Next Article in Journal
The Environmental Kuznets Curve and the Energy Mix: A Structural Estimation
Next Article in Special Issue
Water Adsorption Effect on Carbon Molecular Sieve Membranes in H2-CH4 Mixture at High Pressure
Previous Article in Journal
Renewable Energy Utilization Analysis of Highly and Newly Industrialized Countries Using an Undesirable Output Model
Previous Article in Special Issue
Power to Hydrogen Through Polygeneration Systems Based on Solid Oxide Cell Systems
 
 
Font Type:
Arial Georgia Verdana
Font Size:
Aa Aa Aa
Line Spacing:
Column Width:
Background:
Article

Modeling of Laboratory Steam Methane Reforming and CO2 Methanation Reactors

1
Department of Chemistry and Industrial Chemistry, University of Genova, via Dodecaneso 31, I-16146 Genova, Italy
2
Department of Civil, Chemical and Environmental Engineering, Chemical Engineering Pole, University of Genova, via Opera Pia 15, I-16145 Genova, Italy
3
INSTM, UdR Genova, via Dodecaneso 31, I-16146 Genova, Italy
*
Authors to whom correspondence should be addressed.
Energies 2020, 13(10), 2624; https://doi.org/10.3390/en13102624
Submission received: 27 February 2020 / Revised: 8 May 2020 / Accepted: 17 May 2020 / Published: 21 May 2020
(This article belongs to the Special Issue Advances in Hydrogen Production and Hydrogen Separation)

Abstract

To support the interpretation of the experimental results obtained from two laboratory-scale reactors, one working in the steam methane reforming (SMR) mode, and the other in the CO2 hydrogenation (MCO2) mode, a steady-state pseudo-homogeneous 1D non-isothermal packed-bed reactor model is developed, embedding the classical Xu and Froment local kinetics. The laboratory reactors are operated with three different catalysts, two commercial and one homemade. The simulation model makes it possible to identify and account for thermal effects occurring inside the catalytic zone of the reactor and along the exit line. The model is intended to guide the development of small size SMR and MCO2 reactors in the context of Power-to-X (P2X) studies.

Graphical Abstract

1. Introduction

Hydrogen is mostly produced today through steam reforming of natural gas [1,2]. The main reaction is assumed to be represented by steam methane reforming (SMR), an endothermic equilibrium reaction:
CH4 + H2O ⇆ CO + 3 H2  ΔH298 = +206.63 kJ/mol
Establishing together with the water gas shift (WGS) equilibrium:
CO + H2O ⇆ CO2 + H2   ΔH298 = −41.16 kJ/mol
Resulting, at least formally, in a formal “global reforming reaction” (GRR):
CH4 + 2 H2O ⇆ CO2 + 4 H2  ΔH298 = +165.47 kJ/mol
Thus producing a “syngas” containing H2, CO, CO2 and unreacted CH4.
Large size SMR reactors for hydrogen production from methane are well known and widely applied on an industrial scale. On the other hand, hydrogen is now also at the cutting edge of research in the so-called Power-to-X (P2X) framework. P2X studies, where X represents an unknown, are in progress in order to identify the best options to store or use electrical power, often produced by renewable sources, exceeding the electrical grid demand. One option currently under investigation is to generate hydrogen through water electrolysis. Subsequently, hydrogen can be employed in a methanation reaction, to produce methane to be fed into the natural gas distribution pipeline. Methanation reaction consists of the synthesis of methane from hydrogenation of COx. Formally, methanation of carbon monoxide (MCO) is the reverse of SMR (MCO = revSMR):
CO + 3 H2 ⇆ CH4 + H2O  ΔH298 = −206.63 kJ/mol
While methanation of CO2 (MCO2) is formally the reverse of GRR (MCO2 = revGRR):
CO2 + 4 H2 ⇆ CH4 + 2 H2O  ΔH298 = −165.47 kJ/mol
The MCO2 reaction could result from the previous conversion of CO2 into CO with a reverse water gas shift (revWGS):
CO2 + H2 ⇆ CO + H2O   ΔH298 = +41.16 kJ/mol
Followed by MCO.
P2X studies, and, more in general, all the studies about new energy scenarios where the use of hydrogen is introduced as a medium for decarbonization, are drawing increasing attention towards SMR and MCO2 chemical reactors. For example, in a recent work [3], a scheme was proposed, where a reversible solid oxide fuel cell (SOFC) is coupled to SMR and MCO2 reactors, aiming at electrical grid stabilization. It must be pointed out that many of these advanced energy scenario studies address distributed generation, where the size of the SMR and MCO2 reactors is much smaller than the typical size of industrial SMR reactors. Just to give an example of the size of typical industrial SMR reactors applied in refineries, for 1 Mt/y of crude refining capacity, about 1 t/h of hydrogen is necessary, which requires about 25 tubes (typical dimensions 13 m length and 0.1 m diameter) to be produced through traditional multi-tubular SMR reactors. On the other hand, an example of a small size SMR tubular reactor to be embedded into a solid oxide fuel cell (SOFC) system is reported in [4], with the catalytic section featuring 0.4 m in length and 0.125 m in diameter.
In this context, as a first step for the optimized design of small-scale reactors for advanced energy scenario applications, two laboratory reactors are set up, one for SMR and the other for MCO2. Three different catalysts are employed and tested, two commercial and one homemade. The materials used in the laboratory plant are chosen as similar as possible to the materials to be used in small-scale reactors, and in particular typical stainless-steel piping is employed.
In parallel, a simulation model is developed, to be used as the basis to guide the future scale-up steps. The model is 1D and pseudo-homogeneous and includes mass and energy local balances. For local kinetics, the model proposed by Xu and Froment [5] is implemented, based on the assumption that the SMR, WGS and GRR reactions are reversible and can proceed simultaneously. The model is used to analyze the behavior of the laboratory reactors in detail. Indeed, from a review of the models developed in the literature for methanation reactors [6] and for SMR reactors [7,8,9], it emerges that pseudo-homogeneous models with isothermal temperature profiles are often employed for the simulation of laboratory reactors, with the purpose of identifying the correct kinetic model and/or the kinetic parameters of the selected kinetic model. On the other hand, more detailed heterogeneous models with thorough evaluation of 1D or 2D concentration and temperature profiles inside the individual catalyst particles, and in the solid and gas phase along the full-size reactor, are employed for a large scale industrial reactor design and deployment [6,10,11,12,13,14,15,16]. In this work, a model is proposed for a laboratory scale reactor, where the hypothesis of pseudo-homogeneous behavior is retained (due to the small size of the catalyst particles), but thermal effects along the reactor are analyzed in more detail by including the local energy balance. In this way, 1D temperature profiles along the laboratory reactor are evaluated, and it is found that, under relevant experimental conditions, temperature profiles can easily deviate from uniformity, due to the high enthalpy change of the reaction. Furthermore, possible development of the WGS reaction in the discharge piping is investigated, which often takes place [17,18,19]. In this contribution, instead of attempting to minimize all the temperature-related effects described above at the experimental level, it is proposed to include them in the simulation model.

2. Experimental

2.1. Materials

In this paper, an investigation of two commercial and one homemade catalyst is reported. Commercial Johnson Matthey (JM) Katalco 57-4Q and 25-4Q quadrilobe SMR catalysts were used, after gentle grinding. According to the literature [20,21,22], the 57-4Q catalyst contains 13 wt % Ni on calcium aluminate cement, probably with a Ca:Al ratio of about 1:5 [23]. The surface area was 29 m2 g−1. The 25-4Q catalyst was a slightly alkalized version, doped with small amounts (1.8 wt %) of K2O [20]. The preparation of the homemade catalysts with a 26 wt % nickel loading is reported in Section 2.2.—Homemade Catalyst Preparation.

2.2. Homemade Catalyst Preparation

A “homemade methanation catalyst” (HMMC) was prepared and used as a reference, where Siralox 5/170 (5 wt % SiO2 and 95 wt % Al2O3) was used as the support after calcination at 1073 K for 5 h. Nickel was then deposited through wet impregnation of an aqueous solution of Ni(NO3)2∙6H2O by achieving the desired Ni loading (26 wt % as wtNi × 100/wtcatalyst). The resulting powder was dried at 363 K for 5 h and calcined at 1073 K for 5 h. The composition of this catalyst was comparable both with those of pre-reforming catalysts [20,24] and of commercial COx methanation catalyst. The resulting catalyst had a surface area of 80 m2/g, and the XRD analysis shows the feature of a nearly cubic spinel of NiO. Extensive characterization data of this catalytic material were reported previously [25].

