On Mixed Convection Squeezing Flow of Nanofluids
Abstract
1. Introduction
2. Description of the Problem
3. Solution of the Problem
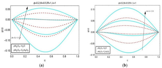
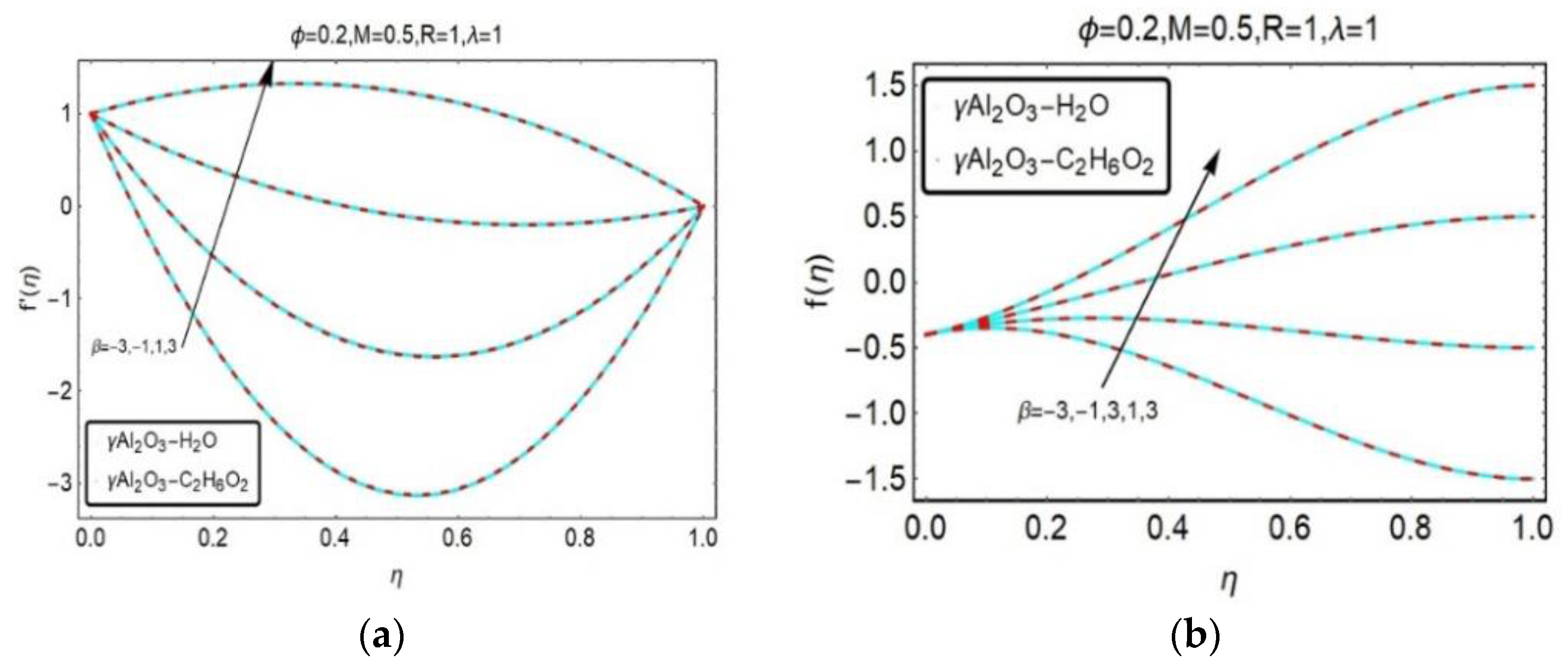
