Bidirectional Coupling Model of Electromagnetic Field and Thermal Field Applied to the Thermal Analysis of the FSPM Machine
Abstract
1. Introduction
2. Thermal (TH) Properties of Electromagnetic (EM) Materials
2.1. Silicon Steel Sheet
2.1.1. Coefficients of Core Loss Under AC Excitation
2.1.2. Coefficients of Core Loss Considering DC Magnetic Bias
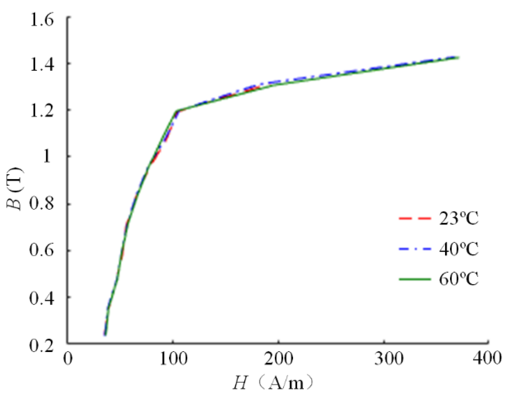
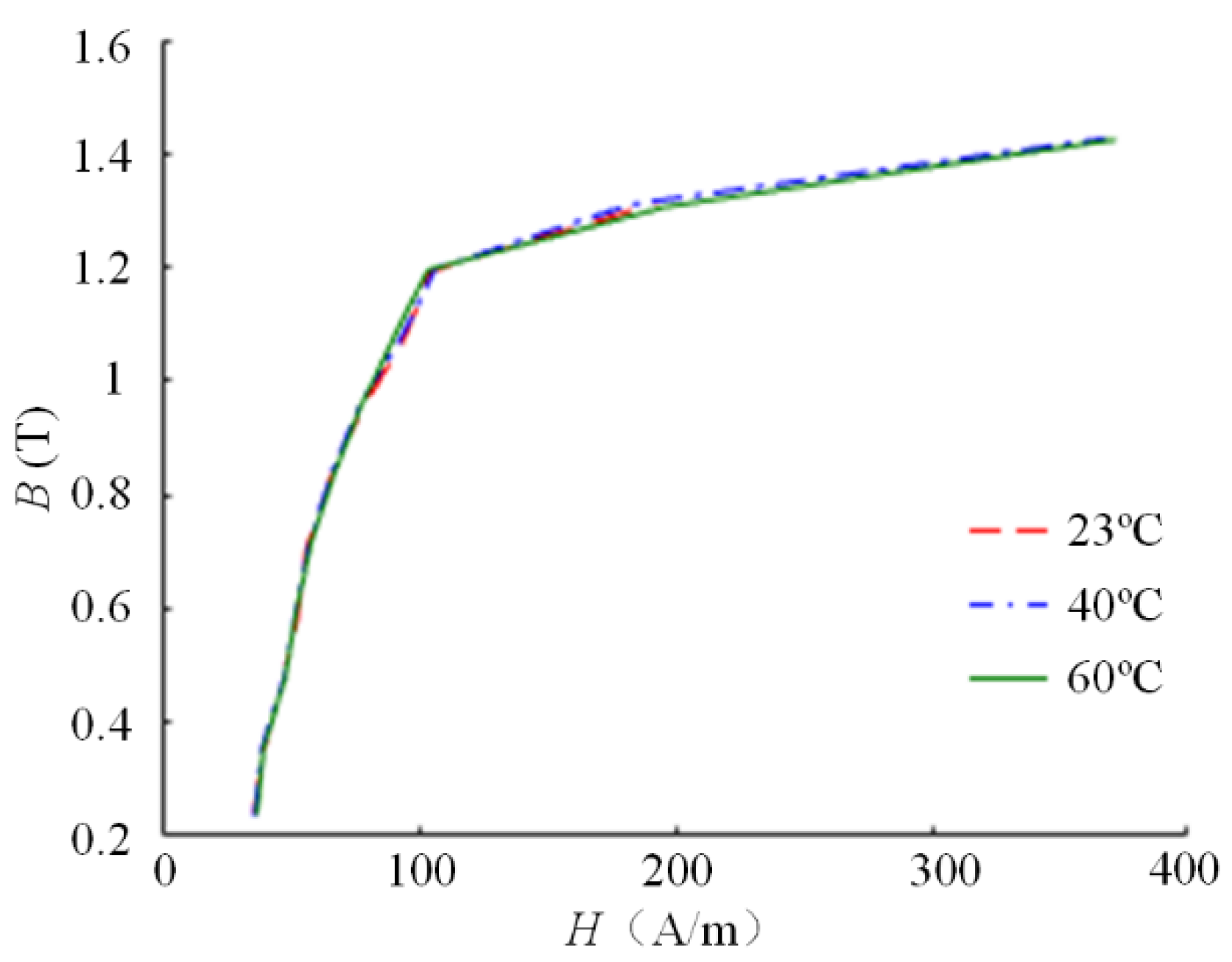
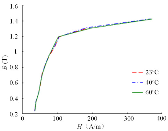
2.1.3. Mathematical Model of Silicon Steel Sheet B–H Curve
2.2. Permanent Magnet
2.3. Copper Windings
2.4. Aluminum Housing
3. Bidirectional Couple between 2D EM Field and 3D TH Field
3.1. EM Field Model
3.2. TH Field Model
3.3. Bidirectional Coupling Model
4. Results Verification
5. Conclusions
Author Contributions
Funding
Conflicts of Interest
References
- Cheng, M.; Hua, W.; Zhang, J.; Zhao, W. Overview of stator-permanent magnet brushless machines. IEEE Trans. Ind. Electron. 2011, 58, 5087–5101. [Google Scholar] [CrossRef]
- Cheng, M.; Zhu, Y. The state of the art of wind energy conversion systems and technologies: A review. Energy Convers Manag. 2014, 88, 332–347. [Google Scholar] [CrossRef]
- Hua, W.; Zhang, G.; Cheng, M. Investigation and design of a high-power flux-switching permanent magnet machine for hybrid electric vehicles. IEEE Trans. Magn. 2015, 51. [Google Scholar] [CrossRef]
- Cheng, M.; Sun, L.; Buja, G.; Song, L. Advanced Electrical Machines and Machine-Based Systems for Electric and Hybrid Vehicles. Energies 2015, 8, 9541–9564. [Google Scholar] [CrossRef]
- Vong, P.; Rodger, D. Coupled electromagnetic-thermal modeling of electrical machines. IEEE Trans. Magn. 2003, 39, 1614–1617. [Google Scholar] [CrossRef]
- Alberti, L.; Bianchi, N. A coupled thermal-electromagnetic analysis for a rapid and accurate prediction of IM performance. IEEE Trans. Ind. Electron. 2008, 55, 3575–3582. [Google Scholar] [CrossRef]
- Marignetti, F.; Colli, V.D.; Coia, Y. Design of axial flux PM synchronous machines through 3-D coupled electromagnetic thermal and fluid-dynamical finite-element analysis. IEEE Trans. Ind. Electron. 2008, 55, 3591–3601. [Google Scholar] [CrossRef]
- Sun, X.; Zhu, S.; Cheng, M.; Zhang, J. Coupled electromagnetic-thermal-mechanical analysis for accurate prediction of dual-mechanical-port machine performance. IEEE Trans. Ind. Appl. 2012, 48, 2240–2248. [Google Scholar] [CrossRef]