2.3. Laboratory Reactors

The MCO2 and the SMR experiments were performed in two different laboratory scale fixed-bed catalytic tubular reactors [26], respectively. The geometry was the same in both cases (Figure 1), whereas the dimensions of the two reactors were different (main data in Table 1).
In the MCO2 experimental reactor, the reactor tube was made of silica glass. The catalytic packed bed (indicated as PBR, packed bed reactor, in Figure 1) was 26 mm long, and was formed by 88.2 mg of Ni-based catalyst, crushed into particles of about 0.2 mm size and dispersed with 700 mg of silica glass particles of 0.21–0.25 mm size (corresponding to 60–70 mesh sieved). The catalytic bed was held in position by two holders made of quartz wool (H), about 5 mm long. Downstream, the gaseous reactants flow through the empty silica glass tube. This section was denominated post-reactor 1 (P-R1), and it was about 150 mm long. The silica glass tube, containing the PBR, was placed inside a tubular electric furnace with controlled temperature. At the exit of P-R1, the silica glass tube was connected to an empty stainless-steel pipe (AISI 316L, typical composition code 18/8/3, indicating 18 wt % Cr, 8 wt % Ni and 3 wt % Mo), denominated post-reactor 2 (P-R2). The P-R2, 300 mm long, was directly exposed to the ambient temperature. At the exit of P-R2 the gaseous mixture was sampled for analysis.
The SMR experimental reactor had a similar configuration, and was based on a silica glass tube containing a catalytic bed (PBR) consisting of 88.2 mg of Ni-based catalyst, crushed into particles of about 0.2 mm size, and dispersed with 440 mg of silica glass particles of 0.21–0.25 mm size. Here, the PBR was 12 mm long and, again, was held in position by two holders made of quartz wool (H), about 5 mm long. Downstream, the empty silica glass tube (P-R1) was 50 mm long. The silica glass tube, containing the PBR, was placed inside a tubular furnace with controlled temperature. P-R2 was present again (AISI 316L), 40 mm long, where the temperature was maintained at approximately 523 K using a heating ribbon. At the exit of P-R2, the gaseous mixture was sampled for analysis.
For all the tubes employed and described above, the internal diameter d was 6 mm and the tube wall thickness s was 1 mm.

2.4. Catalytic Experiments

All catalytic experiments were performed under steady state conditions.
The MCO2 experiments were performed with feed gas composition: 6.1% CO2, 29.8% H2, N2 balance, with 81.6 mL min−1 total flow rate (at RTP, reference temperature and pressure of 273.15 K and 101.325 kPa respectively), corresponding to 6.7 × 103 h−1 gas hourly space velocity (GHSV) calculated (at RTP) on the basis of the volume of the catalytic section (PBR) of the reactor. Online-product analysis was performed through a Nicolet 6700 FT-IR spectrometer. A water condensation step was set before the IR cell. Quantitative results were obtained after a careful calibration, by looking at the frequencies 2293 cm−1 for CO2, 2170 cm−1 for CO and 1333 cm−1 for CH4.
For the SMR experiments, the feed gas composition was 5% CH4, 20% H2O and He balance. Two total flow rates were experimented: 120 mL/min (at RTP), corresponding to GHSV = 2.1 × 104 h−1 (at RTP) calculated on the basis of the volume of the catalytic section (PBR) of the reactor, and 80 mL/min (at RTP) corresponding to GHSV = 1.4 × 104 h−1 (at RTP). An Agilent 4890 gas-chromatograph, equipped with a “Molsieve 5A/Porabond Q Tandem” column and TCD and FID detectors in series, was used for gas analysis. Moreover, GC/MS (FOCUS and ISQ from Thermo-Fisher) analysis was carried out in order to have a precise identification of the compounds. The catalytic line used in the experiments is schematized in Figure 2.

3. Modeling

Each laboratory reactor was simulated as a sequence of three tubular reactors: the PBR, P-R1 and P-R2. The holders (H) were not simulated. The models developed for the three tubular sections are reported and discussed below.

3.1. PBR Model

A PBR is an extremely complex random geometrical arrangement. PBR models have been developed with different degrees of detail, depending on the desired accuracy, the available information on the packed bed and the required computational efforts. Systematic reviews are given by Lemcoff et al. [27], and by Koning [28]. Among the models, the pseudo-homogeneous ones have obtained extensive application, due to their convenient mathematical formulation. In particular, when dealing with the simulation of steady-state reactors at conditions not too close to run-away, the one-dimensional pseudo-homogeneous plug-flow model is generally considered adequate [29], so it is adopted in this work. The fixed-bed catalytic reactor is simulated as one-dimensional along the reactor axis, and as a pseudo-continuum, where the solid and fluid phases are considered as interpenetrating continua, i.e., as if they coexist all over the tube. The essential feature differentiating pseudo-homogeneous from heterogeneous models [30] is that the former models do not include a detailed simulation of mass and energy transport inside the catalytic particle (internal transport limitations) or in the boundary layer around the catalytic particles (external transport limitations). In other words, temperature and concentration profiles in the catalytic particles are assumed to be uniform, with values identical to those in the bulk of the reacting fluid, which is consistent with the assumption of an effectiveness factor η equal to 1. Conversely, internal and/or external transport limitations are accounted for in heterogeneous models.
Per se, the use of small size laboratory reactors does not guarantee that the effectiveness factors are unity [31]. Instead, intraparticle transport limitations are primarily influenced by the catalyst particle size, while external transport limitations are primarily influenced by the fluid flow velocity. In this work, due to the small size of the catalyst particles employed in the experiments, the generalized Thiele modulus [29] is <1, and thus intraporous mass and energy transport resistances are neglected [29], i.e., the effectiveness factor η is assumed equal to 1 for all the reactions involved, as already reported for similar catalysts and reacting systems [5,32,33,34]. External transport limitations are also neglected [34].
The model is based on local steady-state mass and energy balances coupled to a local kinetics model.

3.1.1. Local Balance Equation

Based on the evaluation of the axial mass and heat Pe numbers (Section 3.1.3.—Evaluation of Pe), axial dispersion is neglected. The mass balance reads as follows [26]:
d F i d V = r i = j ν i j r j
where V is the reactor volume, and rj is the kinetics of the jth reaction.
In the energy balance, the temperatures of gas and solid are assumed to be the same, and effective heat transport properties lump all the many heat-transfer processes. The energy balance includes the convective term of gas temperature variation along the reactor axial coordinate, the enthalpy variation of the reactions, and the heat transfer between the furnace and the PBR [26]:
i F i c P i d T d V = j ( Δ H j ) r j + U a ( T f u r n a c e T )
where cpi is the specific heat of the ith component, T is temperature, Tfurnace is the furnace temperature, ΔHj is the enthalpy variation of reaction j, U is the global heat transfer coefficient and a is the ratio between tube external surface and volume:
a = 4/d
The mass and energy balances form a system of coupled ordinary differential equations (ODEs). Boundary conditions are composition, temperature and flow rate of the gaseous mixture at the PBR inlet. The temperature of the gaseous mixture at the reactor inlet is assumed to be equal to the furnace temperature.

