The Evaluation of Outdoor Thermal Sensation and Outdoor Energy Efficiency of a Commercial Pedestrianized Zone
Abstract
1. Introduction
2. Methods
2.1. Subsection
2.2. Methodological Framework
2.3. On-Site Measurement
2.4. The Numerical Simulation
2.4.1. The Simulated Conditions in This Study
2.4.2. The Simulated Model in ENVI-Met
2.4.3. The Validation between the Simulated and Measured Data
3. Discussions and Results
3.1. Spatial Distribution of PET at Hottest Time
3.2. Cooling Effect of Different Parameters
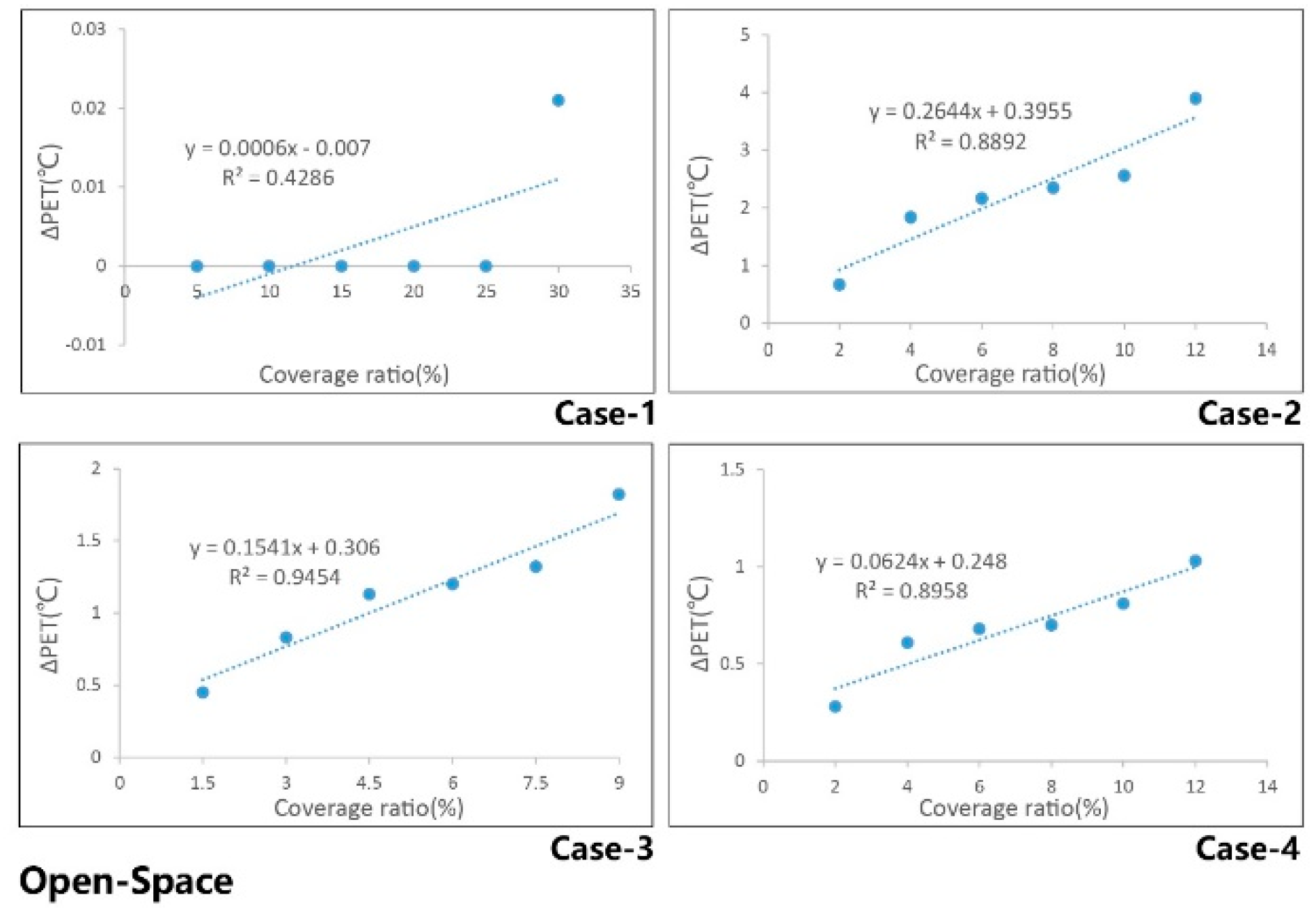
3.3. The PET Improvement (∆PET) of New Cases
3.4. Correlation between Different Parameters and Humans’ Thermal Comfort
4. Discussion and Conclusions
- In open space, it is obvious that shading is the only effective way to ameliorate heat stress in extreme summer, and therefore, increasing coverage ratio of tree is very necessary.
- In canyon space, increasing the building height can impede the solar radiation and improve outdoor thermal comfort.
- Increasing a landscape parameter, such as grass, is recommended. Although the cooling extent of grass seems to be limited, it can also improve the subjective sensation of humans by supplying attractive scenery.
- Reducing the coverage ratio of hardened ground is another important way to reduce heat stress. The results here show that pavement material with higher albedo can provide better thermal comfort.
- In this study, we only consider a single tree species. It is very important to consider more species in future work.
- It is important to mention that the building façade material in ENVI-met software is assumed to be the same material, but this may not be the case in the real world.
- In this study, we do not consider other parameters, such as water bodies and so on.