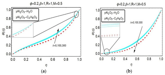
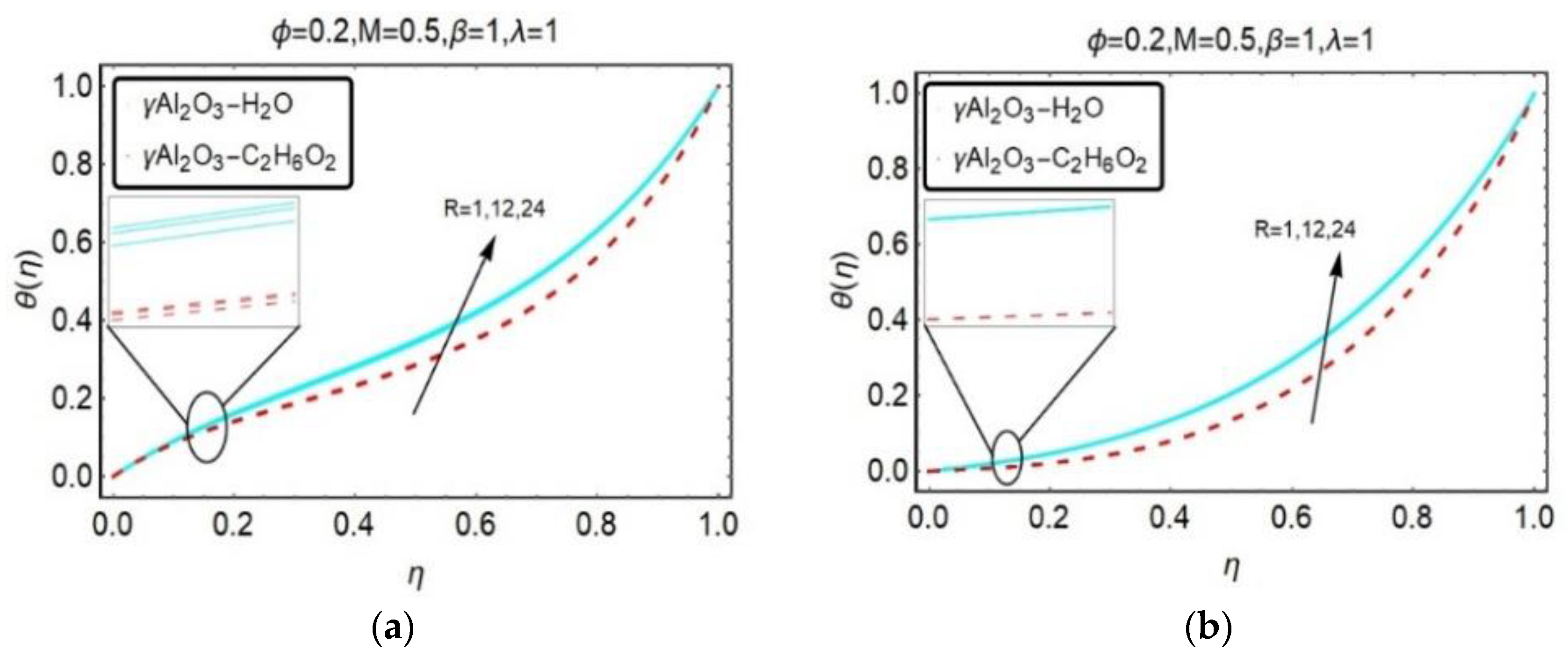
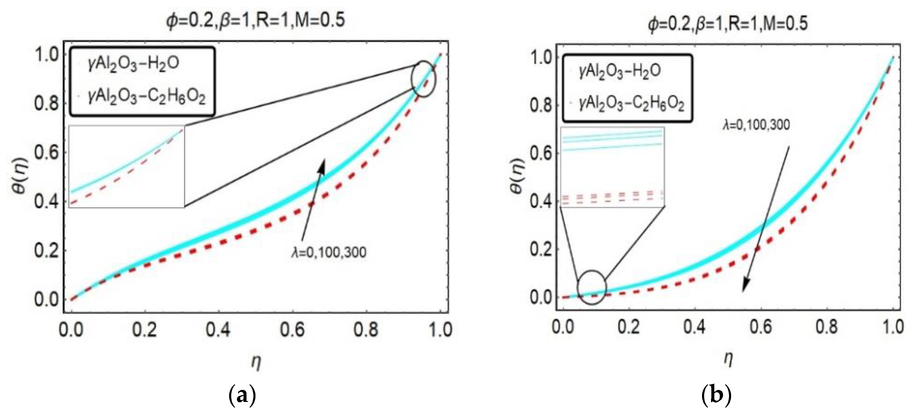
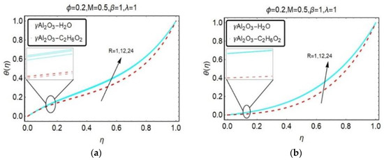
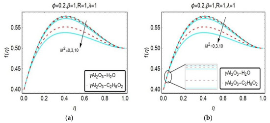
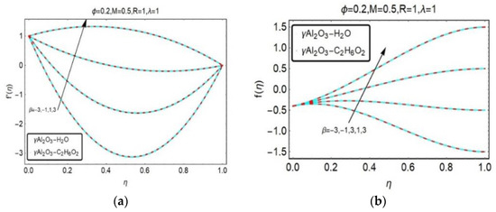
