R.; Li, N. Solar generation prediction using the ARMA model in a laboratory-level micro-grid. In Proceedings of the IEEE 3rd International Conference on Smart Grid Communications (SmartGridComm), Tainan, Taiwan, 5–8 November 2012; pp. 528–533. [Google Scholar]
- Jiang, H.; Dong, Y. Forecast of hourly global horizontal irradiance based on structured Kernel Support Vector Machine: A case study of Tibet area in China. Energy Convers. Manag. 2017, 142, 307–321. [Google Scholar] [CrossRef]
- İzgi, E.; Öztopal, A.; Yerli, B.; Kaymak, M.K.; Şahin, A.D. Short–mid-term solar power prediction by using artificial neural networks. Sol. Energy 2012, 86, 725–733. [Google Scholar] [CrossRef]
- Yang, D.; Kleissl, J.; Gueymard, C.A.; Pedro, H.T.C.; Coimbra, C.F.M. History and trends in solar irradiance and PV power forecasting: A preliminary assessment and review using text mining. Sol. Energy 2018, 168, 60–101. [Google Scholar] [CrossRef]
- Yang, D.; Dong, Z. Operational photovoltaics power forecasting using seasonal time series ensemble. Sol. Energy 2018, 166, 529–541. [Google Scholar] [CrossRef]
- Alessandrini, S.; Delle Monache, L.; Sperati, S.; Cervone, G. An analog ensemble for short-term probabilistic solar power forecast. Appl. Energy 2015, 157, 95–110. [Google Scholar] [CrossRef]
- Cervone, G.; Clemente-Harding, L.; Alessandrini, S.; Delle Monache, L. Short-term photovoltaic power forecasting using Artificial Neural Networks and an Analog Ensemble. Renew. Energy 2017, 108, 274–286. [Google Scholar] [CrossRef]
- Delle Monache, L.; Eckel, F.; Rife, D.; Nagarajan, B.; Searight, K. Probabilistic Weather Prediction with an Analog Ensemble. Mon. Weather Rev. 2013, 141, 3498–3516. [Google Scholar] [CrossRef]
- Haupt, S.; Kosovic, B. Variable Generation Power Forecasting as a Big Data Problem. IEEE Trans. Sustain. Energy 2016, 8, 725–732. [Google Scholar] [CrossRef]
- Akyurek, B.O.; Akyurek, A.S.; Kleissl, J.; Rosing, T.Š. TESLA: Taylor expanded solar analog forecasting. In Proceedings of the IEEE International Conference on Smart Grid Communications (SmartGridComm), Venice, Italy, 3–6 November 2014; pp. 127–132. [Google Scholar] [CrossRef]
- Zorita, E.; Von Storch, H. The Analog Method as a Simple Statistical Downscaling Technique: Comparison with More Complicated Methods. J. Clim. 1999, 12, 2474–2489. [Google Scholar] [CrossRef]
- Abuella, M.; Chowdhury, B. Random Forest Ensemble of Support Vector Regression Models for Solar Power Forecasting. In Proceedings of the IEEE Power & Energy Society Innovative Smart Grid Technologies Conference (ISGT), Washington, DC, USA, 23–26 April 2017; pp. 1–5. [Google Scholar]
- Chowdhury, B. Improving combined solar power forecasts using estimated ramp rates: Data-driven post-processing approach. IET Renew. Power Gener. 2018, 12, 1127–1135. [Google Scholar]
- Kourentzes, N.; Barrow, D.K.; Crone, S.F. Neural network ensemble operators for time series forecasting. Expert Syst. Appl. 2014, 41, 4235–4244. [Google Scholar] [CrossRef]
