Analysis of the Failure Modes in the Polymer Electrolyte Fuel Cell Cold-Start Process—Anode Dehydration or Cathode Pore Blockage
Abstract
1. Introduction
2. Numerical Model
- (1)
- The gas mixture is incompressible due to the small pressure gradient;
- (2)
- The gas flow in GCs and porous components (e.g., GDLs and CLs) is laminar due to the low flow Reynolds number;
- (3)
- The porous parts of the PEFC are isotropic and homogeneous, which can be characterized by the effective porosity and permeability;
- (4)
- The water diffusion caused by the concentration gradient in MEM is considered, which is irrespective of the hydraulic pressure gradient;
- (5)
- The electrochemical double-layer effect in CLs and the gravitational effect are both ignored.
2.1. Governing Equations
- Mass conservationwhere is the porosity of CLs, MPL, and GDLs. and indicate the volume fraction of liquid water and ice in the porous pore. and denote the density and flow velocity of the gas mixture, respectively.
- Momentum conservationwhere and denote the pressure and dynamic viscosity of the gas mixture.
- Gas species conservationwhere is the mass fraction of the each species (including H2, O2, and H2O) in the gas mixture. is the effective diffusivity. The density of gas mixture can be expressed as .
- Membrane water conservationwhere and denote the equivalent weight and the density of MEM. indicates the ionomer volume fraction in CLs. is the membrane water content. is the membrane water diffusivity, which is defined as a function of temperature.
- Liquid water conservationwhere is the density of liquid water, and is the dynamic viscosity. is the permeability of liquid water in the porous components, and is the liquid pressure. The liquid water would exist in the form of supercooled water when the cell temperature is below the freezing point .
- Ice conservationwhere is the density of ice.
- Charge conservationwhere and denote the potential of the electrolyte and solid phase. and are effective ionic conductivity and electronic conductivity.
- Energy conservationwhere denotes the cell temperature, represents the effective volumetric heat capacities, and represents thermal conductivity of fluid and solid phase. The source terms , , , , , , and in the conservation Equations (1) to (9) indicate the volumetric sources, which are closely related to the phase change process of water in the PEFC.
2.2. Modeling of the Water Phase Change Processes
2.3. Numerical Method and Boundary Conditions
3. Results and Discussion
3.1. The Failure Modes in the Cold-Start Process
3.2. The Map of Failure Modes on the Plane
3.3. The Failure Mode in the Ambiguous Zone
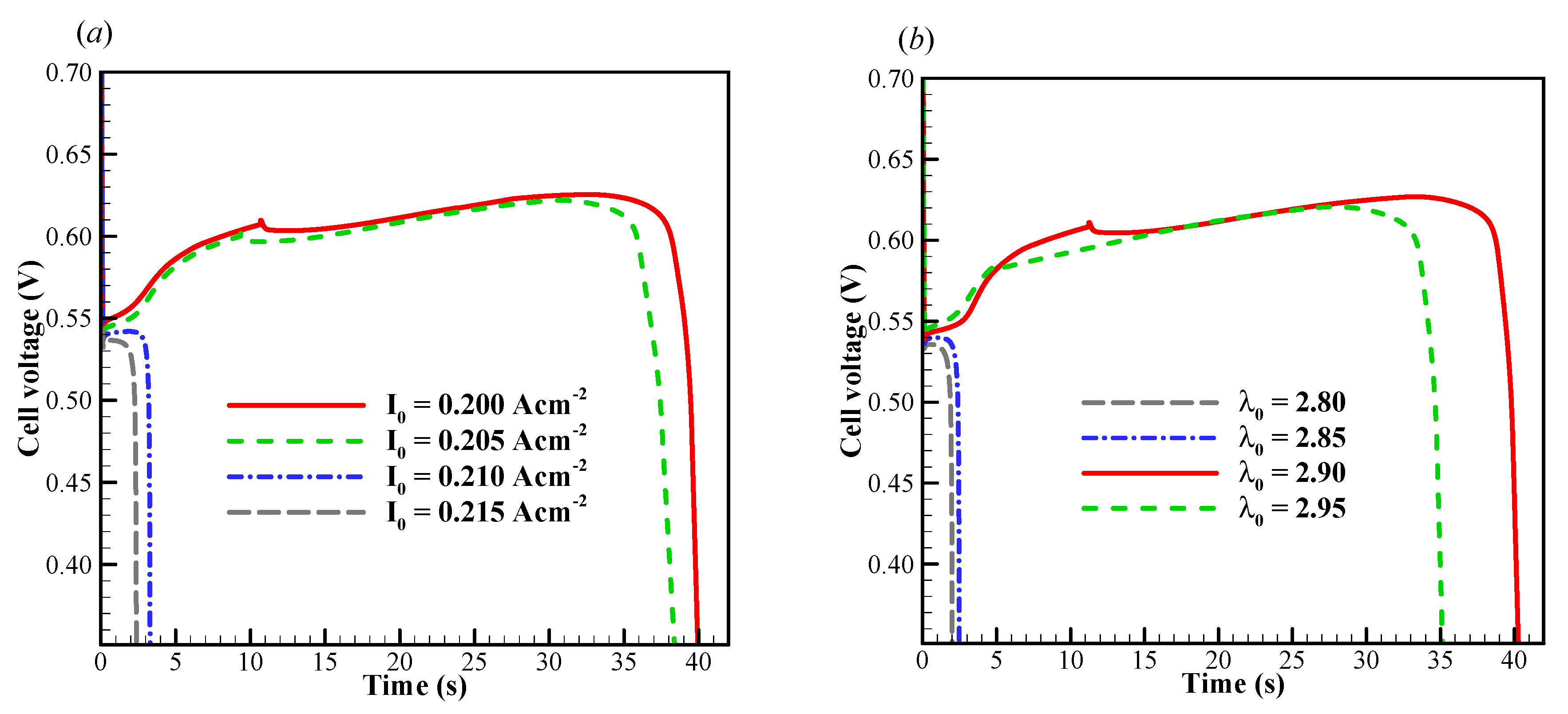
3.3.1. and
3.3.2. and
4. Conclusions
Author Contributions
Funding
Conflicts of Interest
Nomenclature
| Specific heat, J kg−1 K−1 | Viscosity, Pa s | ||