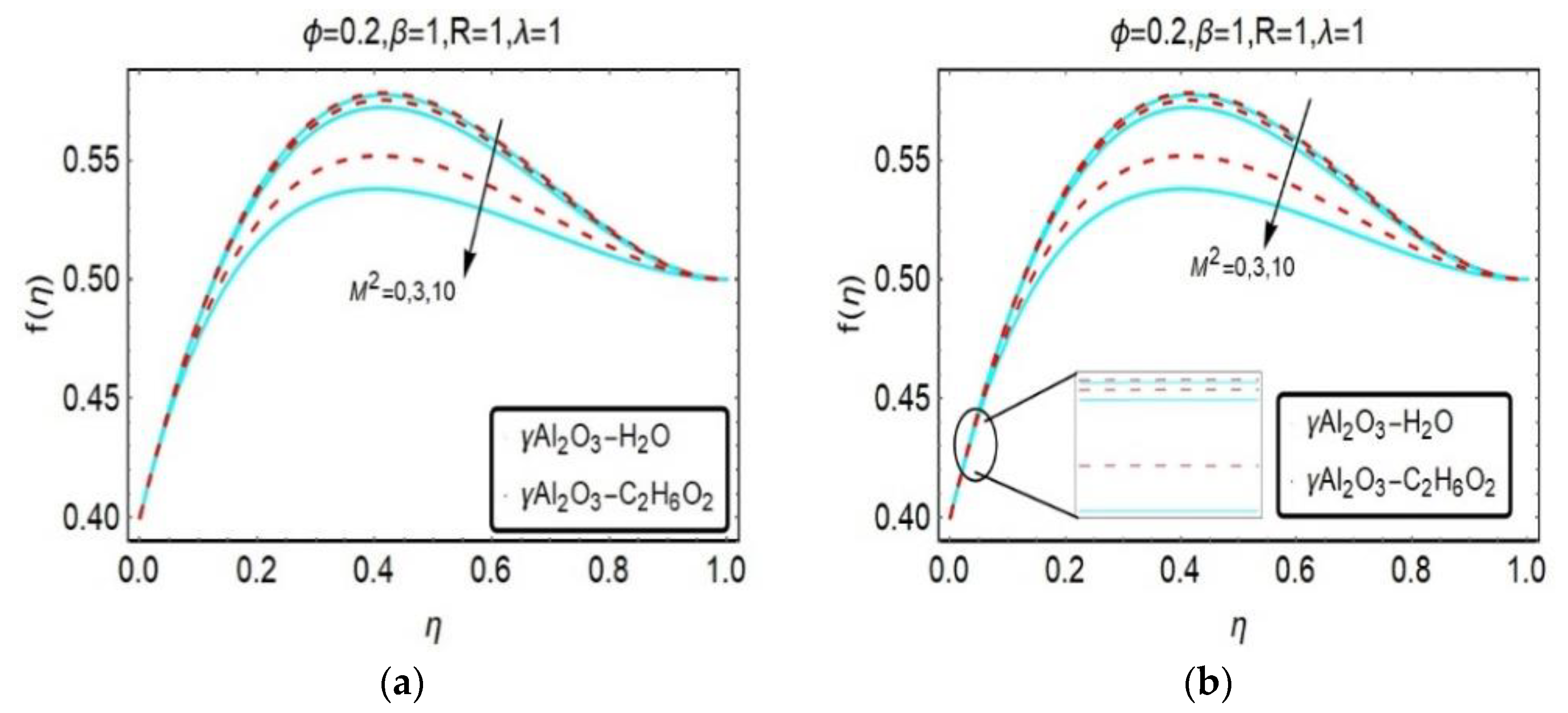
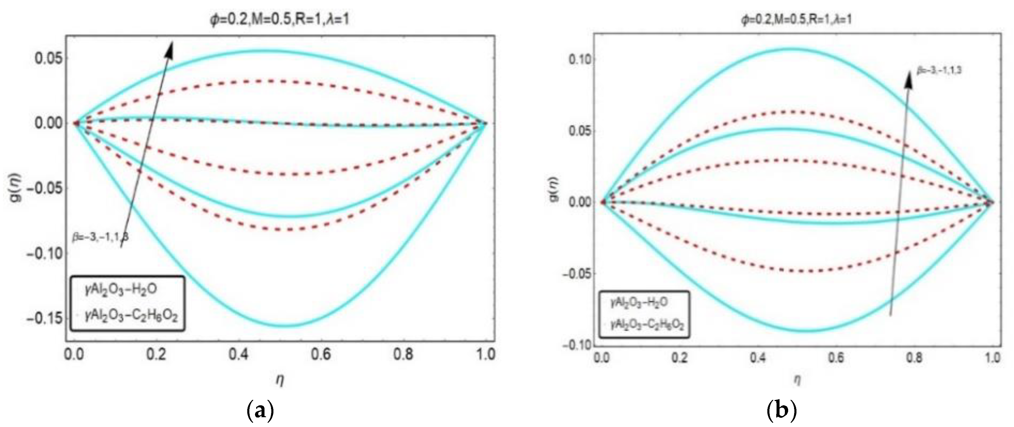
4. Results and Discussions
5. Conclusions
- Enormous values of mixed convection parameter depict a significant effect on the velocity profile.