3.1.2. Heat Transport Properties

The local energy balance Equation (8) is a one-dimensional model of the axial temperature profile including radial heat transfer, calculated on the basis of a single overall heat transfer coefficient U. Previous works [35,36] adopting a similar approach, pointed out that U must be calculated considering all the radial heat transfer phenomena, which, in our case, consist of three mechanisms in series: (i) convection inside the tube, (ii) conduction in the reactor wall and (iii) radiation between the furnace and the reactor tube. Radiation is considered as ideal, i.e., the external tube wall temperature is assumed identical to the furnace temperature. Thus, only the heat transfer phenomena (i) and (ii) are considered, and their resistances are lumped in one single parameter, i.e., the overall heat transfer coefficient U, which is defined as [37]:
U = ( 1 h + s k w ) 1
where h is the convective heat exchange coefficient inside the tube, kw is the thermal conductivity of the tube wall, and s is its thickness. In turn, the convective heat exchange coefficient h depends on the fluid (gas) chemical–physical and transport properties, and also on the flow pattern (i.e., laminar or turbulent). The Nusselt (Nu), Reynolds (Re) and Prandtl (Pr) dimensionless numbers are defined as follows [38,39]:
R e =   ρ f · u s · L μ f
P r = c P f · μ f k r
N u = h · L k r
where ρf is the gas density, us is the superficial velocity, μf is the dynamic viscosity, cPf is the gas specific heat, kr is the effective radial thermal conductivity of the packed bed and h is the convective heat exchange coefficient. L is a characteristic dimension, which, in PBRs, is the catalyst-particle diameter. The effective radial thermal conductivity kr was evaluated considering heat conduction within the fluid, between the fluid and the solid catalyst particles, and among the solid particles. The literature correlation proposed by Zehner and Schlünder [40,41] was adopted:
k r = k f · { ( 1 1 ε ) + 2 1 ε 1 B κ 1 [ B ( 1 κ 1 ) ( 1 B κ 1 ) 2 ln ( κ B ) B 1 1 B κ 1 B 1 2 ] }
where kf is the fluid (gas) thermal conductivity, ε is the bed void degree (assumed as 0.4 [42]), k is the ratio between solid and gas thermal conductivities (ks/kf) and B is a parameter defined, for a bed of spheres, as follows:
B = 1.25 ( 1 ε ε ) 1.11
The thermal conductivity of the gaseous mixture kf is calculated as the molar weighted average of the single components thermal conductivities [40]. Since the packed bed is formed by crushed catalyst highly dispersed in silica glass (Section 2.3.—Laboratory Reactors), the solid thermal conductivity ks was approximated to the value of the silica glass thermal conductivity. Additionally, the tube wall was in silica glass, and thus kw = ks = 1.6 W m−1 K−1 (from [43]).
Several correlations are proposed in the literature to evaluate Nu as a function of Re and Pr [44,45,46,47,48,49,50,51]. In this work, the correlation proposed by Singhal et al. [51] was adopted:
N u = 2.67 + 0.53 · R e 0.77 · P r 0.53
Singhal et al. [51] developed Equation (16) fitting the results of numerical simulations of heat transfer in packed beds of spherical particles. Equation (16) does not include any void fraction dependency since there is a little variability in the void fraction of realistic packings of monodisperse spheres [52]. Furthermore, the limiting behavior for Re → 0 is demonstrated to be physically sound [52].

3.1.3. Evaluation of Pe

The calculation of the axial mass Péclet number Pem,ax is based on the evaluation of the expression [53]:
P e m , a x = u s · l ε · D a x
where l is the PBR length, and Dax is the axial mass diffusivity. Since the evaluation of Dax is not straightforwardly related to molecular diffusivity, and only a limited number of experimental investigations are reported in the literature [52], Gunn [54] developed a simple correlation between Pem,ax and Pemol, where Pemol is the Pe number evaluated from Equation (17) in which Dax is substituted with the molecular diffusivity Dmol. The axial mass Péclet number was obtained from [55]:
P e m , a x = ( 1 τ · 1 P e m o l + 1 2 ) 1 .
where the tortuosity τ was determined using the theoretical model of Lanfrey et al. [55]:
τ = ε ( 1 ε ) 4 / 3
The evaluation of Pem,ax for the reactors under consideration in this work gives Pem,ax ≅ 2. According to [29,56,57], this value indicates that a regime is established where convective mass transport is dominating over axial dispersion, which justifies the assumption of neglecting the axial dispersion term in the mass balances (Equation (7)).
The calculation of the axial thermal Péclet number Peth,ax is based on the evaluation of [40]:
Peth,ax = ReaxPrax
where Reax and Prax are the Reynolds and Prandtl numbers evaluated in the axial direction (Equations (11) and (12), where the characteristic length L is the tube diameter d, and the thermal conductivity is the axial one kax). Several studies are proposed in the scientific literature for the evaluation of kax [58,59,60,61]. In this work, the literature correlation proposed by Votruba et al. [61] was adopted:
k a x = k f · κ [ 0.28 0.757 · log ( ε ) 0.057 log ( κ ) ]
For the reactors under consideration in this work, Peth,ax ranges between 2 and 40 depending on the operating conditions. According to [28], this value indicates that a regime is established where convective energy transport is dominating over axial dispersion, and justifies the assumption of neglecting the axial dispersion term in the energy balance (Equation (8)).

3.1.4. Ni-Based Catalyst Kinetics

The reaction scheme proposed by Xu and Froment [5] was adopted, based on the reaction rates of the SMR, WGS and GRR reactions. Reaction rates are reversible and of the Langmuir-Hinshelwood type:
r S M R = k S M R p H 2 2.5 · ( p C H 4 · p H 2 O p H 2 3 · p C O K p , S M R ) / D E N 2
r W G S = k W G S p H 2 · ( p C O · p H 2 O p H 2 · p C O 2 K p , W G S ) / D E N 2
r G R R = k G R R p H 2 3.5 · ( p C H 4 · p H 2 O 2 p H 2 4 · p C O 2 K p , G R R ) / D E N 2
D E N = 1 + K C O · p C O + K H 2 · p H 2   + K C H 4 · p C H 4 + K H 2 O · p H 2 O p H 2
with the kinetic parameters kj and adsorption parameters Ki expressed as reported below:
k j = k j ,   T r · exp [ E j R · ( 1 T 1 T r ) ]       j = M S R ,   W G S ,   G R R
K i = K i ,   T r · exp [ Δ H i R · ( 1 T 1 T r ) ]       i = C O , H 2 , H 2 O , C H 4
where Tr is a reference temperature. The kinetic parameters appearing in Equations (22) to (27) were discussed in Section 3.3.—Kinetic Parameters. Their values are reported in Table 2 and Table 3.

3.2. P-R1 and P-R2 Model

The exit line from the reactor was also simulated. In this case, the empty pipes P-R1 and P-R2 were simulated by applying a steady-state, non-isothermal plug flow reactor (PFR) approach, consisting in practice of the same local mass (Equation (7)) and energy (Equation (8)) balances employed for the PBR simulation. The global heat transfer coefficient U was also evaluated in P-R1 and P-R2, using the same definition employed for the PBR reactor (Equation (10)). For Nu, Re and Pr, the definitions given in Equations (11)–(13) apply, with L being the tube hydraulic diameter. The evaluation of h was based on the evaluation of Nu. For an empty tube, with constant wall temperature and with laminar fluid flow regime as in the present case, Nu is constant, equal to 3.66 [37]. The effective thermal conductivity coincides with the thermal conductivity of the gaseous mixture kf [39].
The mass and energy balances of P-R1 and P-R2 form a system of coupled ODEs. Boundary conditions are the inlet composition, temperature and flowrate of the gaseous mixture, which coincide with those at the exit of the previous reactor section.

3.2.1. Gas Phase WGS Kinetics

Downstream from the catalytic bed, the reacting mixture flows through the post-reactor P-R1. Here, according to the literature [18,19], the quartz wool and the silica glass tube were not expected to catalyze the reactions. However, WGS was expected to occur in the gas phase, and the following kinetics was adopted [17,19]:
r W G S = k W G S · C C O · C H 2 O ( 1 p H 2 · p C O 2 p C O · p H 2 O · K p , W G S )
where:
k W G S = k W G S , 0 · exp [ E W G S R T ]  
with k′WGS,0 = 7.4 × 1011 (cm3 mol−1)0.5 s−1 and E′WGS = 288.3 kJ mol−1 [17,19].

3.2.2. Metal Tube WGS Kinetics

Downstream from P-R1, the gaseous mixture flows through the metallic post-reactor P-R2. It is widely reported in the literature that the WGS reaction is catalyzed by metallic piping [17]. For the WGS kinetic expressions, it was proposed here to apply the WGS kinetic equation proposed by Xu and Froment (Equation (23)), with k W G S ,   T r = 4.7 kmol bar−1 m−2 h−1, referred to the unit area of inner surface of the tube.
An alternative option follows the approach proposed by Bustamante et al. [18,19] who reported a very fast reaction rate measured with Inconel® 600 piping (typical composition 14–17 wt % Cr, 72 wt % Ni, 6–10 wt % Fe, 1 wt % Mn, 0.5 wt % Cu, 0.5 wt % Si, 0.15 wt % C and 0.015 wt % S), for which they assumed the following kinetic expression [62]:
r W G S = k W G S · C C O ( 1 p H 2 · p C O 2 p C O · p H 2 O · K p , W G S )
where:
k W G S = k W G S , 0 · exp [ E W G S R T ]  
with k″WGS,0 = 4.26 × 106 cm2 s−1 and E″WGS = 102.4 kJ mol−1 [17,19].

