Discussion on Determination Method of Long-Term Strength of Rock Salt
Abstract
1. Introduction
2. Experimental Method
2.1. Equipment and Specimen
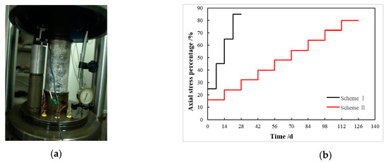
2.2. Test Procedure
3. Discussion of Method for Determining Long-Term Strength
3.1. Isochronous Stress–Strain Curve Method
3.2. Volume Expansion Method
3.3. Discussion
4. Conclusions
- (1)
- The long-term strength determined by the volume expansion method is higher than the actual value of rock salt, which is not applicable to rock salt.
- (2)
- The isochronous stress–strain curve method is reasonable and applicable to rock salt for the determination of the long-term strength. However, to get more accurate long-term strength values, more loading stages and a longer test time are necessary.
- (3)
- A method which take the corresponding stress value at the damage initiation point as the long-term strength was proposed based on the evolution of damage in rock salt. The long-term strength determined by this method is consistent with that by the isochronous stress–strain curve method, indicating that this method is also applicable to rock salt.
Author Contributions
Funding
Acknowledgments
Conflicts of Interest
References
- Cosenza, P.; Ghoreychi, M.; Bazargan-Sabet, B.; De Marsily, G. In situ rock salt permeability measurement for long term safety assessment of storage. Int. J. Rock Mech. Min. 1999, 36, 509–526. [Google Scholar] [CrossRef]
- Stormont, J.C. Conduct and interpretation of gas permeability measurements in rock salt. Int. J. Rock Mech. Min. 1997, 34, 303.e1–303.e11. [Google Scholar] [CrossRef]
- Fokker, P.A. The Behavior of Salt and Salt Caverns. Ph.D. Thesis, Delft University of Technology, Delft, The Netherlands, 1995. [Google Scholar]
- Trippetta, F.; Collettini, C.; Vinciguerra, S.; Meredith, P.G. Laboratory measurements of the physical properties of Triassic Evaporites from Central Italy and correlation with geophysical data. Tectonophysics 2010, 492, 121–132. [Google Scholar] [CrossRef]
- Trippetta, F.; Collettini, C.; Barchi, M.R.; Lupattelli, A.; Mirabella, F. A multidisciplinary study of a natural example of a CO2 geological reservoir in central Italy. Int. J. Greenh. Gas Control 2013, 12, 72–83. [Google Scholar] [CrossRef]
- Goodman, R.E. Introduction to Rock Mechanics; Wiley: New York, NY, USA, 1989. [Google Scholar]
- Xie, H.P.; Chen, Z.H. Rock Mechanics; Science Press: Beijing, China, 2004. [Google Scholar]
- Mogi, K. Experimental Rock Mechanics; CRC Press: London, UK, 2006. [Google Scholar]
- Jaeger, J.C.; Cook, N.G.W.; Zimmerman, R.W. Fundamentals of Rock Mechanics, 4th ed.; Blackwell Publishing: Hoboken, NJ, USA, 2007. [Google Scholar]
- Hunsche, U.; Schulze, O. Effect of humidity & confining pressure on creep of rock salt. Ser. Rock Soil Mech. 1996, 20, 237–248. [Google Scholar]
- Cristescu, N.D.; Paraschiv, I. Creep, damage and failure around large rectangular-like caverns and galleries. Mech. Cohesive Frict. Mater. 1996, 1, 165–197. [Google Scholar] [CrossRef]
- Yang, C.H.; Daemen, J.J.K.; Yin, J.H. Experimental investigation of creep behavior of salt rock. Int. J. Rock Mech. Min. Sci. 1999, 36, 233–242. [Google Scholar] [CrossRef]
- Asanov, V.A.; Pan’kov, I.L. Deformation of salt rock joints in time. J. Min. Sci. 2004, 40, 355–359. [Google Scholar] [CrossRef]
- Wu, W.; Yang, Y.H.; Hou, Z.M. Investigations on studied situations associated with mechanical aspects and development for underground storage of petroleum and natural gas in rock salt. Chin. J. Rock Mech. Eng. 2005, 24, 5561–5568. [Google Scholar]
- Farmer, I.W.; Gilbert, M.J. Dependent strength reduction of rock salt. In Proceedings of the 1st Conference on the Mechanical Behavior of Salt, State College, PA, USA, 9–11 November 1981; Trans. Tech. Publications: Clausthal, Germany, 1984; pp. 4–18. [Google Scholar]
- Liang, W.; Zhao, Y. Experimental study on mechanical characteristics of thenardite rock salt. Chin. J. Rock Mech. Eng. 2004, 23, 391–394. [Google Scholar]