| Diffusivity, m2 s−1 | Density, kg m−3 | ||
| Equivalent weight, kg kmol−1 | Potential, V | ||
| Current density, A m−2 | Ionomer volume fraction | ||
| Thermal conductivity, W m−1 K−1 | Switching function | ||
| Permeability, m2 | Subscripts and Superscripts | ||
| Pressure, Pa | Initial | ||
| Volume fraction | Electrolyte | ||
| , | Source term | Effective | |
| Time, s | Fluid phase | ||
| Time step, s | Gas phase | ||
| Temperature, K | Ice | ||
| Super-cooling temperature, K | Liquid water | ||
| Velocity, m s−1 | Mass, for source term | ||
| Mass fraction | Membrane | ||
| Greek | Membrane water | ||
| Phase transfer rate, s−1 | The nth gas species | ||
| Thickness, mm | Solid phase | ||
| Porosity | Solid phase | ||
| Contact angle, | Energy, for source term | ||
| Conductivity, S m−1 | Momentum, for source term | ||
| Membrane water content | Charge, for source term | ||
References
- Tajiri, K.; Tabuchi, Y.; Wang, C.Y. Isothermal cold-start of polymer electrolyte fuel cells. J. Electrochem. Soc. 2007, 154, B147–B152. [Google Scholar] [CrossRef]
- Tajiri, K.; Tabuchi, Y.; Kagami, F.; Takahashi, S.; Yoshizawa, K.; Wang, C.H. Effects of operating and design parameters on PEFC cold-start. J. Power Sour. 2007, 165, 279–286. [Google Scholar] [CrossRef]
- Ge, S.; Wang, C.Y. Characteristics of subzero startup and water/ice formation on the catalyst layer in a polymer electrolyte fuel cell. Electrochim. Acta 2007, 52, 4825–4835. [Google Scholar] [CrossRef]
- Jiao, K.; Alaefour, I.E.; Karimi, G.; Li, X. Cold-start characteristics of proton exchange membrane fuel cells. Int. J. Hydrog. Energy 2011, 36, 11832–11845. [Google Scholar] [CrossRef]
- Lin, R.; Weng, Y.; Li, Y.; Lin, X. Internal behavior of segmented fuel cell during cold-start. Int. J. Hydrogen Energy 2014, 39, 16025–16035. [Google Scholar] [CrossRef]
- Tabe, Y.; Saito, M.; Fukui, K.; Chikahisa, T. Cold-start characteristics and freezing mechanism dependence on start-up temperature in a polymer electrolyte membrane fuel cell. J. Power Sour. 2012, 208, 366–373. [Google Scholar] [CrossRef]
- Hiramitsu, Y.; Mitsuzawa, N.; Okada, K.; Hori, M. Effects of ionomer content and oxygen permeation of the catalyst layer on proton exchange membrane fuel cell cold-start-up. J. Power Sour. 2010, 195, 1038–1045. [Google Scholar] [CrossRef]
- Thompson, E.L.; Jorne, J.; Gu, W.; Gasteiger, H.A. PEM fuel cell operation at −20° CI Electrode and membrane water (charge) storage. J. Electrochem. Soc. 2008, 155, B625–B634. [Google Scholar] [CrossRef]
- Hirakata, S.; Mochizuki, T.; Uchida, M.; Uchida, H. Investigation of the effect of pore diameter of gas diffusion layers on cold-start behavior and cell performance of polymer electrolyte membrane fuel cells. Electrochim. Acta 2013, 108, 304–312. [Google Scholar] [CrossRef]