3.3. Kinetic Parameters

The parameters of the local kinetic model were evaluated taking as a reference the values proposed by Xu and Froment [5] and reported in Table 2. Here, in order to adapt them to the specific catalysts under study, they were adjusted through the multiplicative coefficients ζ1 to ζ6 until satisfactory agreement was found with the experimental data. The model was formed by a system of ODEs, coupled to non-linear analytical equations, requiring numerical integration (Section 3.5.—Numerical Integration). Due to the intrinsic difficulties in implementing an automatic algorithm of minimization of the model error relative to the experimental data, the procedure adopted to perform the adjustment is a trial-and-error procedure. The full set of experimental data, collected in a wide range of operating conditions, used to perform the adjustment of the coefficients ζ1 to ζ6, was reported and discussed in a companion paper [63]. Considering the full set of results, the error between simulated and experimental data was 8.6% with the HMMC catalyst, 11.8% with the 57-4Q catalyst and 9.7% with the 25-4Q catalyst [63].
The proposed values for the coefficients ζ1 to ζ6 are reported in Table 3. ζ6, i.e., the adjusting coefficient for the H2O adsorption coefficient, was about two orders of magnitude higher for the commercial catalysts than for the laboratory-made catalyst, and this is in line with the expectations, considering that the commercial catalysts have Ca and K added in order to promote H2O adsorption. Regarding the activation energies of the SMR and WGS reactions, the adjusting coefficients ζ4 and ζ5 proposed in this work are similar to those published in [33], where values corresponding to ζ4 = 1.07 and ζ5 = 1.33 are reported. In the same work, the activation energy of the GRR reaction is was multiplied by a factor of 0.97, while in our case the multiplying coefficient was 1. The catalyst employed in [33] is a 18 wt % NiO supported on α-Al2O3 provided by Johnson Matthey Plc, tested for SMR and GRR at temperatures around 600 °C, for WGS around 300 °C. Thus, we can conclude that the values proposed here for the adjustable coefficients of the local kinetics model are consistent with those reported in the literature for similar catalysts.

3.4. Thermodynamic Equilibrium

For both the WGS and the SMR reactions, Kp,WGS and Kp,SMR were obtained through the equation below [64]:
K p = A · exp ( E K R · T )
The values of parameters A and EK are reported in Table 4. Equation (32) provides a fit of the data of Kp provided in [65].
For GRR:
Kp,GRR = Kp,SMR Kp,WGS

3.5. Numerical Integration

The model equations form a system of ODEs coupled to non-linear analytical equations, requiring numerical integration, which was performed through MATLAB® R2018a. The system of coupled ODEs (local mass and energy balances) was solved through the ode45 solver. Input data of the numerical tool were the reactor geometrical data, flow rate and composition of the reacting gas mixture and the furnace temperature. The reactor simulation, for one single operating condition, typically ran in less than 1 s on a workstation Dell Precision Tower 3420, with Intel Xeon CPU running at 3.60 GHz with 64 GB of RAM.

4. Results and Discussion

Table 5 reports the values of the main chemical-physical parameters and dimensionless numbers in the operating conditions adopted in this study. The simulated profiles of compositions and temperature along the reactor are presented and discussed in Section 4.1.—MCO2 Laboratory Reactor, and in Section 4.2.—SMR Laboratory Reactor.

4.1. MCO2 Laboratory Reactor

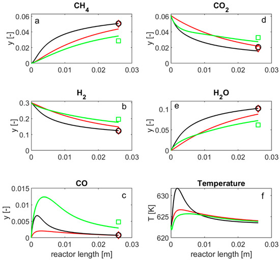
Figure 3 reports simulation results for the MCO2 laboratory experimental reactor, obtained with a furnace temperature of 623 K. Modeling results are reported for all the three catalysts employed in this work. Experimental data of compositions, measured at the sampling point, are also reported.
The first remark is that, with the JM catalysts, the simulated SMR and revSMR reaction rates exhibited high sensitivity towards the water content in the reactant gas mixture. In the MCO2 mode, where no H2O was present in the reactor feeding gas, the revSMR and revWGS reactions were thus very fast at the reactor inlet, especially with the 57-4Q catalyst. This is clearly visible in Figure 3, particularly in the CH4 molar fraction plot (Figure 3a), showing a steep increase at the reactor inlet, higher than with both the HMMC and the 25-4Q catalysts. Further down in the reactor, water, being a reaction product, was present, as displayed in Figure 3e. Therefore, the rate of formation of CH4 over the 57-4Q catalyst visibly slowed down, so that at the exit of the PBR the CH4 molar fraction was only slightly higher than that obtained with the HMMC catalyst. This was confirmed by the experimental results of CH4 molar fraction at the exit of the reactor: 5.1% with the 57-4Q, 5.0% with the HMMC catalyst and 2.9% with the 25-4Q catalyst.
Regarding the simulated temperature profiles (Figure 3f), the fast kinetics of the exothermal revSMR at the entrance of the PBR caused a steep temperature increase of about 10 K with the 57-4Q catalyst. A similar behavior, with a smaller temperature increase, was also found with the other two catalysts. Further down in the reactor, due to the reduced rate of the revSMR, the temperature of the PBR cooled down and at the exit of the PBR it was practically equal to the temperature of the furnace for all three simulated catalysts. Additionally in the downstream P-R1, where only gas phase WGS was considered to occur, the temperature remained equal to the furnace temperature and no appreciable variations in composition were found (results not reported in Figure 3f). In the subsequent post-reactor P-R2, due to the efficient heat exchange with the surrounding environment, the temperature quickly dropped to the ambient temperature (298 K) in a narrow length of about 7 mm. More in detail, the temperature decreased to 523 K in a short length of 0.3 mm, and then to 366 K in the subsequent 1 mm of length. Here, the simulation model, as discussed in Section 3.2.2.—Metal Tube WGS Kinetics, embedded a simulation of the revWGS reaction, catalyzed by the metallic piping. However, due to the low furnace operating temperature adopted in the MCO2 operating mode, and also to the almost instantaneous temperature dropped down to the ambient temperature occurring in the post-reactor P-R2, no variation in composition was calculated by the model in the P-R2. No results are reported in Figure 3 for the P-R1 or P-R2 simulation results, and, in Figure 3, the experimental compositions measured at the sampling point (exit of P-R2) were plotted at the exit of the PBR section.

