An Improved Model Equation Based on a Gaussian Function Trinomial for State of Charge Estimation of Lithium-ion Batteries
Abstract
1. Introduction
2. Battery Model and SOC Estimation Approach
2.1. Physical and Mathematical Description of Lithium-ion Battery
2.2. SOC Estimation Approach
3. Establishment of Model Equation Based on Gaussian Function Trinomial
3.1. Subsection
Parameter Identification
3.2. Establishment of UOCV = f(SOC) Based on the Gaussian Function
3.3. Model Equation for SOC Estimation
4. Experiments
4.1. Battery Test Bench
4.2. Experiment Projects
4.2.1. Experiments for Parameter Identification
4.2.2. Experiments for Verification
5. Results and Discussion
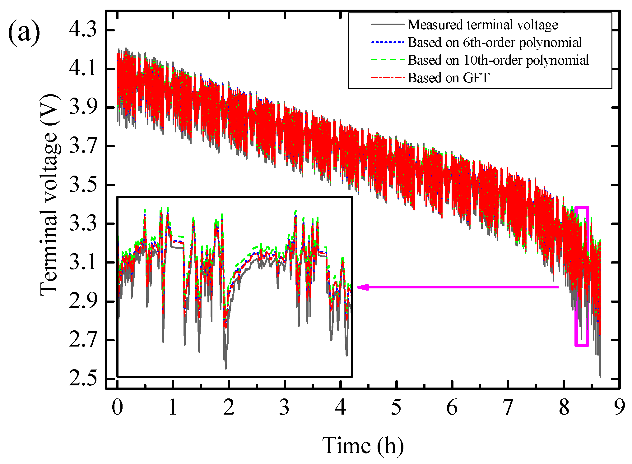
5.1. Accuracy Verification for Model Equations
5.2. Accuracy Verification for SOC Estimation
6. Conclusions
Author Contributions
Funding
Acknowledgments
Conflicts of Interest
References
- Shaukat, N.; Khan, B.; Ali, S.M.; Mehmood, C.A.; Khan, J.; Farid, U.; Majid, M.; Anwar, S.M.; Jawad, M.; Ullah, Z. A survey on electric vehicle transportation within smart grid system. Renew. Sustain. Energy Rev. 2018, 81, 1329–1349. [Google Scholar] [CrossRef]
- Xiong, R.; Cao, J.; Yu, Q.; He, H.; Sun, F. Critical Review on the Battery State of Charge Estimation Methods for Electric Vehicles. IEEE Access 2018, 6, 1832–1843. [Google Scholar] [CrossRef]
- Hannan, M.A.; Lipu, M.S.H.; Hussain, A.; Mohamed, A. A review of lithium-ion battery state of charge estimation and management system in electric vehicle applications: Challenges and recommendations. Renew. Sustain. Energy Rev. 2017, 78, 834–854. [Google Scholar] [CrossRef]
- Li, Z.; Huang, J.; Liaw, B.Y.; Zhang, J. On state-of-charge determination for lithium-ion batteries. J. Power Sources 2017, 348, 281–301. [Google Scholar] [CrossRef]
- Hu, X.; Li, S.; Peng, H. A comparative study of equivalent circuit models for Li-ion batteries. J. Power Sources 2012, 198, 359–367. [Google Scholar] [CrossRef]
- Schmidt, A.P.; Bitzer, M.; Imre, Á.W.; Guzzella, L. Experiment-driven electrochemical modeling and systematic parameterization for a lithium-ion battery cell. J. Power Sources 2010, 195, 5071–5080. [Google Scholar] [CrossRef]
- Smith, K.A.; Rahn, C.D.; Wang, C.Y. Model-Based Electrochemical Estimation and Constraint Management for Pulse Operation of Lithium Ion Batteries. IEEE Trans. Control Syst. Technol. 2010, 18, 654–663. [Google Scholar] [CrossRef]
- He, H.; Xiong, R.; Guo, H.; Li, S. Comparison study on the battery models used for the energy management of batteries in electric vehicles. Energy Convers. Manag. 2012, 64, 113–121. [Google Scholar] [CrossRef]
- Jiang, J.; Zhang, C. Fundamentals and Applications of Lithium-Ion Batteries in Electric Drive Vehicles; John Wiley: Singapore, 2015. [Google Scholar]