- Temperature of the nanofluids is larger than the base fluid.
- For rising values of , the skin friction coefficient increases for both the and . While, in the case of higher values of mixed convection parameter , the skin friction coefficient decreases.
- Temperature of the nanofluids is larger than the .
- In the presence of and nanoparticles, temperature profile increases.
- For rising values of , the skin friction coefficient increases for both the and . Meanwhile, in the case of higher values of mixed convection parameter , the skin friction coefficient decreases.
- In the absence of effective Prandtl number, the Nusselt number decreases. Meanwhile, in the presence of effective Prandtl number, the opposite behavior is seen.
- For and , the axial velocity decreases with Hartmann parameter .
Author Contributions
Funding
Acknowledgments
Conflicts of Interest
References
- Stefan, M.J. Versuch uber die scheinbare adhesion. Sitzung Akad Wiss Math Nat. Tech. 1974, 69, 713–721. [Google Scholar]
- Reynolds, O. On the theory of lubrication and its application to Mr. Beauchamp Tower’s experiments, including an experimental determination of the viscosity of olive oil. Philos. Trans. R. Soc. Lond. 1886, 177, 157–234. [Google Scholar]
- Archibald, F.R. Load capacity and time relations for squeeze films. Trans. ASME 1956, 78, 29–35. [Google Scholar]
- Wolfe, W.A. Squeeze film pressures. Appl. Sci. Res. 1965, 14, 77–90. [Google Scholar] [CrossRef]
- Kuzma, D.C. Fluid inertia effects in squeeze films. Appl. Sci. Res. 1968, 18, 15–20. [Google Scholar] [CrossRef]
- Tichy, J.A.; Winer, W.O. Inertial considerations in parallel circular squeeze film bearings. J. Lubr. Technol. 1970, 92, 588–592. [Google Scholar] [CrossRef]
- Grimm, R.J. Squeezing flows of Newtonian liquid films: An analysis includes the fluid inertia. Appl. Sci. Res. 1976, 32, 149–166. [Google Scholar] [CrossRef]
- Wingstrand, S.L.; Alvarez, N.J.; Hassager, O.; Dealy, J.M. Oscillatory squeeze flow for the study of linear viscoelastic behaviour. J. Rheol. 2016, 60. [Google Scholar] [CrossRef]
- Munawar, S.; Mehmood, A.; Ali, A. Three-dimensional squeezing flow in a rotating channel of lower stretching porous wall. Comput. Math. Appl. 2012, 64, 1575–1586. [Google Scholar] [CrossRef]
- Mohyud-Din, S.T.; Khan, S.I.U.; Darus, M.; Hassan, S.M. Unsteady mixed convection squeezing flow of nanofluid between parallel disks. Adv. Mech. Eng. 2016, 8, 1–13. [Google Scholar] [CrossRef]
- Mohyud-Din, S.T.; Khan, S.I.U.; Mohsin, B. Velocity and temperature slip effects on squeezing flow of nanofluid between parallel disks in the presence of mixed convection. Neural Comput. Appl. 2017, 28, 169–182. [Google Scholar] [CrossRef]
- Choi, S.U.S. Enhancing thermal conductivity of fluids with nanoparticle. Dev. Appl. Non-Newton. Flows 1995, 231, 99–105. [Google Scholar]
- Agrawal, P.N.; Mohapatra, R.N.; Singh, U.H.M. Srivastava. In Mathematical Analysis and Its Applications; Springer: Roorkee, India, 2014. [Google Scholar]
- Kaufui, V.W.; Omar, D.L. Applications of Nanofluids: Current and future. Adv. Mech. Eng. 2009. [Google Scholar] [CrossRef]
- Kim, S.J.; Bang, I.C.; Buongiorno, J.; Hu, L.W. Study of pool boiling and critical heat flux enhancement in nanofluids. Bull. Pol. Acad. Sci. Tech. Sci. 2007, 55, 211–216. [Google Scholar]