4.2. SMR Laboratory Reactor

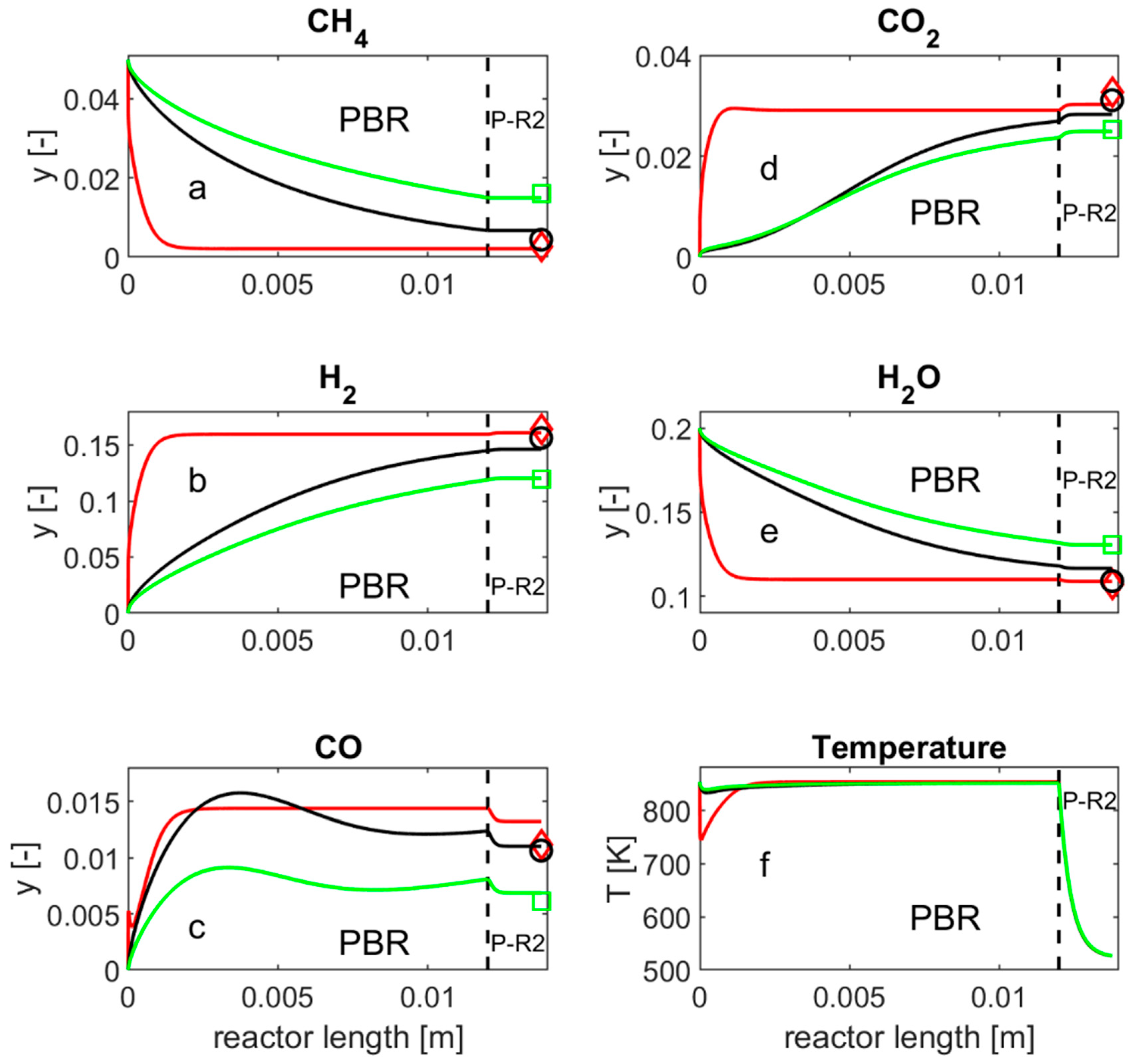
Figure 4 reports the simulation results obtained for the SMR experimental reactor, with furnace temperature 853 K and GHSV = 2.1 × 104 h−1. The left-hand sides of the figures show the modeling results obtained in the catalytic section of the reactor (PBR), while the right-hand sides display the P-R2 modeling results.
In this case, 5% CH4 was fed in together with 20% steam, and therefore the simulated reaction rate with the 25-4Q and 57-4Q catalysts was hindered by the presence of water, and thus was visibly slower than in HMMC operating mode. In particular, with the HMMC catalyst, thermodynamic equilibrium was established after about 2 mm from the entrance of the PBR, corresponding to an almost complete consumption of methane and to the generation of an H2 molar fraction of about 16%. Conversely, with the commercial catalysts, reaction rates were much lower and thermodynamic equilibrium was not reached within the PBR; H2 molar fractions at the exit of the PBR were 14.5% and about 12% with 57-4Q and 25-4Q respectively.
Regarding the simulated temperature profiles within the PBR section, the fast reaction rate at the entrance of the HMMC PBR was associated with a temperature drop, after which, the temperature rose to the furnace temperature. This deep temperature drop may be somehow overestimated due to the absence of the thermal axial dispersion term in the model; nevertheless, this possible inaccuracy did not influence the evaluation of the compositions at the exit of the PBR since thermodynamic equilibrium was reached quickly with the HMMC catalyst in these operating conditions. On the other hand, with the commercial catalysts, as a result of the slower kinetics, the temperature drop was smoother and milder (20 K with the 57-4Q and 15 K with the 25-4Q catalysts respectively). For all catalysts, the temperature at the exit of the PBR was equal to the furnace temperature. Like with the MCO2 reactor, also with the SMR reactor, no temperature or composition variations were evaluated by the simulation model in the post-reactor PR-1, which was not represented in Figure 4. Instead, in the post reactor PR-2, the model calculated variations not only in temperature but also in composition. This is due to the fact that, in the SMR operating mode, on the one hand, the furnace temperature was higher than in the MCO2 operating mode; on the other hand, the P-R2 was exposed to an external temperature of 523 K, higher than in the MCO2 case. As a result of the higher temperatures established in the P-R2, the simulation results indicate a non-negligible advancement of the WGS reaction. The WGS kinetics in P-R2, as already mentioned in Section 3.2.2.—Metal Tube WGS Kinetics, was based on the kinetic equation proposed by Xu and Froment (Equation (23)), with k W G S ,   T r = 4.7 kmol/(bar m2 h), referred to the unit area of inner surface of the tube. Figure 4 reports the simulation results only for the first 3 mm of PR-2, where the temperature was simulated to drop to the external temperature of 523 K (Figure 4f), and where the model evaluated a slight, yet non negligible, advancement of the WGS reaction. Figure 4 shows good agreement between simulated and experimentally measured molar fractions at the sampling point (exit of P-R2).
For the sake of completeness, other literature WGS kinetic models were also tested for the simulation of P-R2. The kinetic model proposed by Bustamante et al. [18,19] (Section 3.2.1.—Gas Phase WGS Kinetics) for the gas phase WGS reaction was implemented in the simulation of the P-R2 discharge pipe, without giving any advancement in WGS conversion. A further simulation was performed employing the kinetic model proposed by Bustamante et al. [18,19] (Section 3.2.2.—Metal Tube WGS Kinetics) for the WGS reaction occurring in an Inconel® 600 pipe. This kinetic model, when implemented into the P-R2 discharge pipe, results in thermodynamic equilibrium being reached for the WGS reaction inside P-R2 (Kp,WGS = 86.7 at 523 K), exceeding by far the real WGS conversion measured experimentally at the exit of the P-R2 piping. This indicates that the WGS kinetics in the Inconel® 600 piping was faster than in the AISI 316L tubes, probably due to the higher amount of Ni (72 wt % in Inconel® 600, versus 8 wt % in the AISI 316L).

5. Conclusions

The conclusions of the study reported in this paper can be summarized as follows:
  • A steady-state, pseudo-homogeneous 1D non-isothermal model was proposed, which was specifically developed for the laboratory experimental reactors, and was intended to guide the development of small size SMR and MCO2 reactors in the context of P2X studies.
  • The model was based on local mass and energy balances, written in the typical form adopted for PBRs, coupled to a local kinetics. The Xu and Froment local kinetics model [5] was applied.
  • Simulated results of composition and temperature profiles along the reactors show that non-uniformities were significant in the laboratory experimental reactors.
  • Progress of the WGS reaction in the discharge piping was studied, which is more easily included in the simulation model rather than prevented in the experimental apparatus [17,18,19]. The WGS reaction occurring in the metal piping downstream of the reactor was well simulated through the corresponding kinetic equation proposed by Xu and Froment [5].

Author Contributions

Conceptualization, P.C.; Formal analysis, P.C. and F.P.; Investigation, T.C. and G.G.; Methodology, P.C. and F.P.; Software, P.C. and F.P.; Supervision, G.B.; Validation, P.C. and G.G.; Writing—original draft, P.C. and G.B.; Writing—review and editing, F.P. and G.G. All authors have read and agreed to the published version of the manuscript.

Funding

This research received no external funding.

Acknowledgments

The authors acknowledge Agnese Buscaldi and Beatrice Antonucci for the experimental tests made during their Master and Bachelor’s theses respectively.

Conflicts of Interest

The authors declare no conflict of interest.

Abbreviations

GHSVGas Hourly Space Velocity
GRRGlobal Reforming Reaction
HMMCHomemade Methanation Catalyst
JMJohnson Matthey
MCOMethanation of CO
MCO2Methanation of CO2
ODEOrdinary Differential Equation
PBRPacked Bed Reactor
P-RPost Reactor
P2XPower-to-X
revGRRreverse of Global Reforming Reaction
revSMRreverse of Steam Methane Reforming
revWGSreverse of Water Gas Shift
RTPReference temperature and pressure (273.15 K and 101.325 kPa)
SMRSteam Methane Reforming
SRSteam Reforming
WGSWater Gas Shift
Symbols used
Apre-exponential factor in Equation (32)(-) for WGS—(atm2) for SMR
asurface to volume ratio(m−1)
Bparameter in Equation (15)(-)
Cimolar concentration of the ith component(mol m−3)
cpispecific heat for the ith component(kJ mol−1 K−1)
Dmass diffusivity(m2 s−1)
dtube diameter(m)
dPparticle diameter(m)
E , E , E activation energies(kJ mol−1)
EKenergy parameter in Equation (32)(kJ mol−1)
Fiith component molar flowrate(mol s−1)
hconvective heat exchange coefficient(W m−2 K−1)
Δ298Kstandard reaction enthalpy(kJ mol−1)
ΔHiadsorption enthalpy of component i (Equation (27))(kJ mol−1)
K C H 4 , K C O , K H 2 adsorption constants in Equation (27)(bar−1)
K H 2 O adsorption constant for H2O in Equation (27)(-)
K p ,   G R R , K p , S M R equilibrium constants of GRR and SMR(Pa2)
K p , W G S equilibrium constant of WGS(-)
k G R R , k S M R kinetic rates of GRR and SMR(kmol bar0.5 kgcat−1 h−1)
k W G S kinetic rate of WGS(kmol bar−1 kgcat−1 h−1)
k W G S kinetic rate of WGS in Equation (28)(m1.5 mol–0.5 s−1)
k W G S kinetic rate of WGS in Equation (30)(m2 s−1)
kthermal conductivity(W m−1 K−1)
Lcharacteristic dimension(m)
llength (m)
NuNusselt number(-)
pipartial pressure of the ith component(bar)
Pemmass transfer Péclet number(-)
Peththermal Péclet number(-)
PrPrandtl number(-)
rjreaction rate of the jth reaction(mol m−3 s−1)
Rideal gas constant (J mol−1 K−1)
ReReynolds number(-)
stube wall thickness(m)
Siselectivity to product i(-)
Ttemperature (K)
Uoverall heat transfer coefficient(W m−2 K−1)
ussuperficial velocity(m s−1)
Vvolume (m3)
XCH4, XCO2methane and carbon dioxide conversion(-)
Yiyield in product i(-)
Greek letters
εcatalyst bed void fraction (-)
ζiparameters in Table 3(-)
ηjeffectiveness factor for the jth reaction(-)
κ ratio between solid and gas thermal conductivities(-)
ρdensity(kg m−3)
νijstoichiometric coefficient of the ith component in the jth reaction(-)
τtortuosity(-)
Subscripts
axaxial
ffluid
icomponent index
ininlet
jreaction index
outoutlet
rradial
ssolid
wwall