- Xie, X.; Wang, R.; Jiao, K.; Zhang, G.; Zhou, J.; Du, Q. Investigation of the effect of micro-porous layer on PEM fuel cell cold-start operation. Renew. Energy 2018, 117, 125–134. [Google Scholar] [CrossRef]
- Wakatake, N.; Tabe, Y.; Chikahisa, T. Water transport in ionomer and ice formation during cold-startup with supercooled state in PEFC. ECS Trans. 2016, 75, 623–630. [Google Scholar] [CrossRef]
- Wang, Y.; Mukherjee, P.P.; Mishler, J.; Mukundan, R.; Borup, R.L. Cold-start of polymer electrolyte fuel cells: Three-stage startup characterization. Electrochim. Acta 2010, 55, 2636–2644. [Google Scholar] [CrossRef]
- Mao, L.; Wang, C.Y.; Tabuchi, Y. A multiphase model for cold-start of polymer electrolyte fuel cells. J. Electrochem. Soc. 2007, 154, B341–B351. [Google Scholar] [CrossRef]
- Jiang, F.; Fang, W.; Wang, C.Y. Non-isothermal cold-start of polymer electrolyte fuel cells. Electrochim. Acta 2007, 53, 610–621. [Google Scholar] [CrossRef]
- Meng, H. Numerical analyses of non-isothermal self-start behaviors of PEM fuel cells from subfreezing startup temperatures. Int. J. Hydrogen Energy 2008, 33, 5738–5747. [Google Scholar] [CrossRef]
- Meng, H. A PEM fuel cell model for cold-start simulations. J. Power Sources 2008, 178, 141–150. [Google Scholar] [CrossRef]
- Gwak, G.; Ko, J.; Ju, H. Numerical investigation of cold-start behavior of polymer-electrolyte fuel-cells from subzero to normal operating temperatures–effects of cell boundary and operating conditions. Int. J. Hydrogen Energy 2014, 39, 21927–21937. [Google Scholar] [CrossRef]
- Ko, J.; Ju, H. Comparison of numerical simulation results and experimental data during cold-start of polymer electrolyte fuel cells. Appl. Energy 2012, 94, 364–374. [Google Scholar] [CrossRef]
- Gwak, G.; Ju, H. A rapid start-up strategy for polymer electrolyte fuel cells at subzero temperatures based on control of the operating current density. Int. J. Hydrogen Energy 2015, 40, 11989–11997. [Google Scholar] [CrossRef]
- Thompson, E.L.; Capehart, T.W.; Fuller, T.J.; Jorne, J. Investigation of low-temperature proton transport in Nafion using direct current conductivity and differential scanning calorimetry. J. Electrochem. Soc. 2006, 153, A2351–A2362. [Google Scholar] [CrossRef]
- Jiao, K.; Li, X. Three-dimensional multiphase modeling of cold-start processes in polymer electrolyte membrane fuel cells. Electrochim. Acta 2009, 54, 6876–6891. [Google Scholar] [CrossRef]
- Jiao, K.; Li, X. Cold-start analysis of polymer electrolyte membrane fuel cells. Int. J. Hydrogen Energy 2010, 35, 5077–5094. [Google Scholar] [CrossRef]
- Jiao, K.; Li, X. Effects of various operating and initial conditions on cold-start performance of polymer electrolyte membrane fuel cells. Int. J. Hydrogen Energy 2009, 34, 8171–8184. [Google Scholar] [CrossRef]
