A Piston-Swiveling-Cylinder Pair in a High Water-Based Hydraulic Motor with Self-Balanced Distribution Valves
Abstract
1. Introduction
2. Model of PSC Pair in HWBHM with SDV
3. Leakage Analysis and Initial Design for a PSC Pair
3.1. Seal Length and Fit Tolerance
3.2. Temperature
3.3. Fluid-Structure Interaction
4. Friction Experiment for Matching Materials
5. Influence of Factors on Leakage Performance of PSC Pair in HWBHM with SDV Based on Orthogonal Test
6. Conclusions
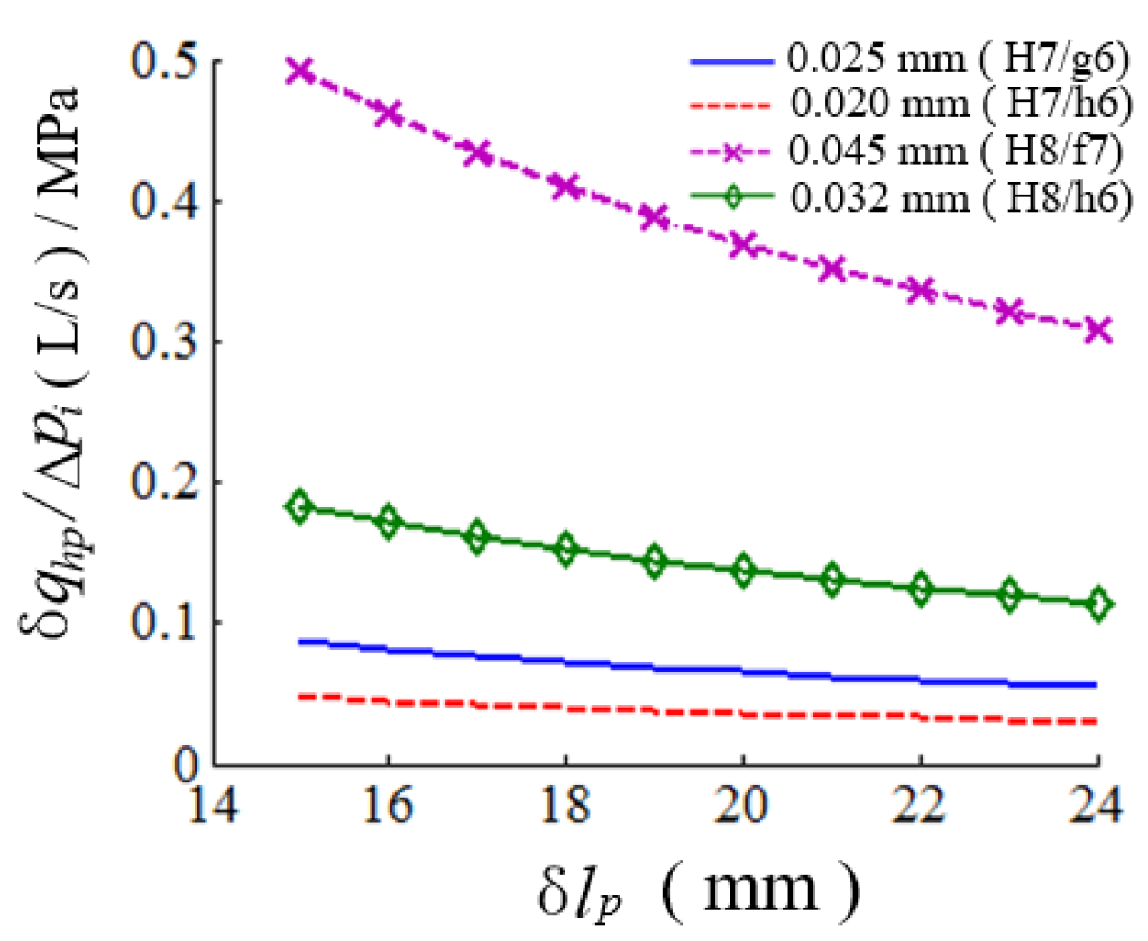
- Because the motion speed of PSC pair is very low when HWBHM-SDV is working within 0 to 100 rpm, the leakage from the PSC pair is mainly caused by pressure-gradient flow. The influence of seal length on leakage is insignificant at a seal length of 24 mm (Figure 4).