- Thorey, J.; Chaussin, C.; Mallet, V. Ensemble forecast of photovoltaic power with online CRPS learning. Int. J. Forecast. 2018, 34, 762–773. [Google Scholar] [CrossRef]
- Larson, D.P.; Nonnenmacher, L.; Coimbra, C.F.M. Day-ahead forecasting of solar power output from photovoltaic plants in the American Southwest. Renew. Energy 2016, 91, 11–20. [Google Scholar] [CrossRef]
- Raza, M.Q.; Mithulananthan, N.; Summerfield, A. Solar output power forecast using an ensemble framework with neural predictors and Bayesian adaptive combination. Sol. Energy 2018, 166, 226–241. [Google Scholar] [CrossRef]
- Wang, J.Y.; Qian, Z.; Zareipour, H.; Wood, D. Performance assessment of photovoltaic modules based on daily energy generation estimation. Energy 2018, 165, 1160–1172. [Google Scholar] [CrossRef]
- Platon, R.; Martel, J.; Woodruff, N.; Chau, T.Y. Online Fault Detection in PV Systems. IEEE Trans. Sustain. Energy 2015, 6, 1200–1207. [Google Scholar] [CrossRef]
- Mallor, F.; León, T.; De Boeck, L.; Van Gulck, S.; Meulders, M.; Van der Meerssche, B. A method for detecting malfunctions in PV solar panels based on electricity production monitoring. Sol. Energy 2017, 153, 51–63. [Google Scholar] [CrossRef]
- Ren, Y.; Suganthan, P.N.; Srikanth, N. Ensemble methods for wind and solar power forecasting—A state-of-the-art review. Renew. Sustain. Energy Rev. 2015, 50, 82–91. [Google Scholar] [CrossRef]
- Wang, F.; Zhen, Z.; Mi, Z.; Sun, H.; Su, S.; Yang, G. Solar irradiance feature extraction and support vector machines based weather status pattern recognition model for short-term photovoltaic power forecasting. Energy Build. 2015, 86, 427–438. [Google Scholar] [CrossRef]
- Yang, H.; Huang, C.; Huang, Y.; Pai, Y. A Weather-Based Hybrid Method for 1-Day Ahead Hourly Forecasting of PV Power Output. IEEE Trans. Sustain. Energy 2014, 5, 917–926. [Google Scholar] [CrossRef]
- Al-Dahidi, S.; Ayadi, O.; Alrbai, M.; Adeeb, J. Ensemble Approach of Optimized Artificial Neural Networks for Solar Photovoltaic Power Prediction. IEEE Access 2019, 7, 81741–81758. [Google Scholar] [CrossRef]
- Raza, M.Q.; Mithulananthan, N.; Li, J.; Lee, K.Y.; Gooi, H.B. An Ensemble Framework for Day-Ahead Forecast of PV Output Power in Smart Grids. IEEE Trans. Ind. Inform. 2019, 15, 4624–4634. [Google Scholar] [CrossRef]
- Gao, D.Q.; Zhu, H.J.; Nie, G.P. On the transformation mechanisms of multilayer perceptrons with sigmoid activation functions for classifications. In Proceedings of the International Joint Conference on Neural Networks, Portland, OR, USA, 20–24 July 2003; Volume 2, pp. 1173–1178. [Google Scholar] [CrossRef]
- Breiman, L. Random Forests. Mach. Learn. 2001, 45, 5–32. [Google Scholar] [CrossRef]
- Shi, J.; Lee, W.-J.; Liu, Y.; Yang, Y.; Wang, P. Forecasting power output of photovoltaic system based on weather classification and support vector machine. In Proceedings of the IEEE Industry Applications Society Annual Meeting, Orlando, FL, USA, 9–13 October 2011; pp. 1–6. [Google Scholar]
- Santamaría-Bonfil, G.; Reyes-Ballesteros, A.; Gershenson, C. Wind speed forecasting for wind farms: A method based on support vector regression. Renew. Energy 2016, 85, 790–809. [Google Scholar] [CrossRef]