- Ishikawa, Y.; Morita, T.; Nakata, K.; Shiozawa, M. Behavior of water below the freezing point in PEFCs. J. Power Sour. 2007, 163, 708–712. [Google Scholar] [CrossRef]
- Ishikawa, Y.; Hamada, H.; Uehara, M.; Shiozawa, M. Supercooled water behavior inside polymer electrolyte fuel cell cross-section below freezing temperature. J. Power Sour. 2008, 179, 547–552. [Google Scholar] [CrossRef]
- Mayrhuber, I.; Marone, F.; Stampanoni, M.; Schmidt, T.J.; Büchi, F.N. Fast X-ray tomographic microscopy: Investigating mechanisms of performance drop during freeze starts of polymer electrolyte fuel cells. ChemElectroChem 2015, 2, 1551–1559. [Google Scholar] [CrossRef]
- Roth, J.; Zurbrügg, M.R.; Irvine, S.; Marone, F. Investigation of PEFC freeze start by X-ray tomographic microscopy. ECS Trans. 2013, 58, 453–462. [Google Scholar] [CrossRef]
- Oberholzer, P.; Boillat, P.; Siegrist, R.; Perego, R.; Kästner, A.; Lehmann, E.; Scherer, G.G.; Wokaun, A. Cold-start of a PEFC visualized with high resolution dynamic in-plane neutron imaging. J. Electrochem. Soc. 2012, 159, B235–B245. [Google Scholar] [CrossRef]
- Stahl, P.; Biesdorf, J.; Boillat, P.; Friedrich, K.A. An investigation of PEFC sub-zero startup: Evidence of local freezing effects. J. Electrochem. Soc. 2016, 163, F1535–F1542. [Google Scholar] [CrossRef]
- Biesdorf, J.; Forner-Cuenca, A.; Siegwart, M.; Schmidt, T.J.; Boillat, P. Statistical analysis of isothermal cold-starts of PEFCs: Impact of gas diffusion layer properties. J. Electrochem. Soc. 2016, 163, F1258–F1266. [Google Scholar] [CrossRef]
- Stahl, P.; Biesdorf, J.; Boillat, P.; Friedrich, K.A. An investigation of PEFC sub-zero startup: Influence of initial conditions and residual water. Fuel Cells 2017, 17, 778–785. [Google Scholar] [CrossRef]
- Biesdorf, J.; Stahl, P.; Siegwart, M.; Schmidt, T.J. When size matters: Active area dependence of PEFC cold-start capability. J. Electrochem. Soc. 2015, 162, F1231–F1235. [Google Scholar] [CrossRef]
- Yang, Z.; Du, Q.; Huo, S.; Jiao, K. Effect of membrane electrode assembly design on the cold-start process of proton exchange membrane fuel cells. Int. J. Hydrogen Energy 2017, 42, 25372–25387. [Google Scholar] [CrossRef]
- Huo, S.; Jiao, K.; Park, J.W. On the water transport behavior and phase transition mechanisms in cold-start operation of PEM fuel cell. Appl. Energy 2019, 233, 776–788. [Google Scholar] [CrossRef]
- Yao, L.; Peng, J.; Zhang, J.; Zhang, Y. Numerical investigation of cold-start behavior of polymer electrolyte fuel cells in the presence of supercooled water. Int. J. Hydrogen Energy 2018, 43, 15505–15520. [Google Scholar] [CrossRef]
- U.S. Department of Energy. DOE Technical Targets for Fuel Cell Systems and Stacks for Transportation Applications. Available online: https://www.energy.gov/eere/fuelcells/doe-technical-targets-fuel-cell-systems-and-stacks-transportation-applications (assessed on 27 February 2019).
