Equivalent Phase Current Harmonic Elimination in Quadruple Three-Phase Drives Based on Carrier Phase Shift Method
Abstract
1. Introduction
2. Double Fourier Integral Analysis Method of Pulse Width Modulation
3. Modelling of Equivalent Current Harmonics in Multi Three-Phase Drives
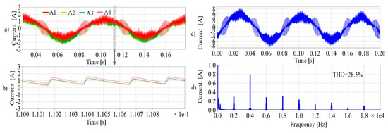
4. Experimental Results
5. Conclusions
- (1)
- The phase-shifted CPWM can be applied into arbitrary multi three-phase drives.
- (2)
- The implementation of the proposed method is simple by changing the initial phase angles of carrier signals in the software.
- (3)
- Compared with previous research works targeted at torque ripple reduction, this work aims to reduce the total equivalent phase current harmonics, which makes the analytical models much easier. Additionally, the elimination of total equivalent phase current harmonics will result in significant machine performance improvement in terms of torque, vibration and noise.
Author Contributions
Funding
Conflicts of Interest
Nomenclature
| Converter dc-link voltage | |
| Modulation index. | |
| , | Frequencies of the modulating and the carrier signals respectively. |
| , | Initial phase angles of the modulating and the carrier signals respectively. |
| , y | Time-varying angle of the carrier and the modulating signals respectively |
| Bessel function | |
| Switching frequency | |
| The hth harmonic impedance |
References
- Levi, E.; Bojoi, R.; Profumo, F.; Toliyat, H.A.; Williamson, S. Multiphase induction motor drives – a technology status review. IET Electr. Power Appl. 2007, 1, 485–516. [Google Scholar] [CrossRef]
- Baneira, F.; Yepes, A.G.; Lopez, O.; Doval-Gandoy, J. Estimation Method of Stator Winding Temperature for Dual Three-Phase Machines Based on DC-Signal Injection. IEEE Trans. Power Electron. 2016, 31, 5141–5148. [Google Scholar] [CrossRef]
- Abdel-Khalik, A.S.; Masoud, M.I.; Williams, B.W. Improved flux pattern with third harmonic injection for multiphase induction machines. IEEE Trans. Power Electron. 2012, 27, 1563–1578. [Google Scholar] [CrossRef]
- Valente, G.; Formentini, A.; Papini, L.; Gerada, C.; Zanchetta, P. Performance Improvement of Bearingless Multisector PMSM With Optimal Robust Position Control. IEEE Trans. Power Electron. 2019, 34, 3575–3585. [Google Scholar] [CrossRef]
- Dai, J.; Nam, S.W.; Pande, M.; Esmaeili, G. Medium-voltage current-source converter drives for marine propulsion system using a dual-winding synchronous machine. IEEE Trans. Ind. Appl. 2014, 50, 3971–3976. [Google Scholar] [CrossRef]
- Bennett, J.W.; Atkinson, G.J.; Mecrow, B.C.; Atkinson, D.J. Fault-tolerant design considerations and control strategies for aerospace drives. IEEE Trans. Ind. Electron. 2012, 59, 2049–2058. [Google Scholar] [CrossRef]
- Barrero, F.; Duran, M.J. Recent Advances in the Design, Modeling, and Control of Multiphase Machines—Part II. IEEE Trans. Ind. Electron. 2016, 63, 459–468. [Google Scholar] [CrossRef]
- Lopez, O.; Alvarez, J.; Doval-Gandoy, J.; Freijedo, F.D. Multilevel Multiphase Space Vector PWM Algorithm With Switching State Redundancy. IEEE Trans. Ind. Electron. 2009, 56, 792–804. [Google Scholar] [CrossRef]