References

  1. Rostrup-Nielsen, J.R.; Sehested, J.; Nørskov, J.K. Hydrogen and Synthesis Gas by Steam and CO2 Reforming. Adv. Catal. 2002, 47, 65–139. [Google Scholar] [CrossRef]
  2. Aasberg-Petersen, K.; Dybkjær, I.; Ovesen, C.V.; Schjødt, N.C.; Sehested, J.; Thomsen, S.G. Natural gas to synthesis gas—Catalysts and catalytic processes. J. Nat. Gas Sci. Eng. 2011, 3, 423–459. [Google Scholar] [CrossRef]
  3. Chen, B.; Hajimolana, Y.S.; Venkataraman, V.; Ni, M.; Aravind, P.V. Integration of reversible solid oxide cells with methane synthesis (ReSOC-MS) in grid stabilization: A dynamic investigation. Appl. Energy 2019, 250, 558–567. [Google Scholar] [CrossRef]
  4. Greco, A.; Sorce, A.; Littwin, R.; Costamagna, P.; Magistri, L. Reformer faults in SOFC systems: Experimental and modeling analysis, and simulated fault maps. Int. J. Hydrog. Energy 2014, 39, 21700–21713. [Google Scholar] [CrossRef]
  5. Xu, J.; Froment, G.F. Methane Steam Reforming, Methanation and Water-Gas Shift: I. Intrinsic Kinetics. AIChE J. 1989, 35, 88–96. [Google Scholar] [CrossRef]
  6. Rönsch, S.; Schneider, J.; Matthischke, S.; Schlüter, M.; Götz, M.; Lefebvre, J.; Prabhakaran, P.; Bajohr, S. Review on methanation - From fundamentals to current projects. Fuel 2016, 166, 276–296. [Google Scholar] [CrossRef]
  7. Zeppieri, M.; Villa, P.L.; Verdone, N.; Scarsella, M.; De Filippis, P. Kinetic of methane steam reforming reaction over nickel- and rhodium-based catalysts. Appl. Catal. A Gen. 2010, 387, 147–154. [Google Scholar] [CrossRef]
  8. Delgado, K.; Maier, L.; Tischer, S.; Zellner, A.; Stotz, H.; Deutschmann, O. Surface Reaction Kinetics of Steam- and CO2-Reforming as Well as Oxidation of Methane over Nickel-Based Catalysts. Catalysts 2015, 5, 871–904. [Google Scholar] [CrossRef]
  9. Khzouz, M.; Gkanas, E.I. Experimental and Numerical Study of Low Temperature Methane Steam Reforming for Hydrogen Production. Catalysts 2017, 8, 5. [Google Scholar] [CrossRef]
  10. Parlikkad, N.R.; Chambrey, S.; Fongarland, P.; Fatah, N.; Khodakov, A.; Capela, S.; Guerrini, O. Modeling of fixed bed methanation reactor for syngas production: Operating window and performance characteristics. Fuel 2013, 107, 254–260. [Google Scholar] [CrossRef]
  11. Schlereth, D.; Hinrichsen, O. Chemical Engineering Research and Design A fixed-bed reactor modeling study on the methanation of CO2. Chem. Eng. Res. Des. 2013, 92, 702–712. [Google Scholar] [CrossRef]
  12. Mokheimer, E.M.A.; Ibrar Hussain, M.; Ahmed, S.; Habib, M.A.; Al-Qutub, A.A. On the Modeling of Steam Methane Reforming. J. Energy Resour. Technol. 2014, 137, 012001. [Google Scholar] [CrossRef]
  13. Pantoleontos, G.; Skevis, G.; Karagiannakis, G.; Konstandopoulos, A.G. A Heterogeneous Multiscale Dynamic Model for Simulation of Catalytic Reforming Reactors. Int. J. Chem. Kinet. 2016, 48, 239–252. [Google Scholar] [CrossRef]
  14. Pugliese, F.; Trucco, A.; Moser, G.; Costamagna, P. Diagnostics and Prognostics-Oriented Modeling of an NGSR Fuel Processor for Application in SOFC Systems. Fuel Cells 2017, 17, 517–534. [Google Scholar] [CrossRef]
  15. Abbas, S.Z.; Dupont, V.; Mahmud, T. Modelling of high purity H2 production via sorption enhanced chemical looping steam reforming of methane in a packed bed reactor. Fuel 2017, 202, 271–286. [Google Scholar] [CrossRef]
  16. Pashchenko, D. Numerical study of steam methane reforming over a pre-heated Ni-based catalyst with detailed fluid dynamics. Fuel 2019, 236, 686–694. [Google Scholar] [CrossRef]
  17. Ahmed, K.; Föger, K. Approach to equilibrium of the water-gas shift reaction on a Ni/zirconia anode under solid oxide fuel-cell conditions. J. Power Sources 2001, 103, 150–153. [Google Scholar] [CrossRef]
  18. Bustamante, F.; Enick, R.M.; Cugini, A.V.; Killmeyer, R.P.; Howard, B.H.; Rothenberger, K.S.; Ciocco, M.V.; Morreale, B.D.; Chattopadhyay, S.; Shi, S. High-temperature kinetics of the homogeneous reverse water-gas shift reaction. AIChE J. 2004, 50, 1028–1041. [Google Scholar] [CrossRef]
  19. Bustamante, F.; Enick, R.M.; Killmeyer, R.P.; Howard, B.H.; Rothenberger, K.S.; Cugini, A.V.; Morreale, B.D.; Ciocco, M.V. Uncatalyzed and wall-catalyzed forward water-gas shift reaction kinetics. AIChE J. 2005, 51, 1440–1454. [Google Scholar] [CrossRef]
  20. Bartholomew, C.H.; Farrauto, R.J. Fundamentals of Industrial Catalytic Process, 2nd ed.; Wiley Interscience: Hoboken, NJ, USA, 2005; ISBN 9780471457138. [Google Scholar]
  21. Carlsson, M. Carbon Formation in Steam Reforming and Effect of Potassium Promotion. Johns. Matthey Technol. Rev. 2015, 59, 313–318. [Google Scholar] [CrossRef]
  22. Adrados, A.; Lopez-Urionabarrenechea, A.; Acha, E.; Solar, J.; Caballero, B.M.; de Marco, I. Hydrogen rich reducing gases generation in the production of charcoal from woody biomass carbonization. Energy Convers. Manag. 2017, 148, 352–359. [Google Scholar] [CrossRef]
  23. Forrest, S.J.K.; Oliver, J.G.; French, S.A.; Carlsson, M.P.U. Catalyst Preparation Method. U.S. Patent 9,463,441, 11 October 2016. [Google Scholar]
  24. Cross, J.; Jones, G.; Kent, M.A. An introduction to pre-reforming catalysis. In Nitrogen+Syngas 341; 2016; pp. 40–48. [Google Scholar]
  25. Garbarino, G.; Chitsazan, S.; Phung, T.K.; Riani, P.; Busca, G. Preparation of supported catalysts: A study of the effect of small amounts of silica on Ni/Al2O3 catalysts. Appl. Catal. A Gen. 2015, 505, 86–97. [Google Scholar] [CrossRef]
  26. Fogler, H.S. Elements of Chemical Reaction Engineering, 4th ed.; Prentice Hall: Upper Saddle River, NJ, USA, 2005; ISBN 9780130473944. [Google Scholar]
  27. Lemcoff, N.O.; Pereira Duarte, S.I.; Martinez, O.M. Heat transfer in packed beds. Rev. Chem. Eng. 1990, 6, 229–292. [Google Scholar]
  28. Koning, G.W. Heat and Mass Transport in Tubular Packed Bed Reactors at Reacting and Non-Reacting Conditions: Experiments and Models; University of Twente: Enschede, The Netherlands, 2002. [Google Scholar]
  29. Froment, G.F.; Bischoff, K.B.; De Wilde, J. Chemical Reactor Analysis and Design, 3rd ed.; John Wiley & Sons: New York, NY, USA, 2011; ISBN 9780470565414. [Google Scholar]
  30. Rout, K.R.; Jakobsen, H.A. A numerical study of fixed bed reactor modelling for steam methane reforming process. Can. J. Chem. Eng. 2015, 93, 1222–1238. [Google Scholar] [CrossRef]
  31. Oliveira, E.L.G.; Grande, C.A.; Rodrigues, A.E. Steam Methane Reforming in a Ni/Al2O3 Catalyst: Kinetics and Diffusional Limitations in Extrudates. Can. J. Chem. Eng. 2009, 87, 945–956. [Google Scholar] [CrossRef]
  32. Schädel, B.T.; Duisberg, M.; Deutschmann, O. Steam reforming of methane, ethane, propane, butane, and natural gas over a rhodium-based catalyst. Catal. Today 2009, 142, 42–51. [Google Scholar] [CrossRef]
  33. Abbas, S.Z.; Dupont, V.; Mahmud, T. Kinetics study and modelling of steam methane reforming process over a NiO/Al2O3 catalyst in an adiabatic packed bed reactor. Int. J. Hydrogen Energy 2017, 42, 2889–2903. [Google Scholar] [CrossRef]
  34. Champon, I.; Bengaouer, A.; Chaise, A.; Thomas, S.; Roger, A.-C. Carbon dioxide methanation kinetic model on a commercial Ni/Al2O3 catalyst. J. CO2 Util. 2019, 34, 256–265. [Google Scholar] [CrossRef]
  35. Koning, G.W.; Kronberg, A.E.; Van Swaaij, W.P.M. Improved one-dimensional model of a tubular packed bed reactor. Chem. Eng. Sci. 2006, 61, 3167–3175. [Google Scholar] [CrossRef]
  36. Dixon, A.G. Thermal resistance models of packed-bed effective heat transfer parameters. AIChE J. 1985, 31, 826–834. [Google Scholar] [CrossRef]
  37. Cengel, Y.A. Heat Transfer, 2nd ed.; McGraw-Hill: New York, NY, USA, 2003; ISBN 9780072456733. [Google Scholar]
  38. Dwivedi, P.N.; Upadhyay, S.N. Particle-Fluid Mass Transfer in Fixed and Fluidized Beds. Ind. Eng. Chem. Process Des. Dev. 1977, 16, 157–165. [Google Scholar] [CrossRef]
  39. Perry, R.H.; Green, D.W. Perry’s Chemical Engineers’ Handbook, 8th ed.; McGraw-Hill: New York, NY, USA, 2008. [Google Scholar]
  40. Zehner, P.; Schlünder, E.U. Warmeleitfahigkeit von Schuttungen bei mässigen Temperaturen. Chem. Ing. Tech. 1970, 42, 933–941. [Google Scholar] [CrossRef]
  41. Van Antwerpen, W.; Du Toit, C.G.; Rousseau, P.G. A review of correlations to model the packing structure and effective thermal conductivity in packed beds of mono-sized spherical particles. Nucl. Eng. Des. 2010, 240, 1803–1818. [Google Scholar] [CrossRef]
  42. Cheng, P.; Hsu, C.T. Fully-developed, forced convective flow through an annular packed-sphere bed with wall effects. Int. J. Heat Mass Transf. 1986, 29, 1843–1853. [Google Scholar] [CrossRef]
  43. Bansal, N.P.; Doremus, R.H. Handbook of Glass Properties; Academic Press Inc.: Orlando, FL, USA, 1986; ISBN 9780080523767. [Google Scholar]
  44. Gupta, S.N.; Chaube, R.B.; Upadhyay, S.N. Fluid-particle heat transfer in fixed and fluidized beds. Chem. Eng. Sci. 1974, 29, 839–843. [Google Scholar] [CrossRef]
  45. Wakao, N.; Kaguei, S.; Funazkri, T. Effect of fluid dispersion coefficients on particle-to-fluid heat transfer coefficients in packed beds. Correlation of nusselt numbers. Chem. Eng. Sci. 1979, 34, 325–336. [Google Scholar] [CrossRef]