- Ge, N.; Banerjee, R.; Muirhead, D.; Lee, J.; Liu, H.; Shrestha, P.; Wong, A.K.C.; Jankovic, J.; Tam, M.; Susac, D.; et al. Membrane dehydration with increasing current density at high inlet gas relative humidity in polymer electrolyte membrane fuel cells. J. Power Sour. 2019, 422, 163–174. [Google Scholar] [CrossRef]
- Cheah, M.J.; Kevrekidis, I.G.; Benziger, J. Effect of interfacial water transport resistance on coupled proton and water transport across Nafion. J. Phys. Chem. B 2011, 115, 10239–10250. [Google Scholar] [CrossRef]
- Springer, T.E.; Zawodzinski, T.A.; Gottesfeld, S. Polymer electrolyte fuel cell model. J. Electrochem. Soc. 1991, 138, 2334–2342. [Google Scholar] [CrossRef]
- Gallagher, K.G.; Pivovar, B.S.; Fuller, T.F. Electro-osmosis and water uptake in polymer electrolytes in equilibrium with water vapor at low temperatures. J. Electrochem. Soc. 2009, 156, B330–B338. [Google Scholar] [CrossRef]
- Bertolini, D.; Cassettari, M.; Salvetti, G. Nucleation process and solidification rate of super-cooled water. Phys. Scr. 1988, 38, 404. [Google Scholar] [CrossRef]
- Alpert, P.A.; Knopf, D.A. Analysis of isothermal and cooling-rate-dependent immersion freezing by a unifying stochastic ice nucleation model. Atmos. Chem. Phys. 2016, 16, 2083–2107. [Google Scholar] [CrossRef]
- Jiang, S.; ter Horst, J.H. Crystal nucleation rates from probability distributions of induction times. Cryst. Growth Des. 2010, 11, 256–261. [Google Scholar] [CrossRef]
- Dursch, T.J.; Trigub, G.J.; Lujan, R.; Liu, J.F.; Radke, R.M.C.J.; Weber, A.Z. Ice-crystallization kinetics in the catalyst layer of a proton-exchange-membrane fuel cell. J. Electrochem. Soc. 2014, 161, F199–F207. [Google Scholar] [CrossRef]
- Pineri, M.; Gebel, G.; Davies, R.J.; Diat, O. Water sorption–desorption in Nafion® membranes at low temperature, probed by micro X-ray diffraction. J. Power Sour. 2007, 172, 587–596. [Google Scholar] [CrossRef]
- Plazanet, M.; Sacchetti, F.; Petrillo, C.; Demé, B.; Bartolini, P.; Torre, R. Water in a polymeric electrolyte membrane: Sorption/desorption and freezing phenomena. J. Membr. Sci. 2014, 453, 419–424. [Google Scholar] [CrossRef]
- Guillermo, A.; Gebel, G.; Mendil-Jakani, H.; Pinton, E. NMR and pulsed field gradient NMR approach of water sorption properties in Nafion at low temperature. J. Phys. Chem. B 2009, 113, 6710–6717. [Google Scholar] [CrossRef]
- Schmittinger, W.; Vahidi, A. A review of the main parameters influencing long-term performance and durability of PEM fuel cells. J. Power Sour. 2008, 180, 1–14. [Google Scholar] [CrossRef]
- Chacko, C.; Ramasamy, R.; Kim, S.; Khandelwal, M.; Mench, M. Characteristic behavior of polymer electrolyte fuel cell resistance during cold-start. J. Electrochem. Soc. 2008, 155, B1145–B1154. [Google Scholar] [CrossRef]














| Description | Symbol | Value | Unit |
|---|---|---|---|