- Zhang, C.; Allafi, W.; Dinh, Q.; Ascencio, P.; Marco, J. Online estimation of battery equivalent circuit model parameters and state of charge using decoupled least squares technique. Energy 2018, 142, 678–688. [Google Scholar] [CrossRef]
- He, H.; Zhang, X.; Xiong, R.; Xu, Y.; Guo, H. Online model-based estimation of state-of-charge and open-circuit voltage of lithium-ion batteries in electric vehicles. Energy 2012, 39, 310–318. [Google Scholar] [CrossRef]
- Pan, H.; Lü, Z.; Lin, W.; Li, J.; Chen, L. State of charge estimation of lithium-ion batteries using a grey extended Kalman filter and a novel open-circuit voltage model. Energy 2017, 138, 764–775. [Google Scholar] [CrossRef]
- Zheng, F.; Xing, Y.; Jiang, J.; Sun, B.; Kim, J.; Pecht, M. Influence of different open circuit voltage tests on state of charge online estimation for lithium-ion batteries. Appl. Energy 2016, 183, 513–525. [Google Scholar] [CrossRef]
- Guo, X.; Kang, L.; Yao, Y.; Huang, Z.; Li, W. Joint Estimation of the Electric Vehicle Power Battery State of Charge Based on the Least Squares Method and the Kalman Filter Algorithm. Energies 2016, 9, 100. [Google Scholar] [CrossRef]
- Yang, J.; Bing, X.; Shang, Y.; Huang, W.; Mi, C.C. Adaptive State-of-charge Estimation Based on a Split Battery Model for Electric Vehicle Applications. IEEE Trans. Veh. Technol. 2017, 66, 10889–10898. [Google Scholar] [CrossRef]
- Lin, C.; Hao, M.; Xiong, R.; Shen, W. A novel multi-model probability battery state of charge estimation approach for electric vehicles using H-infinity algorithm. Appl. Energy 2016, 166, 76–83. [Google Scholar] [CrossRef]
- Wei, J.; Dong, G.; Chen, Z. On-board adaptive model for state of charge estimation of lithium-ion batteries based on Kalman filter with proportional integral-based error adjustment. J. Power Sources 2017, 365, 308–319. [Google Scholar] [CrossRef]
- Chen, Z.; Fu, Y.; Mi, C.C. State of Charge Estimation of Lithium-Ion Batteries in Electric Drive Vehicles Using Extended Kalman Filtering. IEEE Trans. Veh. Technol. 2013, 62, 1020–1030. [Google Scholar] [CrossRef]
- Li, D.; Ouyang, J.; Li, H.; Wan, J. State of charge estimation for LiMn 2 O 4 power battery based on strong tracking sigma point Kalman filter. J. Power Sources 2015, 279, 439–449. [Google Scholar] [CrossRef]
- Li, W.; Liang, L.; Liu, W.; Wu, X. State of Charge Estimation of Lithium-Ion Batteries Using a Discrete-Time Nonlinear Observer. IEEE Trans. Ind. Electron. 2017, 64, 8557–8565. [Google Scholar] [CrossRef]
- Tian, Y.; Li, D.; Tian, J.; Xia, B. State of charge estimation of lithium-ion batteries using an optimal adaptive gain nonlinear observer. Electrochim. Acta 2017, 225, 225–234. [Google Scholar] [CrossRef]