- Within the working speed of 100 rpm, the matching materials 316L-GIC/PEEK-30CF and 316L-GIC/316L-GIC have good friction performance, the friction coefficient for 316L-GIC/PEEK-30CF is about 0.02 to 0.04, and the friction coefficient for 316L-GIC/316L-GIC is about 0.05 to 0.07. The friction coefficient of 316L-GIC/316L-GIC is much more stable than that of 316L-GIC/PEEK-30CF.
- Based on the orthogonal test, it can be concluded that when considering the influence of bi-directional coupling of lubrication film and structure, clearance has the most significant influence on leakage, followed by pressure and temperature. The difference in leakage between matching materials 316L-GIC/316L-GIC and 316L-GIC/PEEK-30CF is insignificant when the clearance is less than 8 μm and at a working pressure of less than 10 MPa.
- With a clearance of 10 μm at a temperature 20 °C, the operating scopes of working speed and working pressure are significantly influenced by the matching materials used in the PSC pair. For the soft-to-hard matching materials 316L-GIC with PEEK-30CF, the range of application is small: the working pressure should be less than 15 MPa to ensure a higher volume efficiency loss. For hard-to-hard matching materials 316L-GIC with 316L-GIC, the working scope is much wider than matching materials 316L-GIC with PEEK-30CF: the working pressure can be as high as 28 MPa when the working speed exceeds 80 rpm. Besides, for the two groups of matching materials, the rate of change of the ratio in volume efficiency loss caused by fluid-structure interaction increases with the increases in working pressure and working speed.
Author Contributions
Funding
Conflicts of Interest
Abbreviation
| [C] | the specific heat capacity of high water-based hydraulic liquid |
| [d] | the diameter of piston |
| [d0] | the diameter of pin specimen |
| [d1] | the contact diameter between pin specimen and disk specimen |
| [d2] | the diameter of disk specimen |
| [e0] | the distance between O and O1 |
| [Ehp] | power loss caused by pressure-gradient flow |
| [Fp1] | the hydraulic force upon valve |
| [Fp2] | the hydraulic force under valve |
| [FN0] | the support force from valve seat |
| [Ft] | the spring force |
| [h1] | the height of pin specimen |
| [h2] | the height of disk specimen |
| [hp] | the annular clearance of PSC pair |
| [kct] | the difference between volume efficiency loss caused by fluid structure interaction and theoretical calculation |
| [li] | the distance of O1 and O2 |
| [lp] | the total length of piston |
| [n] | the rotation speed of HWBHM |
| [nt] | the rotation speed of plate specimen |
| [O] | the rotation center of crankshaft |
| [O1] | eccentric distance of eccentric structure on crankshaft |
| [O2] | the rotation center of cylinder |
| [P] | the load applied on pin specimen and plate specimen |
| [q] | the designed displacement of HWBHM |
| [rf] | the average friction radius |
| [R0] | the distance of O and O2 |
| [Rqs] | the range of xqsi for each factor with matching materials 316L-GIC/316L-GIC |
| [Rqp] | the range of xqpi for each factor with matching materials 316L-GIC/PEEK-30CF |
| [vi] | the maximum value of relative velocity between piston and cylinder |
| [xqpi] | the mean of δqp for each factor at level i (i = 1, 2, 3) |
| [xqsi] | the mean of δqs for each factor at level i (i = 1, 2, 3) |
| [ρ] | the density of high water based hydraulic liquid |
| [μ] | the dynamic viscosity of high water-based hydraulic liquid |
| [θi] | the rotation angle of cylinder |
| [φi] | the rotation angle of crankshaft |
| [ω] | the rotation speed of crankshaft |