- Liang, W.G.; Yang, C.H.; Zhao, Y.S.; Dusseault, M.B.; Liu, J. Experimental investigation of mechanical properties of bedded salt rock. Int. J. Rock Mech. Min. Sci. 2007, 44, 400–411. [Google Scholar] [CrossRef]
- De Paola, N.; Faulkner, D.R.; Collettini, C. Brittle versus ductile deformation as the main control on the transport properties of low-porosity anhydrite rocks. J. Geophys. Res. Solid Earth 2009, 114, B06211. [Google Scholar] [CrossRef]
- Grindrod, P.M.; Heap, M.J.; Fortes, A.D.; Meredith, P.G.; Wood, I.G.; Trippetta, F.; Sammonds, P.R. Experimental investigation of the mechanical properties of synthetic magnesium sulfate hydrates: Implications for the strength of hydrated deposits on Mars. J. Geophys. Res. 2010, 115, E06012. [Google Scholar] [CrossRef]
- Trippetta, F.; Collettini, C.; Meredith, P.G.; Vinciguerra, S. Evolution of the elastic moduli of seismogenic Triassic Evaporites subjected to cyclic stressing. Tectonophysics 2013, 592, 67–79. [Google Scholar] [CrossRef]
- Gao, X.P.; Yang, C.H.; Wu, W.; Liu, J. Experimental studies on temperature dependent properties of creep of rock salt. Chin. J. Rock Mech. Eng. 2005, 24, 2054–2059. [Google Scholar]
- Liu, X.H.; Zhang, P.; Gai, F. Study on creep rule of salt rock in Sichuan region. Chin. J. Rock Mech. Eng. 2002, 21, 1290–1294. [Google Scholar]
- Yang, C.H.; Bai, S.W.; Wu, Y.M. Stress level and loading path effect on time dependent properties of salt rock. Chin. J. Rock Mech. Eng. 2000, 19, 270–275. [Google Scholar]
- Chen, F.; Li, Y.; Yang, C.; Zhang, C. Experimental study on creep behaviors of rock salt in Yunying salt mine. Chin. J. Rock Mech. Eng. 2006, 25, 3022–3027. [Google Scholar]
- Gao, X.P.; Yang, C.H.; Wu, W. Experimental studies on time dependent properties of rock salt. Chin. J. Rock Mech. Eng. 2005, 27, 558–561. [Google Scholar]
- Du, C.; Yang, C.H.; Ma, H.L.; Shi, X.L.; Chen, J. Study of creep characteristics of deep rock salt. Rock Soil Mech. 2012, 33, 2451–2456. [Google Scholar]
- Cristescu, N.D. A general constitutive equation for transient and stationary creep of rock salt. Int. J. Rock Mech. Min. 1993, 30, 125–140. [Google Scholar] [CrossRef]
- Hampel, A.; Hunsche, U.; Weidinger, P.; Blum, W. Description of the creep of rock salt with the composite model-II. Steady-State creep. In Proceedings of the 4th Conference on the Mechanical Behavior of Salt, Montreal, QC, Canada, 17–18 June 1996; Trans. Tech. Publications: Clausthal-Zellerfeld, Germany, 1998; pp. 287–299. [Google Scholar]
- Wang, J.B.; Liu, X.R.; Yang, X. Test on creep properties of salt rock under different loading paths. J. PLA Univ. Sci. Technol. (Nat. Sci. Ed.) 2013, 14, 517–5236. [Google Scholar]
- Wang, J.B. Study on the Creep Mechanical Properties of Salt Rock under Different Loading Paths and Long-Term Stability of Salt Rock Gas Storage. Ph.D. Thesis, Chongqing University, Chongqing, China, 2012. [Google Scholar]
- Damjanac, B.; Fairhurst, C. Evidence for a long-term strength threshold in crystalline rock. Rock Mech. Rock Eng. 2010, 43, 513–531. [Google Scholar] [CrossRef]
- Xu, P.; Xia, X.L. Study on creep characteristics of granite in lock zone of three gorges project. J. Yangtze River Sci. Res. Inst. 1995, 12, 23–29. [Google Scholar]
- Lin, Q.X.; Liu, Y.M.; Tham, L.G.; Tang, C.A.; Lee PK, K.; Wang, J. Time-dependent strength degradation of granite. Int. J. Rock Mech. Min. Sci. 2009, 46, 1103–1114. [Google Scholar] [CrossRef]
- Liu, X. Rock Rheology Introduction; Geological Publishing: Beijing, China, 1994. [Google Scholar]
- (GB/T50266-2013) National Standards Compilation Group of People’s Republic of China. Standard for Tests Method of Engineering Rock Masses; China Plan Press: Beijing, China, 2013. [Google Scholar]
- Sobel, L.H.; Newman, S.Z. Simplified, detailed, and isochronous analysis and test results for the in-plane elastic-plastic and creep behavior of an elbow. J. Press. Vessel Technol. 1986, 108, 297–304. [Google Scholar] [CrossRef]