- Xia, B.; Sun, Z.; Zhang, R.; Lao, Z.; Xia, B.; Sun, Z.; Zhang, R.; Lao, Z. A cubature particle filter algorithm to estimate the state of the charge of lithium-ion batteries based on a second-order equivalent circuit model. Energies 2017, 10, 457. [Google Scholar] [CrossRef]
- Xiong, R.; He, H.; Sun, F.; Zhao, K. Evaluation on State of Charge Estimation of Batteries with Adaptive Extended Kalman Filter by Experiment Approach. IEEE Trans. Veh. Technol. 2013, 62, 108–117. [Google Scholar] [CrossRef]
- Wang, Y.; Liu, C.; Pan, R.; Chen, Z. Modeling and state-of-charge prediction of lithium-ion battery and ultracapacitor hybrids with a co-estimator. Energy 2017, 121, 739–750. [Google Scholar] [CrossRef]
- Sun, F.; Rui, X.; He, H. Estimation of state-of-charge and state-of-power capability of lithium-ion battery considering varying health conditions. J. Power Sources 2014, 259, 166–176. [Google Scholar] [CrossRef]
- Wang, Q.; Wang, J.; Zhao, P.; Kang, J.; Yan, F.; Du, C. Correlation between the model accuracy and model-based SOC estimation. Electrochim. Acta 2017, 228, 146–159. [Google Scholar] [CrossRef]
- Mejdoubi, A.E.; Oukaour, A.; Chaoui, H.; Gualous, H.; Sabor, J.; Slamani, Y. State-of-Charge and State-of-Health Lithium-Ion Batteries’ Diagnosis According to Surface Temperature Variation. IEEE Trans. Ind. Electron. 2016, 63, 2391–2402. [Google Scholar] [CrossRef]
- Wu, W.; Yang, X.; Zhang, G.; Chen, K.; Wang, S. Experimental investigation on the thermal performance of heat pipe-assisted phase change material based battery thermal management system. Energy Convers. Manag. 2017, 138, 486–492. [Google Scholar] [CrossRef]
- Zhang, W.; Shi, W.; Ma, Z. Adaptive unscented Kalman filter based state of energy and power capability estimation approach for lithium-ion battery. J. Power Sources 2015, 289, 50–62. [Google Scholar] [CrossRef]
- Wang, Y.; Zhang, C.; Chen, Z. An adaptive remaining energy prediction approach for lithium-ion batteries in electric vehicles. J. Power Sources 2016, 305, 80–88. [Google Scholar] [CrossRef]
- Dong, G.; Chen, Z.; Wei, J.; Zhang, C.; Wang, P. An online model-based method for state of energy estimation of lithium-ion batteries using dual filters. J. Power Sources 2016, 301, 277–286. [Google Scholar] [CrossRef]
- Plett, G.L. Extended Kalman filtering for battery management systems of LiPB-based HEV battery packs: Part 1. Background. J. Power Sources 2004, 134, 277–292. [Google Scholar] [CrossRef]
- Plett, G.L. Extended Kalman filtering for battery management systems of LiPB-based HEV battery packs: Part 2. Modeling and identification. J. Power Sources 2004, 134, 262–276. [Google Scholar] [CrossRef]
- Plett, G.L. Extended Kalman filtering for battery management systems of LiPB-based HEV battery packs: Part 3. State and parameter estimation. J. Power Sources 2004, 134, 252–261. [Google Scholar] [CrossRef]