- Kim, S.J.; Bang, I.C.; Buongiorno, J.; Hu, L.W. Surface wettability change during pool boiling of nanofluids and its effect on critical heat flux. Int. J. Heat Mass Transf. 2007, 50, 4105–4116. [Google Scholar] [CrossRef]
- Freidoonimehr, N.; Rostami, B.; Rashidi, M.M.; Momonia, E. Analytical modelling of three-dimensional squeezing nanofluid flow in a rotating channel on a lower stretching porous wall. Math. Probl. Eng. 2014, 14. [Google Scholar] [CrossRef]
- Sharif, M.A.R. Laminar mixed convection in shallow inclined driven cavities with hot moving lid on top and cooled from bottom. Appl. Therm. Eng. 2007, 27, 1036–1042. [Google Scholar] [CrossRef]
- Tiwari, R.K.; Das, M.K. Heat transfer augmentation in a two-sided lid-driven differentially heated square cavity utilizing nanofluids. Int. J. Heat Mass Transf. 2007, 50, 2002–2018. [Google Scholar] [CrossRef]
- Muthtamilselvan, M.; Kandaswamy, P.; Lee, J. Heat transfer enhancement of Copper-water nanofluids in a lid-driven enclosure. Commun. Nonlinear Sci. Numer. Simul. 2010, 15, 1501–1510. [Google Scholar] [CrossRef]
- Arefmanesh, A.; Mahmoodi, M. Effects of uncertainties of viscosity models for Al2O3–water nanofluid on mixed convection numerical simulations. Int. J. Therm. Sci. 2011, 50, 1706–1719. [Google Scholar] [CrossRef]
- Kandaswamy, P.; Sivasankaran, S.; Nithyadevi, N. Buoyancy-driven convection of water near its density maximum with partially active vertical walls. Int. J. Heat Mass Transf. 2007, 50, 942–948. [Google Scholar] [CrossRef]
- Mahmoodi, M. Mixed convection inside nanofluid filled rectangular enclosures with moving bottom wall. Therm. Sci. 2011, 15, 889–903. [Google Scholar] [CrossRef]
- Sebdani, S.M.; Mahmoodi, M.; Hashemi, S.M. Effect of nanofluid variable properties on mixed convection in a square cavity. Int. J. Therm. Sci. 2012, 52, 112–126. [Google Scholar] [CrossRef]
- Amiri, A.M.; Khanafer, K.M.; Pop, I. Numerical simulation of combined thermal and mass transport in a square lid-driven cavity. Int. J. Therm. Sci. 2007, 46, 662–671. [Google Scholar] [CrossRef]
- Arani, A.A.A.; Abbaszadeh, M.; Ardeshiri1, A. Mixed convection fluid flow and heat transfer and optimal distribution of discrete heat sources location in a cavity filled with nanofluid. Trans. Phenom. Nano-Micro Scales 2019, 5, 30–43. [Google Scholar]
- Mhiri, H.; El Golli, S.; Berthon, A.; Le Palec, G.; Bournot, P. Numerical study of the thermal and aerodynamic insulation of a cavity with a vertical downstream air jet. Int. Commun. Heat Mass Transf. 1998, 25, 919–928. [Google Scholar] [CrossRef]
- Gallo, M.; Astarita, T. PIV measurements in a rotating channel. In Proceedings of the 7th International Symposium on PIV (PIV2007), Rome, Italy, 11–14 September 2007. [Google Scholar]
- Khan, U.; Mohyud-Din, B.; Mohsin, B. Convective heat transfer and thermo-diffusion effects on flow of nanofluid towards a permeable stretching sheet saturated by a porous medium. Aerosp. Sci. Technol. 2016, 50, 196–203. [Google Scholar] [CrossRef]
- Khan, U.; Ahmad, N.; Touseef, S.M.D. Numerical investigation three dimensional squeezing flow of nanofluids in a rotating channel with lower stretching wall suspended by carbon nanotubes. Appl. Therm. Eng. 2017, 113, 1107–1117. [Google Scholar] [CrossRef]