| [δlp] | the seal length for piston and swiveling cylinder |
| [δqhp] | the leakage caused by the pressure in PSC pair |
| [δqp] | the leakage in PSC pair caused by fluid-structure interaction with materials 316L-GIC/PEEK-30CF |
| [δqs] | the leakage in PSC pair caused by fluid-structure interaction with materials 316L-GIC/316l-GIC |
| [δqτ] | the leakage caused by shear flow in PSC clearance |
| [Δpi] | the differential pressure of clearance in PSC pair |
| [ΔTp] | the temperature raise caused by energy loss Ehp |
| [ηhpv] | the volume efficiency loss caused by PSC pairs based on theoretical analysis |
| [ηhpvc] | the volume efficiency loss caused by fluid-structure interaction |
References
- Striker, S. Advances make tap water hydraulics more practical. Hydraul. Pneum. 1996, 49, 29–32. [Google Scholar] [CrossRef]
- Conrad, F. Why use tap water hydraulic systems? It’s a natural approach. In Proceedings of the International Workshop on Water Hydraulic Systems and Applications, Lyngby, Denmark, 3–4 September 1998. [Google Scholar]
- Conrad, F.; Hibrecht, B.; Jepsen, H. Design of low-pressure and high-pressure tap water hydraulic systems for various industrial applications. SAE Trans. 2000, 109, 316–330. [Google Scholar]
- Liu, Y.S. Applications of seawater hydraulics in deep-sea equipment. Chin. J. Mech. Eng. 2014, 50, 28–35. [Google Scholar] [CrossRef]
- Westinghouse, E.C.; Oceanoc, D. Development of a Seawater Hydraulic Vane Motor for Driver Tools; Civil Engineering Laboratory Naval Construction Battalion Center: Port Hueneme, CA, USA, 1980; pp. 1–119. [Google Scholar]
- Wolfhart Industires. Seawater Hydraulic Motor and High Pressure Water Pump. Available online: http://www.wolfhartindustries.com/wolfhart.htm (accessed on 15 April 2020).
- Water Hydraulics. Water Hydraulics Janus Motor. Available online: http://www.waterhydraulics.co.uk/new/PDF/motors.pdf (accessed on 15 April 2020).
- HytarOy. HytarOy APM. Available online: http://www.hytar.fi/sites/default/files/pdf/apm_datasheet_0 (accessed on 15 December 2019).
- Tsukagoshi, H.; Nozaki, S.; Kitagawa, A. Versatile water hydraulic motor by tap water. In Proceedings of the 2000 IEEE/RSJ International Conference on Intelligent Robots and Systems, Takamatsu, Japan, 31 October–5 November 2000; Volume 3, pp. 1949–1954. [Google Scholar] [CrossRef]
- Shinoda, M.; Yamashina, C.; Miyakawa, S. Development of low-pressure water hydraulic motor. In Proceedings of the Sixth Scandinavian International Conference on Fluid Power, Tampere, Finland, 26–28 May 1999; pp. 243–254. [Google Scholar] [CrossRef][Green Version]
- Nie, S.L. SEWHAPM: Development of a water hydraulic axial piston motor for underwater tool systems. Proc. Inst. Mech. Eng. Part C J. Mech. Eng. Sci. 2005, 219, 639–656. [Google Scholar] [CrossRef]
- Shigeru, H. Takuya. Investigation for output torque of a low pressure water hydraulic planetary gear motor. Vonda Hidravl. 2012, 18, 26–35. [Google Scholar]
- Manring, N.D. Valve-plate design for an axial piston pump operating at low displacements. ASME J. Mech. Des. 2003, 125, 200–205. [Google Scholar] [CrossRef]
- Seeniraj, G.K.; Ivantysynova, M. Impact of valve plate design on noise, volumetric efficiency and control effort in an axial piston pump. In Proceedings of the ASME 2006 International Mechanical Engineering Congress and Exposition, Fluid Power Systems and Technology, Chicago, IL, USA, 5–10 November 2006; pp. 77–84. [Google Scholar] [CrossRef]
- Wang, S. Improving the volumetric efficiency of axial piston pump. ASME J. Mech. Des. 2012, 134, 111001. [Google Scholar] [CrossRef]