- Arasaratnam, I.; Haykin, S. Cubature Kalman Filters. IEEE Trans. Autom. Control 2009, 54, 1254–1269. [Google Scholar] [CrossRef]
- Xia, B.; Wang, H.; Tian, Y.; Wang, M.; Sun, W.; Xu, Z. State of Charge Estimation of Lithium-Ion Batteries Using an Adaptive Cubature Kalman Filter. Energies 2015, 8, 5916–5936. [Google Scholar] [CrossRef]
- Abu-Sharkh, S.; Doerffel, D. Rapid test and non-linear model characterisation of solid-state lithium-ion batteries. J. Power Sources 2004, 130, 266–274. [Google Scholar] [CrossRef]
- Gholizadeh, M.; Salmasi, F.R. Estimation of State of Charge, Unknown Nonlinearities, and State of Health of a Lithium-Ion Battery Based on a Comprehensive Unobservable Model. IEEE Trans. Ind. Electron. 2013, 61, 1335–1344. [Google Scholar] [CrossRef]
- Berrut, J.P.; Trefethen, L.N. Barycentric Lagrange interpolation. SIAM Rev. 2004, 46, 501–517. [Google Scholar] [CrossRef]
- Higham, N.J. The numerical stability of barycentric Lagrange interpolation. IMA J. Numer. Anal. 2004, 24, 547–556. [Google Scholar] [CrossRef]
- Sauer, T. Numerical Analysis: International Edition; Pearson Schweiz AG: Zug, Switzerland, 2011; pp. 510–512. [Google Scholar]
- Dereniak, E.L.; Kupinski, M.; Hagen, N. Gaussian profile estimation in one dimension. Appl. Opt. 2007, 46, 5374–5383. [Google Scholar]
- Ciuffo, B.; Marotta, A.; Tutuianu, M.; Anagnostopoulos, K.; Fontaras, G.; Pavlovic, J.; Serra, S.; Tsiakmakis, S.; Zacharof, N. The development of the World-wide Harmonized Test Procedure for Light Duty Vehicles (WLTP) and the pathway for its implementation into the EU legislation. Transp. Res. Rec. J. Transp. Res. Board 2015, 2503, 110–118. [Google Scholar] [CrossRef]










| SOC (%) | OCV (V) | R0 (mΩ) | Rp1 (mΩ) | Cp1 (kF) | Rp2 (mΩ) | Cp2 (kF) |
|---|---|---|---|---|---|---|
| 100 | 4.179 | 38.27 | 40.11 | 1.03 | 4.53 | 406.1 |
| 95.08 | 4.115 | 36.12 | 22.43 | 2.24 | 3.76 | 446.0 |
| 90.16 | 4.087 | 34.09 | 21.59 | 3.09 | 2.99 | 523.1 |
| 85.25 | 4.062 | 33.74 | 20.49 | 3.62 | 5.32 | 371.0 |
| 80.33 | 4.017 | 32.43 | 19.23 | 2.32 | 10.36 | 168.9 |
| 75.41 | 3.965 | 32.25 | 18.45 | 1.91 | 12.66 | 165.8 |
| 70.49 | 3.911 | 32.34 | 17.14 | 1.65 | 11.32 | 146.5 |
| 65.58 | 3.883 | 32.23 | 18.75 | 2.36 | 10.60 | 183.0 |
| 60.66 | 3.838 | 31.86 | 18.63 | 2.68 | 8.03 | 481.0 |
| 55.74 | 3.783 | 31.86 | 20.04 | 2.57 | 4.54 | 475.2 |
| 50.82 | 3.736 | 31.87 | 21.59 | 2.69 | 4.51 | 439.7 |
| 45.91 | 3.693 | 32.32 | 23.05 | 3.10 | 5.26 | 401.2 |
| 40.99 | 3.657 | 32.61 | 23.53 | 3.51 | 7.23 | 299.0 |
| 36.07 | 3.624 | 33.07 | 22.64 | 4.13 | 9.26 | 244.5 |
| 31.15 | 3.589 | 33.43 | 20.84 | 5.45 | 9.20 | 201.8 |
| 26.24 | 3.542 | 34.17 | 17.62 | 4.43 | 10.51 | 400.3 |
| 21.32 | 3.490 | 35.19 | 21.44 | 2.32 | 8.90 | 515.0 |
| 16.40 | 3.442 | 36.39 | 31.68 | 1.96 | 6.60 | 407.1 |
| 11.48 | 3.371 | 39.07 | 35.35 | 1.70 | 13.68 | 279.5 |