- Jiang, W.; Jahns, T.M. Coupled electromagnetic–thermal analysis of electric machines including transient operation based on finite-element techniques. IEEE Trans. Ind. Appl. 2014, 51, 1880–1889. [Google Scholar] [CrossRef]
- Mo, L.; Zhu, X.; Zhang, T.; Quan, L.; Wang, Y.; Huang, J. Temperature rise calculation of a flux-switching permanent-magnet double-rotor machine using electromagnetic-thermal coupling analysis. IEEE Trans. Magn. 2017, 54, 1–4. [Google Scholar] [CrossRef]
- Hu, Y.; Wang, J.; Li, B.; Chen, B.; Cheng, M.; Fan, Y.; Hua, W.; Wang, Q. Bidirectional coupling calculation of electromagnetic field and thermal field for FSPM machine. In Proceedings of the 2020 IEEE International Conference on Industrial Technology (ICIT), Buenos Aires, Argentina, 26–28 February 2020; pp. 139–144. [Google Scholar]
- Zhu, Z.Q.; Xue, S.; Chu, W.; Feng, J.; Guo, S.; Chen, Z.; Peng, J. Evaluation of iron loss models in electrical machines. IEEE Trans. Ind. Appl. 2018, 55, 1461–1472. [Google Scholar] [CrossRef]
- Zhu, S.; Cheng, M.; Dong, J.; Du, J. Core loss analysis and calculation of stator permanent-magnet machine considering DC-biased magnetic induction. IEEE Trans. Ind. Electron. 2014, 61, 5203–5212. [Google Scholar] [CrossRef]
- Cheng, M.; Wang, J.; Zhu, S.; Wang, W. Loss calculation and thermal analysis for nine-phase flux switching permanent magnet machine. IEEE Trans. Energy Convers. 2018, 33, 2133–2142. [Google Scholar] [CrossRef]
- Cai, X.; Cheng, M.; Zhu, S.; Zhang, J. Thermal modeling of flux-switching permanent-magnet machines considering anisotropic conductivity and thermal contact resistance. IEEE Trans. Ind. Electron. 2016, 63, 3355–3365. [Google Scholar] [CrossRef]
- Xue, S.; Feng, J.; Guo, S.; Chen, Z.; Peng, J.; Chu, W.Q.; Huang, L.R.; Zhu, Z.Q. Iron loss model under DC bias flux density considering temperature influence. IEEE Trans. Magn. 2017, 53. [Google Scholar] [CrossRef]
- Zhu, S.; Cheng, M.; Hua, W.; Cai, X.; Tong, M. Finite element analysis of flux-switching PM machine considering oversaturation and irreversible demagnetization. IEEE Trans. Magn. 2015, 51. [Google Scholar] [CrossRef]
- Wang, J.; Ming, C.; Li, B. An accurate and fast pm eddy current loss calculation method for flux switching permanent magnet machine. In Proceedings of the 2018 IEEE Student Conference on Electric Machines and Systems, Huzhou, China, 14–16 December 2018; pp. 1–6. [Google Scholar]

















| Parameters. | Unit | Data |
|---|---|---|
| Outer radius of aluminum housing, RAlo | mm | 140 |