- Lahouar, A.; Mejri, A.; Slama, J.B.H. Importance based selection method for day-ahead photovoltaic power forecast using random forests. In Proceedings of the 2017 International Conference on Green Energy Conversion Systems (GECS), Hammamet, Tunisia, 23–25 March 2017; pp. 1–7. [Google Scholar] [CrossRef]
- Dong, W.; Huang, Y.M.; Barry, L.; Ma, G.W. XGBoost algorithm-based prediction of concrete electrical resistivity for structural health monitoring. Automat. Constr. 2020, 114, 103155. [Google Scholar] [CrossRef]











| Meteorological Variables | Max | Min | Mean |
|---|---|---|---|
| Solar irradiance (W/m2) | 1148.0 | 0 | 111.1045 |
| Ambient temperature (℃) | 37.3300 | 0 | 20.1984 |
| Wind speed (m/s) | 8.2700 | 0 | 1.4251 |
| Photovoltaic (PV) power (W) | 659,600.0 | 0 | 68,799.0 |
| Error Metrics | Methods | Weather Types | ||
|---|---|---|---|---|
| Clear Day (Daily KT > 0.45) | Partially Cloudy Day (0.25 < Daily KT < 0.45) | Cloudy Day (Daily KT < 0.25) | ||
| NRMSE | Analog + NNE | 3.86% | 6.02% | 5.74% |
| NNE | 7.84% | 9.69% | 6.45% | |
| FNN | 8.18% | 9.92% | 6.79% | |
| NMAE | Analog + NNE | 1.79% | 2.93% | 2.74% |
| NNE | 4.47% | 5.23% | 3.49% | |
| FNN | 4.71% | 5.42% | 3.73% | |
| Methods | Error Metrics | FS | Error Reduction by Analog + NNE Method | |
|---|---|---|---|---|
| Persistence | NRMSE | 9.17% | 0 | 43.51% |
| NMAE | 4.91% | 0 | 50.71% | |
| Support vector regression (SVR) | NRMSE | 8.90% | 0.03 | 41.80% |
| NMAE | 4.87% | 0.01 | 50.31% | |
| Linear regression | NRMSE | 10.82% | −0.18 | 52.13% |
| NMAE | 4.98% | −0.01 | 51.41% | |
| Random forest (RF) model | NRMSE | 8.99% | 0.02 | 42.38% |
| NMAE | 5.01% | −0.02 | 51.70% | |
| Gradient boosting | NRMSE | 10.52% | −0.15 | 50.76% |
| NMAE | 5.95% | −0.21 | 59.33% | |
| XGBoost | NRMSE | 9.67% | −0.05 | 46.43% |
| NMAE | 5.20% | −0.06 | 53.46% | |
| Analog + NNE | NRMSE | 5.18% | 0.44 | |
| NMAE | 2.42% | 0.51 | ||
© 2020 by the authors. Licensee MDPI, Basel, Switzerland. This article is an open access article distributed under the terms and conditions of the Creative Commons Attribution (CC BY) license (http://creativecommons.org/licenses/by/4.0/).
Share and Cite
Wang, J.; Qian, Z.; Wang, J.; Pei, Y. Hour-Ahead Photovoltaic Power Forecasting Using an Analog Plus Neural Network Ensemble Method. Energies 2020, 13, 3259. https://doi.org/10.3390/en13123259
Wang J, Qian Z, Wang J, Pei Y. Hour-Ahead Photovoltaic Power Forecasting Using an Analog Plus Neural Network Ensemble Method. Energies. 2020; 13(12):3259. https://doi.org/10.3390/en13123259
Chicago/Turabian StyleWang, Jingyue, Zheng Qian, Jingyi Wang, and Yan Pei. 2020. "Hour-Ahead Photovoltaic Power Forecasting Using an Analog Plus Neural Network Ensemble Method" Energies 13, no. 12: 3259. https://doi.org/10.3390/en13123259
APA StyleWang, J., Qian, Z., Wang, J., & Pei, Y. (2020). Hour-Ahead Photovoltaic Power Forecasting Using an Analog Plus Neural Network Ensemble Method. Energies, 13(12), 3259. https://doi.org/10.3390/en13123259