- Levi, E.; Satiawan, I.N.W.; Bodo, N.; Jones, M. A space-vector modulation scheme for multilevel open-end winding five-phase drives. IEEE Trans. Energy Convers. 2012, 27, 1–10. [Google Scholar] [CrossRef]
- Carrasco, G.; Silva, C.A. Space vector PWM method for five-phase two-level VSI with minimum harmonic injection in the overmodulation region. IEEE Trans. Ind. Electron. 2013, 60, 2042–2053. [Google Scholar] [CrossRef]
- Ahmed, S.M.; Abu-Rub, H.; Salam, Z. Common-mode voltage elimination in a three-to-five-phase dual matrix converter feeding a five-phase open-end drive using space-vector modulation technique. IEEE Trans. Ind. Electron. 2015, 62, 6051–6063. [Google Scholar] [CrossRef]
- Bodo, N.; Levi, E.; Jones, M. Investigation of carrier-based PWM techniques for a five-phase open-end winding drive topology. IEEE Trans. Ind. Electron. 2013, 60, 2054–2065. [Google Scholar] [CrossRef]
- Yazdani, D.; Ali Khajehoddin, S.; Bakhshai, A.; Joós, G. Full Utilization of the Inverter in Split-Phase Drives by Means of a Dual Three-Phase Space Vector Classification Algorithm. IEEE Trans. Ind. Electron. 2009, 56, 120–129. [Google Scholar] [CrossRef]
- Ren, Y.; Zhu, Z.Q. Enhancement of steady-state performance in direct-torque-controlled dual three-phase permanent-magnet synchronous machine drives with modified switching table. IEEE Trans. Ind. Electron. 2015, 62, 3338–3350. [Google Scholar] [CrossRef]
- Patel, V.I.; Wang, J.; Wang, W.; Chen, X. Six-phase fractional-slot-per-pole-per-phase permanent-magnet machines with low space harmonics for electric vehicle application. IEEE Trans. Ind. Appl. 2014, 50, 2554–2563. [Google Scholar] [CrossRef]
- Sala, G.; Girardini, P.; Mengoni, M.; Zarri, L.; Tani, A.; Serra, G. Comparison of fault tolerant control techniques for quadruple three-phase induction machines under open-circuit fault. In Proceedings of the 2017 IEEE 11th International Symposium on Diagnostics for Electrical Machines, Power Electronics and Drives (SDEMPED), Tinos, Greece, 29 August–1 September 2017; pp. 213–219. [Google Scholar] [CrossRef]
- Calzo, G.L.; Zanchetta, P.; Gerada, C.; Gaeta, A.; Crescimbini, F. Converter topologies comparison for more electric aircrafts high speed Starter/Generator application. In Proceedings of the 2015 IEEE Energy Conversion Congress and Exposition (ECCE), Montreal, QC, Canada, 20–24 September 2015; pp. 3659–3666. [Google Scholar] [CrossRef]
- Calzo, G.L.; Zanchetta, P.; Gerada, C.; Lidozzi, A.; Degano, M.; Crescimbini, F.; Solero, L. Performance evaluation of converter topologies for high speed Starter/Generator in aircraft applications. In Proceedings of the IECON 2014 40th Annual Conference of the IEEE Industrial Electronics Society, Dallas, TX, USA, 29 October–1 November 2014; pp. 1707–1712. [Google Scholar] [CrossRef]
- Holmes, D.G.; Lipo, T.A. Pulse Width Modulation for Power Converters: Principles and Practice; Wiley: Hoboken, NJ, USA, 2003; ISBN 9780470546284. [Google Scholar]
- Levi, E.; Dujic, D.; Jones, M.; Grandi, G. Analytical Determination of DC-Bus Utilization Limits in Multiphase VSI Supplied AC Drives. IEEE Trans. Energy Convers. 2008, 23, 433–443. [Google Scholar] [CrossRef]