| Outer radius of stator core, Rso | mm | 130 |
| Inner radius of stator core, Rsi | mm | 90.1 |
| Width of stator core, θst | ° | 9.75 |
| Length of pole shoe, lps | mm | 0.8 |
| Angle of pole shoe, θps | ° | 115 |
| Length of air gap, δ | mm | 0.9 |
| Radial length of PM, lPM | mm | 39.1 |
| Circumferential length of PM, wPM | mm | 11.9 |
| Outer diameter of rotor yoke, Rry | mm | 90.1 |
| Inner diameter of rotor, Rri | mm | 50 |
| Width of rotor tooth, θrt | ° | 11.25 |
| Degree of rotor yoke, θry | ° | 13.5 |
| Axial length, L | mm | 55 |
| Rated speed, nr | rpm | 1000 |
| Rated torque, Te | Nm | 107 |
| Number of turns, N | - | 12 |
| Resistance of one phase, Rs | Ω | 0.03 |
| Num. | Copper | PM | Housing | Stator | Rotor |
|---|---|---|---|---|---|
| ita.1 | 54.02 | 73.76 | 51.72 | 73.74 | 51.82 |
| ita.2 | 67.09 | 71.34 | 38.34 | 70.98 | 50.05 |
| ita.3 | 68.416 | 71.15 | 37.54 | 70.98 | 50.05 |
| ita.4 | 68.57 | 71.12 | 37.45 | 70.98 | 50.05 |
| ita.5 | 68.59 | 71.12 | 37.44 | 70.98 | 50.05 |
| Models | Winding | PM | Housing | Stator |
|---|---|---|---|---|
| Steady | 84.77 | 70.28 | 64.2 | 70.17 |
| Transient | 85.67 | 69.17 | 61.19 | 68.83 |
| Experiment | 81.94 | 68.03 | 60.34 | 68.55 |
© 2020 by the authors. Licensee MDPI, Basel, Switzerland. This article is an open access article distributed under the terms and conditions of the Creative Commons Attribution (CC BY) license (http://creativecommons.org/licenses/by/4.0/).
Share and Cite
Wang, J.; Hu, Y.; Cheng, M.; Li, B.; Chen, B. Bidirectional Coupling Model of Electromagnetic Field and Thermal Field Applied to the Thermal Analysis of the FSPM Machine. Energies 2020, 13, 3079. https://doi.org/10.3390/en13123079
Wang J, Hu Y, Cheng M, Li B, Chen B. Bidirectional Coupling Model of Electromagnetic Field and Thermal Field Applied to the Thermal Analysis of the FSPM Machine. Energies. 2020; 13(12):3079. https://doi.org/10.3390/en13123079
Chicago/Turabian StyleWang, Jingxia, Yusheng Hu, Ming Cheng, Biao Li, and Bin Chen. 2020. "Bidirectional Coupling Model of Electromagnetic Field and Thermal Field Applied to the Thermal Analysis of the FSPM Machine" Energies 13, no. 12: 3079. https://doi.org/10.3390/en13123079
APA StyleWang, J., Hu, Y., Cheng, M., Li, B., & Chen, B. (2020). Bidirectional Coupling Model of Electromagnetic Field and Thermal Field Applied to the Thermal Analysis of the FSPM Machine. Energies, 13(12), 3079. https://doi.org/10.3390/en13123079