| 6.56 | 3.264 | 41.29 | 45.49 | 1.06 | 29.39 | 168.1 |
| 0 | 2.999 | 50.99 | 64.74 | 0.51 | 29.20 | 74.8 |
| Coefficient | a | b | c |
|---|---|---|---|
| i = 1 | 4.1757 | 116.9738 | 108.2812 |
| i = 2 | 1.2340 | 21.2265 | 48.8118 |
| i = 3 | 0.6846 | 0.3064 | 25.8738 |
| Cell Type | Rated Capacity | Nominal Voltage | Charging/Discharging End Voltage | Maximum Continuous Discharge Current |
|---|---|---|---|---|
| NCR18650GA | 3350 mAh 1 | 3.6 V | 4.2 V/2.5 V | 10 A |
| Model Function | Max AE (V) | MAE (V) | RMSE (V) |
|---|---|---|---|
| 3rd-order polynomial | 0.259 | 0.023 | 0.029 |
| 6th-order polynomial | 0.213 | 0.013 | 0.019 |
| 10th-order polynomial | 0.215 | 0.013 | 0.020 |
| GFT | 0.211 | 0.012 | 0.018 |
| Algorithm | Model Function | Max AE (%) | MAE (%) | RMSE (%) |
|---|---|---|---|---|
| EKF | 3rd-order polynomial | 3.874 | 1.581 | 1.862 |
| 6th-order polynomial | 1.956 | 0.731 | 0.881 | |
| 10th-order polynomial | 2.720 | 1.296 | 1.459 | |
| GFT | 1.826 | 0.608 | 0.700 | |
| CKF | 3rd-order polynomial | 3.117 | 1.321 | 1.570 |
| 6th-order polynomial | 1.786 | 0.679 | 0.795 | |
| 10th-order polynomial | 2.563 | 1.091 | 1.238 | |
| GFT | 1.695 | 0.590 | 0.689 | |
| ACKF | 3rd-order polynomial | 3.746 | 1.381 | 1.684 |
| 6th-order polynomial | 1.518 | 0.664 | 0.721 | |
| 10th-order polynomial | 1.934 | 1.156 | 1.229 | |
| GFT | 1.255 | 0.513 | 0.538 |
| Model Equation | Runtime (s) | ||
|---|---|---|---|
| EKF | CKF | ACKF | |
| Based on 6th-polynomial | 22.13 | 27.70 | 30.02 |
| Based on GFT | 21.92 | 27.52 | 29.84 |
© 2019 by the authors. Licensee MDPI, Basel, Switzerland. This article is an open access article distributed under the terms and conditions of the Creative Commons Attribution (CC BY) license (http://creativecommons.org/licenses/by/4.0/).
Share and Cite
Linghu, J.; Kang, L.; Liu, M.; Hu, B.; Wang, Z. An Improved Model Equation Based on a Gaussian Function Trinomial for State of Charge Estimation of Lithium-ion Batteries. Energies 2019, 12, 1366. https://doi.org/10.3390/en12071366
Linghu J, Kang L, Liu M, Hu B, Wang Z. An Improved Model Equation Based on a Gaussian Function Trinomial for State of Charge Estimation of Lithium-ion Batteries. Energies. 2019; 12(7):1366. https://doi.org/10.3390/en12071366
Chicago/Turabian StyleLinghu, Jinqing, Longyun Kang, Ming Liu, Bihua Hu, and Zefeng Wang. 2019. "An Improved Model Equation Based on a Gaussian Function Trinomial for State of Charge Estimation of Lithium-ion Batteries" Energies 12, no. 7: 1366. https://doi.org/10.3390/en12071366
APA StyleLinghu, J., Kang, L., Liu, M., Hu, B., & Wang, Z. (2019). An Improved Model Equation Based on a Gaussian Function Trinomial for State of Charge Estimation of Lithium-ion Batteries. Energies, 12(7), 1366. https://doi.org/10.3390/en12071366