| Length, width and height of GC | - | 50/1.0/1.0 | mm |
| Thickness of BP/GDL/MPL/CL/MEM | 2.0/0.2/0.03/0.01/0.01 | mm | |
| Porosity of GDL/MPL/CL | 0.78/0.6/0.43 | - | |
| Contact angle of GDL/MPL/CL | 140/100/100 | ||
| Permeability of GDL/MPL/CL | 10−12/10−13/10−13 | m2 | |
| Ionomer volume fraction in CL | 0.15 | - | |
| Equivalent weight of MEM | 1100 | kg kmol−1 | |
| Density of BP/GDL/MPL/CL/MEM | 2230/1230/1230/1230/1980 | kg m−3 | |
| Specific heat of BP/GDL/MPL/CL/MEM | 1071/462/568/2683/833 | J kg−1K−1 | |
| Thermal conductivity of BP/GDL/MPL/CL/MEM | 20/1.5/1.0/1.2/0.95 | Wm−1K−1 | |
| Electronic conductivity of BP/GDL/MPL/CL | 20000/300/300/300 | S m−1 |
| Description | Type/Value | Unit |
|---|---|---|
| Anode/cathode inlet | mass flow inlet | Kg s−1 |
| Stoichiometry ratios of anode/cathode inlet | 2.0 | - |
| Relative humidity of anode/cathode inlet | 0.0 | - |
| Temperature of anode inlet | −20/−30 | °C |
| Temperature of cathode inlet | −20/−30 | °C |
| Pressure of anode/cathode outlet | 1.0 | atm |
| Potential of solid phase on anode BP end surfaces | 0 | V |
| Potential of solid phase on cathode BP end surfaces | galvanostatic | |
| Potential of electrolyte phase on BPs end surfaces | 0 | - |
| Heat transfer characteristics of BP end surfaces | adiabatic | - |
| Sides of the computational domain | symmetric | - |
| Startup Condition | Freezing Occurs Earlier | Freezing Occurs Later |
|---|---|---|
| , | Anode dehydration (Process P1) | Cathode pore blockage (Process P2) |
| , | Cathode pore blockage (Process P3) | Anode dehydration (Process P4) |
© 2020 by the authors. Licensee MDPI, Basel, Switzerland. This article is an open access article distributed under the terms and conditions of the Creative Commons Attribution (CC BY) license (http://creativecommons.org/licenses/by/4.0/).
Share and Cite
Yao, L.; Ma, F.; Peng, J.; Zhang, J.; Zhang, Y.; Shi, J. Analysis of the Failure Modes in the Polymer Electrolyte Fuel Cell Cold-Start Process—Anode Dehydration or Cathode Pore Blockage. Energies 2020, 13, 256. https://doi.org/10.3390/en13010256
Yao L, Ma F, Peng J, Zhang J, Zhang Y, Shi J. Analysis of the Failure Modes in the Polymer Electrolyte Fuel Cell Cold-Start Process—Anode Dehydration or Cathode Pore Blockage. Energies. 2020; 13(1):256. https://doi.org/10.3390/en13010256
Chicago/Turabian StyleYao, Lei, Fangfang Ma, Jie Peng, Jianbo Zhang, Yangjun Zhang, and Jianpeng Shi. 2020. "Analysis of the Failure Modes in the Polymer Electrolyte Fuel Cell Cold-Start Process—Anode Dehydration or Cathode Pore Blockage" Energies 13, no. 1: 256. https://doi.org/10.3390/en13010256
APA StyleYao, L., Ma, F., Peng, J., Zhang, J., Zhang, Y., & Shi, J. (2020). Analysis of the Failure Modes in the Polymer Electrolyte Fuel Cell Cold-Start Process—Anode Dehydration or Cathode Pore Blockage. Energies, 13(1), 256. https://doi.org/10.3390/en13010256