- Yang, L.J. Numerical and experimental investigation on torque characteristics of seawater hydraulic axial piston motor for underwater tool system. Ocean. Eng. 2015, 104, 168–184. [Google Scholar] [CrossRef]
- Wang, Z.Q.; Gao, D.R.; Fei, J.H. Analysis and numerical simulation of leakage flow speed high torque water hydraulic motor’s plain flow distribution pair. Appl. Mech. Mater. 2012, 233, 204–207. [Google Scholar] [CrossRef]
- Sliwiński, P. Flow of liquid in flat gaps of the satellite motor working mechanism. Pol. Marit. Res. 2014, 21, 50–57. [Google Scholar] [CrossRef]
- Qiu, B.J.; Zhao, J.Y.; Zhao, L. Characterization and performance analysis of a new type of a high water-based hydraulic motor with a self-balanced distribution valve mode. Proc. Inst. Mech. Eng. Part C J. Mech. Eng. Sci. 2017, 231, 4655–4669. [Google Scholar] [CrossRef]
- Wang, C.; Han, S.S.; Li, K.; Chen, L.X. Study on leakage characteristics of friction pairs in construction machinery remanufacturing piston motor. Mach. Tools Hydraul. 2018, 46, 83–85. [Google Scholar] [CrossRef]
- Olsson, H.; Ukonsaari, J. Wear test and specification of hydraulic fluid in industrial applications. Tribol. Int. 2003, 36, 835–841. [Google Scholar] [CrossRef]
- Huang, G.Q.; He, X.F.; Zhu, Y.Q. Analysis on optimal clearance of piston friction pair and its influence factors for water hydraulic pump. Chin. Mech. Eng. 2011, 22, 1668–1672. [Google Scholar] [CrossRef]
- Huang, G.Q.; Yu, J.; Pu, H.L. Optimal design on clearance of piston friction pair for water hydraulic pump. Adv. Mater. Res. 2011, 287, 3056–3060. [Google Scholar] [CrossRef]
- Cao, W.B.; Dong, J.C. Stress and wear leakage analysis of piston in hydraulic axial piston pump. J. Gansu Sci. 2018, 30, 103–107. [Google Scholar] [CrossRef]
- Yang, H.Y.; Yang, J.; Zhou, H. Research on materials of piston and cylinder of water hydraulic pump. Ind. Lubr. Tribol. 2003, 55, 38–43. [Google Scholar] [CrossRef]
- Liu, Y.S.; Wu, D.F.; Wu, X.F. Material screening of matching pairs in a water hydraulic piston pump. Ind. Lubr. Tribol. 2009, 61, 173–178. [Google Scholar] [CrossRef]
- Dong, W.T.; Nie, S.L.; Zhang, A.Q. Tribological behavior of PEEK filled with CF/PTFE/graphite sliding against stainless steel surface under water lubrication. Proc. Inst. Mech. Eng. Part J J. Eng. Tribol. 2013, 227, 1129–1137. [Google Scholar] [CrossRef]
- Zhang, A.Q.; Nie, S.L.; Yang, L.J. Evaluation of tribological properties on PEEK + CA30 sliding against 17-4PH for water hydraulic axial piston motor. Proc. Inst. Mech. Eng. Part C J. Mech. Eng. Sci. 2014, 228, 2253–2265. [Google Scholar] [CrossRef]
- Ernst, M.H.; Ivantysynova, M. Cylinder bore micro-surface shaping for high pressure axial piston machine operation using water as hydraulic fluid. In Proceedings of the ASME/BATH 2017 Symposium on Fluid Power and Motion Control (FPMC 2017), Sarasota, FL, USA, 16–19 October 2017; p. 20180204625600. [Google Scholar] [CrossRef]
- Ernst, M.H.; Ivantysynova, M. Micro surface shaping for the high-pressure operation of piston machines with water as a working fluid. In Proceedings of the ASME/BATH 2015 Symposium on Fluid Power and Motion Control (FPMC 2015), Chicago, IL, USA, 12–14 October 2015; p. 20161702302083. [Google Scholar] [CrossRef]
- Yang, Z. The analysis of piston-barrel leakage in a superhigh pressure water hydraulic piston pump. Hydromechatron. Eng. 2012, 40, 39–42. [Google Scholar] [CrossRef]
- Gary, W.K.; Chua Patrick, S.K. Water hydraulics-theory and applications 2004. workshop on water hydraulics. In Proceedings of the Agricultural Equipment Technology Conference (AETC’04), Louisville, Kentucky, 8–10 February 2004; pp. 1–33. [Google Scholar]