- Martin, C.D.; Chandler, N.A. The progressive fracture of Lac du Bonnet granite. Int. J. Rock Mech. Min. Sci. Geomech. Abstr. 1994, 31, 643–659. [Google Scholar] [CrossRef]
- Li, L.Q.; Xu, W.Y.; Wang, W.; Guo, Y.Q.; Zhao, H.B. Estimation of long-term strength for Xiangjiaba Sandstone based on creep tests. Eng. Mech. 2010, 27, 127–136. [Google Scholar]
- Heap, M.J.; Baud, P.; Meredith, P.G.; Bell, A.F.; Main, I.G. Time-dependent brittle creep in darley dale sandstone. J. Geophys. Res. Solid Earth 2009, 114, 1–22. [Google Scholar] [CrossRef]
- Heap, M.J.; Baud, P.; Meredith, P.G.; Vinciguerra, S.; Bell, A.F.; Main, I.G. Brittle creep in basalt and its application to time-dependent volcano deformation. Earth Planet. Sci. Lett. 2010, 307, 71–82. [Google Scholar] [CrossRef]
- Brantut, N.; Heap, M.J.; Meredith, P.G.; Baud, P. Time-dependent cracking and brittle creep in crustal rocks: A review. J. Struct. Geol. 2013, 52, 17–43. [Google Scholar] [CrossRef]
- Małkowski, P.; Ostrowski, Ł.; Brodny, J. Analysis of Young’s modulus for Carboniferous sedimentary rocks and its relationship with uniaxial compressive strength using different methods of modulus determination. J. Sustain. Min. 2018, 17, 145–157. [Google Scholar] [CrossRef]
- Szczepanik, Z.; Milne, D.; Kostakis, K.; Eberhardt, E. Long term laboratory strength tests in hard rock. In Proceedings of the ISRM 2003—Technology Roadmap for Rock Mechanics, Sandton, South Africa, 8–12 September 2003; South African Institute of Mining and Metallurgy: Johannesburg, South African, 2003; pp. 1179–1184. [Google Scholar]
- Cui, X.H.; Fu, Z.L. Experimental study on rheology properties and long-term strength of rocks. Chin. J. Rock Mech. Eng. 2006, 25, 1021–1024. [Google Scholar]
- Liu, M.Y.; Xu, C.Y. Rheological properties of anhydrite and determination of its long time strength. China Min. Mag. 2000, 9, 53–55. [Google Scholar]
- Wang, J.; Liu, X.; Song, Z.; Zhao, B.; Jiang, B.; Huang, T. A whole process creeping model of salt rock under uniaxial compression based on inverse S function. Chin. J. Rock Mech. Eng. 2018, 37, 2446–2459. [Google Scholar]
- Zhang, Q.; Liu, J.; Liao, Y. Creep characteristics of three typical rock in layered salt cavern reservoir. Sci. Technol. Eng. 2019, 19, 297–303. [Google Scholar]









| Scheme | Specimen | Loading Stage | Stress Percentage/% | Axial Stress/MPa | Duration/d |
|---|---|---|---|---|---|
| I | RS-1 RS-2 | 1 | 25 | 6.25 | 7 |
| 2 | 45 | 11.25 | 7 | ||
| 3 | 65 | 16.25 | 7 | ||
| 4 | 85 | 21.25 | 7 | ||
| II | RS-3 RS-4 | 1 | 16 | 4 | 14 |
| 2 | 24 | 6 | 14 | ||
| 3 | 32 | 8 | 14 | ||
| 4 | 40 | 10 | 14 | ||
| 5 | 48 | 12 | 14 | ||
| 6 | 56 | 14 | 14 | ||
| 7 | 64 | 16 | 14 | ||
| 8 | 72 | 18 | 14 | ||
| 9 | 80 | 20 | 14 |
| Method | Long-Term Strength/MPa | |
|---|---|---|
| Isochronous stress-strain curve method | Scheme I | 14.5 |
| Scheme II | 12 | |
| Volume expansion method | 17.7 | |
| Damage initiation point method | 12.17 | |
© 2020 by the authors. Licensee MDPI, Basel, Switzerland. This article is an open access article distributed under the terms and conditions of the Creative Commons Attribution (CC BY) license (http://creativecommons.org/licenses/by/4.0/).
Share and Cite
Ding, G.; Liu, J.; Wang, L.; Wu, Z.; Zhou, Z. Discussion on Determination Method of Long-Term Strength of Rock Salt. Energies 2020, 13, 2460. https://doi.org/10.3390/en13102460
Ding G, Liu J, Wang L, Wu Z, Zhou Z. Discussion on Determination Method of Long-Term Strength of Rock Salt. Energies. 2020; 13(10):2460. https://doi.org/10.3390/en13102460
Chicago/Turabian StyleDing, Guosheng, Jianfeng Liu, Lu Wang, Zhide Wu, and Zhiwei Zhou. 2020. "Discussion on Determination Method of Long-Term Strength of Rock Salt" Energies 13, no. 10: 2460. https://doi.org/10.3390/en13102460
APA StyleDing, G., Liu, J., Wang, L., Wu, Z., & Zhou, Z. (2020). Discussion on Determination Method of Long-Term Strength of Rock Salt. Energies, 13(10), 2460. https://doi.org/10.3390/en13102460