  46. Gunn, D.J. Transfer of heat or mass to particles in fixed and fluidised beds. Int. J. Heat Mass Transf. 1978, 21, 467–476. [Google Scholar] [CrossRef]
  47. Deen, N.G.; Peters, E.A.J.F.; Padding, J.T.; Kuipers, J.A.M. Review of direct numerical simulation of fluid-particle mass, momentum and heat transfer in dense gas-solid flows. Chem. Eng. Sci. 2014, 116, 710–724. [Google Scholar] [CrossRef]
  48. Deen, N.G.; Kriebitzsch, S.H.L.; van der Hoef, M.A.; Kuipers, J.A.M. Direct numerical simulation of flow and heat transfer in dense fluid-particle systems. Chem. Eng. Sci. 2012, 81, 329–344. [Google Scholar] [CrossRef]
  49. Sun, B.; Tenneti, S.; Subramaniam, S. Modeling average gas-solid heat transfer using particle-resolved direct numerical simulation. Int. J. Heat Mass Transf. 2015, 86, 898–913. [Google Scholar] [CrossRef]
  50. Tenneti, S.; Sun, B.; Garg, R.; Subramaniam, S. Role of fluid heating in dense gas-solid flow as revealed by particle-resolved direct numerical simulation. Int. J. Heat Mass Transf. 2013, 58, 471–479. [Google Scholar] [CrossRef]
  51. Singhal, A.; Cloete, S.; Radl, S.; Quinta-Ferreira, R.; Amini, S. Heat transfer to a gas from densely packed beds of monodisperse spherical particles. Chem. Eng. J. 2016, 314, 27–37. [Google Scholar] [CrossRef]
  52. Jourak, A.; Frishfelds, V.; Hellström, J.G.I.; Lundström, T.S.; Herrmann, I.; Hedström, A. Longitudinal Dispersion Coefficient: Effects of Particle-Size Distribution. Transp. Porous Media 2013, 99, 1–16. [Google Scholar] [CrossRef]
  53. Levenspiel, O. Chemical Reaction Engineering, 3rd ed.; John Wiley & Sons: New York, NY, USA, 1999; ISBN 047125424X. [Google Scholar]
  54. Gunn, D.J. Axial and radial dispersion in fixed beds. Chem. Eng. Sci. 1987, 42, 363–373. [Google Scholar] [CrossRef]
  55. Lanfrey, P.Y.; Kuzeljevic, Z.V.; Dudukovic, M.P. Tortuosity model for fixed beds randomly packed with identical particles. Chem. Eng. Sci. 2010, 65, 1891–1896. [Google Scholar] [CrossRef]
  56. Young, L.C.; Finlayson, B.A. Axial Dispersion in Nonisothermal Packed Bed Chemical Reactors. Ind. Eng. Chem. Fundam. 1973, 12, 412–422. [Google Scholar] [CrossRef]
  57. Khanna, R.; Seinfeld, J.H. Mathematical modeling of packed bed reactors: Numerical solutions and control model development. Adv. Chem. Eng. 1987, 13, 113–191. [Google Scholar]
  58. Yagi, S.; Kunii, D.; Wakao, N. Studies on axial effective thermal conductivities in packed beds. AIChE J. 1960, 6, 543–546. [Google Scholar] [CrossRef]
  59. Bischoff, K.B. Axial thermal conductivities in packed beds. Can. J. Chem. Eng. 1962, 40, 161–163. [Google Scholar] [CrossRef]
  60. Krupiczka, R. Analysis of thermal conductivity in granular materials. Int. Chem. Eng. 1967, 7, 122–144. [Google Scholar]
  61. Votruba, J.; Hlaváček, V.; Marek, M. Packed bed axial thermal conductivity. Chem. Eng. Sci. 1972, 27, 1845–1851. [Google Scholar] [CrossRef]
  62. Keiski, R.L.; Desponds, O.; Chang, Y.F.; Somorjai, G.A. Kinetics of the water-gas shift reaction over several alkane activation and water-gas shift catalysts. Appl. Catal. A Gen. 1993, 101, 317–338. [Google Scholar] [CrossRef]
  63. Garbarino, G.; Pugliese, F.; Cavattoni, T.; Riani, P.; Busca, G.; Costamagna, P. A study of CO2 methanation and steam methane reforming over commercial Ni/Ca Al2O3 catalysts. Energies. Submitted.
  64. Fernandes, F.A.N.; Soares, A.B. Modeling of methane steam reforming in a palladium membrane reactor. Fuel 2006, 85, 569–573. [Google Scholar] [CrossRef]
  65. Rostrup-Nielsen, J.R. Catalytic Steam Reforming. In Catalysis—Science and Technology; Springer: Berlin, Germany, 1984; ISBN 9783540126651. [Google Scholar]
Figure 1. Schematic representation of the tubular laboratory reactor. PBR stands for packed bed reactor, P-R1 and P-R2 indicate the post reactor sections, H are the holders of the catalytic section, and d is the tube diameter. The same reactor geometry is employed for the CO2 hydrogenation (MCO2) and steam methane reforming (SMR) experiments, with different dimensions (in Table 1).
Figure 1. Schematic representation of the tubular laboratory reactor. PBR stands for packed bed reactor, P-R1 and P-R2 indicate the post reactor sections, H are the holders of the catalytic section, and d is the tube diameter. The same reactor geometry is employed for the CO2 hydrogenation (MCO2) and steam methane reforming (SMR) experiments, with different dimensions (in Table 1).
Energies 13 02624 g001
Figure 2. Schematic representation of the catalytic line used in the experiments.
Figure 2. Schematic representation of the catalytic line used in the experiments.
Energies 13 02624 g002
Figure 3. Results for the MCO2 operating mode (gas hourly space velocity (GHSV) = 6.7 × 103 h−1), furnace temperature 623 K. (a) CH4; (b) H2; (c) CO; (d) CO2; (e) H2O; and (f) temperature. Simulation results are reported only for the catalytic section (PBR) of the reactor. Lines: simulations. Symbols: experimental data (at the sampling point). Catalysts: Energies 13 02624 i001, Energies 13 02624 i002 HMMC; Energies 13 02624 i003, Energies 13 02624 i004 57-4Q; Energies 13 02624 i005, Energies 13 02624 i006 25-4Q.
Figure 3. Results for the MCO2 operating mode (gas hourly space velocity (GHSV) = 6.7 × 103 h−1), furnace temperature 623 K. (a) CH4; (b) H2; (c) CO; (d) CO2; (e) H2O; and (f) temperature. Simulation results are reported only for the catalytic section (PBR) of the reactor. Lines: simulations. Symbols: experimental data (at the sampling point). Catalysts: Energies 13 02624 i001, Energies 13 02624 i002 HMMC; Energies 13 02624 i003, Energies 13 02624 i004 57-4Q; Energies 13 02624 i005, Energies 13 02624 i006 25-4Q.
Energies 13 02624 g003
Figure 4. Results for the SMR operating mode (GHSV = 2.1 × 104 h−1), furnace temperature 853 K. (a) CH4; (b) H2; (c) CO; (d) CO2; (e) H2O; and (f) temperature. Lines: simulations. Simulation results are reported only for the catalytic section (PBR) of the reactor and for Table 3. (mm) of the second post-reactor (P-R2). Symbols: experimental data (at the sampling point). Catalysts: Energies 13 02624 i001, Energies 13 02624 i002 HMMC; Energies 13 02624 i003, Energies 13 02624 i004 57-4Q; Energies 13 02624 i005, Energies 13 02624 i006 25-4Q.
Figure 4. Results for the SMR operating mode (GHSV = 2.1 × 104 h−1), furnace temperature 853 K. (a) CH4; (b) H2; (c) CO; (d) CO2; (e) H2O; and (f) temperature. Lines: simulations. Simulation results are reported only for the catalytic section (PBR) of the reactor and for Table 3. (mm) of the second post-reactor (P-R2). Symbols: experimental data (at the sampling point). Catalysts: Energies 13 02624 i001, Energies 13 02624 i002 HMMC; Energies 13 02624 i003, Energies 13 02624 i004 57-4Q; Energies 13 02624 i005, Energies 13 02624 i006 25-4Q.
Energies 13 02624 g004
Table 1. Dimensions of the components of the tubular laboratory reactors used in MCO2 and SMR experiments.
Table 1. Dimensions of the components of the tubular laboratory reactors used in MCO2 and SMR experiments.
Dimensions (10−3 m)MCO2 ReactorSMR Reactor
H length 55
PBR length 2612
P-R1 length15050
P-R2 length30040
d66
s11
Table 2. Kinetic parameters, from Xu and Froment [5].
Table 2. Kinetic parameters, from Xu and Froment [5].
ParameterValueNotes
kSMR,Tr1.842 × 10−4 (kmol bar0.5 kgcat−1 h−1)Tr = 648 K
kWGS,Tr7.558 (kmol bar−1 kgcat−1 h−1)Tr = 648 K
kGRR,Tr2.193 × 10−5 (kmol bar0.5 kgcat−1 h−1)Tr = 648 K
ESMR240.1 (kJ mol−1)
EWGS67.13 (kJ mol−1)
EGRR243.9 (kJ mol−1)
KCH4,Tr0.1791 (bar−1)Tr = 823 K
KCO,Tr40.91 (bar−1)Tr = 648 K
KH2,Tr0.02960 (bar−1)Tr = 648 K
KH2O,Tr0.4152 (-)Tr = 823 K
ΔHCH4−38.28 (kJ mol−1)
ΔHCO−70.65 (kJ mol−1)
ΔHH2−82.90 (kJ mol−1)
ΔHH2O88.68 (kJ mol−1)
Table 3. Values of the adjusting dimensionless coefficients ζ1ζ6, adopted to adapt the Xu and Froment kinetic model (Table 2) to the catalysts investigated in this work.
Table 3. Values of the adjusting dimensionless coefficients ζ1ζ6, adopted to adapt the Xu and Froment kinetic model (Table 2) to the catalysts investigated in this work.
HMMC57-4Q25-4Q
ζ1⋅kSMRζ1=15258
ζ2⋅kWGSζ2=15100130
ζ3⋅kGRRζ3=151010
ζ4⋅ESMRζ4=11.171.22
ζ5⋅EWGSζ5=11.51.7
ζ6⋅KH2Oζ6=19095
Table 4. Parameters for the calculation of Kp through Equation (32) [64].
Table 4. Parameters for the calculation of Kp through Equation (32) [64].
WGSSMR
A1.412 × 10−2 (-)7.846 × 1012 (atm2)
EK220.2 (kJ mol−1)−37.72 (kJ mol−1)
Table 5. Values of the main chemical–physical parameters and dimensionless numbers in the operating conditions adopted in this study. The values reported were evaluated at the reactor inlet.
Table 5. Values of the main chemical–physical parameters and dimensionless numbers in the operating conditions adopted in this study. The values reported were evaluated at the reactor inlet.
VariableMCO2 SMRUnits
T = 473 KT = 773 KT = 773 KT = 1173 K
GHSV @ RTP6.7 × 1032.4 × 104h−1
uS0.0820.1330.2000.459m s−1
μ2.03 × 10−52.85 × 10−53.56×10−56.49 × 10−5kg m−1 s−1
cp5.065.164.524.71kJ kg−1 K−1
ρ0.3050.1874.74 × 10−22.06 × 10−2kg m−3
kf9.89 × 10−21.42 × 10−12.42 × 10−10.464W m−1 K−1
ks1.571.991.993.39W m−1 K−1
kax0.9451.251.462.57W m−1 K−1
Re = ρ uS d/μ7.365.2431.6000.878-
Pr = μ cp/kf1.041.030.6650.659-
Nu3.432.282.912.83-
U3805035841019W m−2 K−1