- Ma, Q.F. Handbook of Practical Thermophysical Properties; China Agricultural Machinery Press: Beijing, China, 1986; p. 809. ISBN 15216.141. (In Chinese) [Google Scholar]
- Qiu, B.J.; Zhao, J.Y.; Man, J.X. Comparative study of materials for friction pairs in a new high water-based hydraulic motor with low speed and high pressure. Ind. Lubr. Tribol. 2019, 71, 164–172. [Google Scholar] [CrossRef]
- Shang, L.Z.; Ivantysynova, M. A temperature adaptive piston design for swash plate type axial piston machines. Int. J. Fluid Power 2017, 18, 38–48. [Google Scholar] [CrossRef]
- Mizell, D.; Ivantysynova, M. Material combinations for the piston-cylinder interface of axial piston machines: A simulation study. In Proceedings of the 8th FPNI Ph.D Symposium on Fluid Power (FPNI 2014), Lappeenranta, Finland, 11–13 June 2014; p. 20144900271287. [Google Scholar] [CrossRef]



















| Parameter | Value |
|---|---|
| diameter of piston: d (mm) | 40 |
| eccentric of crankshaft: e0 (mm) | 15 |
| diameter of eccentric structure on crankshaft: R (mm) | 45 |
| distance of O and O2: R0 (mm) | 90 |
| designed clearance: r (mm) | 5 |
| thickness of piston slipper: δl2 (mm) | 3.8 |
| total length of piston: lp (mm) | 65.6 |
| Parameter | Value | |||
|---|---|---|---|---|
| T (°C) | 10 | 20 | 30 | 40 |
| μ (×10−3 Pa·s) | 1.306 | 1.006 | 0.805 | 0.659 |
| Level | A Clearance (μm) | B Temperature (°C) | C Pressure (MPa) |
|---|---|---|---|
| 1 | 5 | 10 | 10 |
| 2 | 8 | 20 | 20 |
| 3 | 10 | 40 | 30 |
| Group | A | B | C | δqp (mL/s) | δqs (mL/s) |
|---|---|---|---|---|---|
| 1 | 5 | 10 | 10 | 0.46868180 | 0.46468416 |
| 2 | 5 | 20 | 20 | 1.20573992 | 1.19679212 |
| 3 | 5 | 40 | 30 | 2.84261912 | 2.76074932 |
| 4 | 8 | 10 | 30 | 5.62555960 | 5.37024000 |
| 5 | 8 | 20 | 10 | 2.49525600 | 2.36276800 |
| 6 | 8 | 40 | 20 | 7.5924228 | 7.15616000 |
| 7 | 10 | 10 | 20 | 14.605680 | 6.46020000 |
| 8 | 10 | 20 | 30 | 28.640920 | 12.1094800 |
| 9 | 10 | 40 | 10 | 8.8599200 | 7.04848000 |
| Factor | A | B | C |
|---|---|---|---|
| xqp1 | 1.505680000 | 6.899973800 | 3.941285933 |
| xqp2 | 5.237746133 | 10.78063864 | 7.801280907 |
| xqp3 | 17.36884000 | 6.431653973 | 12.36969957 |
| Rqp | 15.86315972 | 4.348984667 | 8.428413640 |
| xqs1 | 1.474075000 | 4.098374720 | 3.291977387 |
| xqs2 | 4.963056000 | 5.223013373 | 4.937717373 |
| xqs3 | 8.539386667 | 5.655129773 | 6.746823107 |
| Rqs | 7.065311667 | 1.556755053 | 3.454845720 |
© 2020 by the authors. Licensee MDPI, Basel, Switzerland. This article is an open access article distributed under the terms and conditions of the Creative Commons Attribution (CC BY) license (http://creativecommons.org/licenses/by/4.0/).
Share and Cite
Zhao, J.; Qiu, B.; Man, J. A Piston-Swiveling-Cylinder Pair in a High Water-Based Hydraulic Motor with Self-Balanced Distribution Valves. Energies 2020, 13, 3175. https://doi.org/10.3390/en13123175
Zhao J, Qiu B, Man J. A Piston-Swiveling-Cylinder Pair in a High Water-Based Hydraulic Motor with Self-Balanced Distribution Valves. Energies. 2020; 13(12):3175. https://doi.org/10.3390/en13123175
Chicago/Turabian StyleZhao, Jiyun, Bingjing Qiu, and Jiaxiang Man. 2020. "A Piston-Swiveling-Cylinder Pair in a High Water-Based Hydraulic Motor with Self-Balanced Distribution Valves" Energies 13, no. 12: 3175. https://doi.org/10.3390/en13123175
APA StyleZhao, J., Qiu, B., & Man, J. (2020). A Piston-Swiveling-Cylinder Pair in a High Water-Based Hydraulic Motor with Self-Balanced Distribution Valves. Energies, 13(12), 3175. https://doi.org/10.3390/en13123175