- Rashidi, M.M.; Ganesh, N.V.; Hakeem, A.K.A.; Ganga, B.; Lorenzini, G. Influences of an effective Prandtl number model on nano boundary layer flow of c and over a vertical stretching sheet. Int. J. Heat Mass Transf. 2016, 98, 616–623. [Google Scholar] [CrossRef]
- Mahanthesh, B.; Gorla, R.S.R.; Gireesha, B.J. Mixed convection squeezing three dimensional flow in a rotating channel filled with nanofluid. Int. J. Numer. Methods Heat Fluid Flow 2016, 26, 1460–1485. [Google Scholar] [CrossRef]
- Ahmed, N.; Adnan; Khan, U.; Mohyud-Din, S.T. Influence of an effective prandtl number model on squeezed flow of and nanofluids. J. Mol. Liq. 2017, 238, 447–454. [Google Scholar] [CrossRef]





















| Model | (kg/m3) | (kg−1K−1) | (Wm−1K−1) | ||
|---|---|---|---|---|---|
| 997.1 | 4179 | 0.613 | 0.005 | 6.96 | |
| 1116.6 | 2382 | 0.249 | 5.5 × 10−6 | 204 | |
| 3970 | 765 | 40 | 3.5 ×107 | – |
| R | λ | ||||||
|---|---|---|---|---|---|---|---|
| 1 | 0.5 | 1 | 3 | −21.9385 | −44.9142 | 0.318371 | 0.580722 |
| – | – | – | 2 | −7.74985 | −30.4113 | 0.152864 | 0.427103 |
| – | – | – | 1 | 6.26419 | −16.08 | −0.024544 | 0.262825 |
| – | – | – | 0 | 20.1085 | −1.92094 | −0.215265 | 0.0866754 |
| – | – | – | −1 | 34.5299 | 12.0847 | −0.421818 | −0.102728 |
| – | – | – | −2 | 47.1583 | 25.8305 | −0.643296 | −0.307139 |
| – | – | – | – | 60.444 | 39.4562 | −0.884845 | −0.528295 |
| – | – | 0 | 1 | 6.29071 | −16.0491 | −0.0246038 | 0.262761 |
| – | – | 100 | – | 3.62675 | −19.1475 | −0.0186288 | 0.269122 |
| – | – | 300 | – | −1.77226 | −25.3733 | −0.00669314 | 0.281661 |
| R | λ | ||||||
|---|---|---|---|---|---|---|---|
| 1 | 0.5 | 1 | 3 | −21.9377 | −44.9131 | 0.318366 | 0.580717 |
| 2 | −7.74947 | −30.4106 | 0.15286 | 0.427098 | |||
| 1 | 6.26428 | −16.0801 | −0.0245476 | 0.262821 | |||
| 0 | 20.1129 | −1.92194 | −0.215275 | 0.0866763 | |||
| −1 | 33.6084 | 14.7246 | −0.42067 | −0.0975386 | |||
| −2 | 47.1471 | 25.8336 | −0.643222 | −0.307105 | |||
| −3 | 60.3558 | 39.4142 | −0.884469 | −0.528115 | |||
| 0 | 1 | 6.29071 | −16.0491 | −0.0246038 | 0.262761 | ||
| 100 | 1 | 3.63485 | −19.1493 | −0.0189869 | 0.268752 | ||
| 300 | 1 | −1.75006 | −25.3634 | −0.00777303 | 0.280488 | ||
© 2020 by the authors. Licensee MDPI, Basel, Switzerland. This article is an open access article distributed under the terms and conditions of the Creative Commons Attribution (CC BY) license (http://creativecommons.org/licenses/by/4.0/).
Share and Cite
Khan, S.I.U.; Alzahrani, E.; Khan, U.; Zeb, N.; Zeb, A. On Mixed Convection Squeezing Flow of Nanofluids. Energies 2020, 13, 3138. https://doi.org/10.3390/en13123138
Khan SIU, Alzahrani E, Khan U, Zeb N, Zeb A. On Mixed Convection Squeezing Flow of Nanofluids. Energies. 2020; 13(12):3138. https://doi.org/10.3390/en13123138
Chicago/Turabian StyleKhan, Sheikh Irfan Ullah, Ebraheem Alzahrani, Umar Khan, Noreena Zeb, and Anwar Zeb. 2020. "On Mixed Convection Squeezing Flow of Nanofluids" Energies 13, no. 12: 3138. https://doi.org/10.3390/en13123138
APA StyleKhan, S. I. U., Alzahrani, E., Khan, U., Zeb, N., & Zeb, A. (2020). On Mixed Convection Squeezing Flow of Nanofluids. Energies, 13(12), 3138. https://doi.org/10.3390/en13123138