Share and Cite

MDPI and ACS Style

Costamagna, P.; Pugliese, F.; Cavattoni, T.; Busca, G.; Garbarino, G. Modeling of Laboratory Steam Methane Reforming and CO2 Methanation Reactors. Energies 2020, 13, 2624. https://doi.org/10.3390/en13102624

AMA Style

Costamagna P, Pugliese F, Cavattoni T, Busca G, Garbarino G. Modeling of Laboratory Steam Methane Reforming and CO2 Methanation Reactors. Energies. 2020; 13(10):2624. https://doi.org/10.3390/en13102624

Chicago/Turabian Style

Costamagna, Paola, Federico Pugliese, Tullio Cavattoni, Guido Busca, and Gabriella Garbarino. 2020. "Modeling of Laboratory Steam Methane Reforming and CO2 Methanation Reactors" Energies 13, no. 10: 2624. https://doi.org/10.3390/en13102624

APA Style

Costamagna, P., Pugliese, F., Cavattoni, T., Busca, G., & Garbarino, G. (2020). Modeling of Laboratory Steam Methane Reforming and CO2 Methanation Reactors. Energies, 13(10), 2624. https://doi.org/10.3390/en13102624

Note that from the first issue of 2016, this journal uses article numbers instead of page numbers. See further details here.

Article Metrics

Back to TopTop