- Ryu, H.-M.; Kim, J.-H.; Sul, S.-K. Analysis of multiphase space vector pulse-width modulation based on multiple d-q spaces concept. IEEE Trans. Power Electron. 2005, 20, 1364–1371. [Google Scholar] [CrossRef]
- Hammond, P.W. A new approach to enhance power quality for medium voltage AC drives. IEEE Trans. Ind. Appl. 1997, 33, 202–208. [Google Scholar] [CrossRef]
- Fan, B.; Wang, K.; Zheng, Z.; Xu, L.; Li, Y. A new modulation method for a five-level hybrid-clamped inverter with reduced flying capacitor size. In Proceedings of the 2017 IEEE Energy Conversion Congress and Exposition (ECCE), Cincinnati, OH, USA, 1–5 October 2017; pp. 5262–5266. [Google Scholar] [CrossRef]
- Wang, X.; Sala, G.; Zhang, H.; Gu, C.; Buticchi, G.; Formentini, A.; Gerada, C.; Wheeler, P. Torque Ripple Reduction in Sectored Multi Three-Phase Machines Based on PWM Carrier Phase Shift. IEEE Trans. Ind. Electron. 2020, 67, 4315–4325. [Google Scholar] [CrossRef]
- Wang, X.; Yan, H.; Sala, G.; Buticchi, G.; Gu, C.; Zhao, W.; Xu, L.; Zhang, H. Selective Torque Harmonic Elimination for Dual Three-phase PMSMs Based on PWM Carrier Phase Shift. IEEE Trans. Power Electron. 2020, 1. [Google Scholar] [CrossRef]
- Valente, G.; Papini, L.; Formentini, A.; Gerada, C. Radial Force Control of Multi-Sector Permanent Magnet Machines for Vibration Suppression. IEEE Trans. Ind. Electron. 2018, 65, 5395–5405. [Google Scholar] [CrossRef]
- Pan, Z.; Bkayrat, R.A. Modular motor/converter system topology with redundancy for high-speed, high-power motor applications. IEEE Trans. Power Electron. 2010, 25, 408–416. [Google Scholar] [CrossRef]
- Liu, Z.; Zheng, Z.; Sudhoff, S.D.; Gu, C.; Li, Y. Reduction of Common-Mode Voltage in Multiphase Two-Level Inverters Using SPWM with Phase-Shifted Carriers. IEEE Trans. Power Electron. 2016, 31, 6631–6645. [Google Scholar] [CrossRef]






| Parameter | Value |
|---|---|
| Direct current (DC) link voltage () | 40 V |
| Switching frequency () | 2 kHz |
| Machine pole pair number | 4 |
| Load torque | 3 Nm |
| Machine mechanical speed | 200 rpm |
© 2020 by the authors. Licensee MDPI, Basel, Switzerland. This article is an open access article distributed under the terms and conditions of the Creative Commons Attribution (CC BY) license (http://creativecommons.org/licenses/by/4.0/).
Share and Cite
Wang, X.; Yan, H.; Buticchi, G.; Gu, C.; Zhang, H. Equivalent Phase Current Harmonic Elimination in Quadruple Three-Phase Drives Based on Carrier Phase Shift Method. Energies 2020, 13, 2709. https://doi.org/10.3390/en13112709
Wang X, Yan H, Buticchi G, Gu C, Zhang H. Equivalent Phase Current Harmonic Elimination in Quadruple Three-Phase Drives Based on Carrier Phase Shift Method. Energies. 2020; 13(11):2709. https://doi.org/10.3390/en13112709
Chicago/Turabian StyleWang, Xuchen, Hao Yan, Giampaolo Buticchi, Chunyang Gu, and He Zhang. 2020. "Equivalent Phase Current Harmonic Elimination in Quadruple Three-Phase Drives Based on Carrier Phase Shift Method" Energies 13, no. 11: 2709. https://doi.org/10.3390/en13112709
APA StyleWang, X., Yan, H., Buticchi, G., Gu, C., & Zhang, H. (2020). Equivalent Phase Current Harmonic Elimination in Quadruple Three-Phase Drives Based on Carrier Phase Shift Method. Energies, 13(11), 2709. https://doi.org/10.3390/en13112709