Author Contributions
Funding
Conflicts of Interest
References
- Rosenzweig, C.; Solecki, W.D.; Hammer, S.A.; Mehrotra, S. Climate Change and Cities: First Assessment Report of the Urban Climate Change Research Network; Cambridge University Press: Cambridge, UK, 2011. [Google Scholar]
- Tan, Z.; Lau, K.K.L.; Ng, E. Urban tree design approaches for mitigating daytime urban heat island effects in a high-density urban environment. Energy Build. 2016, 114, 265–274. [Google Scholar] [CrossRef]
- Huang, K.T.; Li, Y.J. Impact of street canyon typology on building’s peak cooling energy demand: A parametric analysis using orthogonal experiment. Energy Build. 2017, 154, 448–464. [Google Scholar] [CrossRef]
- TDCFCB. Thermal Design Code for Civil Buildings, GB 50176–51993. Available online: https://zhidao.baidu.com/question/492628757.html (accessed on 5 April 2019).
- CSADI. The Commercial Building Design Specification. 2018. Available online: https://wenku.baidu.com/view/4c4a9df76529647d272852bb.html (accessed on 5 April 2019).
- Ignatius, M.; Wong, N.H.; Jusuf, S.K. Urban microclimate analysis with consideration of local ambient temperature, external heat gain, urban ventilation, and outdoor thermal comfort in the tropics. Sustain. Cities Soc. 2015, 19, 121–135. [Google Scholar] [CrossRef]
- Krüger, E.; Pearlmutter, D.; Rasia, F. Evaluating the impact of canyon geometry and orientation on cooling loads in a high-mass building in a hot dry environment. Appl. Energy 2010, 87, 2068–2078. [Google Scholar] [CrossRef]
- Zhang, Y.; Du, X.; Shi, Y. Effects of street canyon design on pedestrian thermal comfort in the hot-humid area of China. Int. J. Biometeorol. 2017, 61, 1421–1432. [Google Scholar] [CrossRef] [PubMed]
- Cao, A.; Li, Q.; Meng, Q. Effects of orientation of urban roads on the local thermal environment in Guang Zhou city. Procedia Eng. 2015, 121, 2075–2082. [Google Scholar] [CrossRef]
- Morakinyo, T.E.; Lam, Y.F. Simulation study on the impact of tree-configuration, planting pattern and wind condition on street-canyon’ s micro-climate and thermal comfort. Build. Environ. 2016, 103, 262–275. [Google Scholar] [CrossRef]
- Morakinyo, T.E.; Kong, L.; Lau, K.K.-L.; Yuan, C.; Ng, E. A study on the impact of shadow-cast and tree species on in-canyon and neighborhood’s thermal comfort. Build. Environ. 2017, 115, 1–17. [Google Scholar] [CrossRef]
- Erell, E.; Pearlmutter, D.; Boneh, D.; Kutiel, P.B. Effect of high-albedo materials on pedestrian heat stress in urban street canyons. Urban Clim. 2014, 10, 367–386. [Google Scholar] [CrossRef]
- Ma, X.; Fukuda, H.; Zhou, D.; Gao, W.; Wang, M. The study on outdoor pedestrian thermal comfort in blocks: A case study of the Dao He Old Block in hot-summer and cold-winter area of southern China. Sol. Energy 2019, 179, 210–225. [Google Scholar]
- Memon, R.A.; Leung, D.Y.C.; Liu, C.-H. Effects of building aspect ratio and wind speed on air temperatures in urban-like street canyons. Build. Environ. 2010, 45, 176–188. [Google Scholar] [CrossRef]
- Bowler, D.E.; Buyung-Ali, L.; Knight, T.M.; Pullin, A.S. Urban greening to cool towns and cities: A systematic review of the empirical evidence. Landsc. Urban Plan. 2010, 97, 147–155. [Google Scholar] [CrossRef]
- Ai, Z.T.; Mak, C.M. CFD simulation of flow in a long street canyon under a perpendicular wind direction: Evaluation of three computational settings. Build. Environ. 2017, 114, 293–306. [Google Scholar] [CrossRef]
- Pearlmutter, D.; Berliner, P.; Shaviv, E. Integrated modeling of pedestrian energy exchange and thermal comfort in urban street canyons. Build. Environ. 2007, 42, 2396–2409. [Google Scholar] [CrossRef]
- Oke, T.R. Boundary Layer Climates; Routledge: Abingdon, UK, 1988; Volume 5, pp. 103–113. [Google Scholar]
- Johnson, G.T.; Oke, T.R.; Lyons, T.J.; Steyn, D.G.; Watson, I.D.; Voogt, J.A. Simulation of surface urban heat islands under ‘IDEAL’ conditions at night part 1: Theory and tests against field data. Bound.-Layer Meteorol. 1991, 56, 275–294. [Google Scholar] [CrossRef]
- McPherson, E.G.; Nowak, D.J.; Rowntree, R.A. Chicago’s Urban Forest Ecosystem: Results of the Chicago Urban Forest Climate Project; US Department of Agriculture, Forest Service, Northeastern Forest Experiment Station: Radnor, PA, USA, 1994.
- Shashua-Bar, L.; Hoffman, M.E. Quantitative evaluation of passive cooling of the UCL microclimate in hot regions in summer, case study: Urban streets and courtyards with trees. Build. Environ. 2004, 39, 1087–1099. [Google Scholar] [CrossRef]
- Dimoudi, A.; Nikolopoulou, M. Vegetation in the urban environment: Microclimatic analysis and benefits. Energy Build. 2003, 35, 69–76. [Google Scholar] [CrossRef]
- Yang, S.R.; Lin, T.P. An integrated outdoor spaces design procedure to relieve heat stress in hot and humid regions. Build. Environ. 2016, 99, 149–160. [Google Scholar] [CrossRef]
- Yang, X.; Zhao, L.; Bruse, M.; Meng, Q. Evaluation of a microclimate model for predicting the thermal behavior of different ground surfaces. Build. Environ. 2013, 60, 93–104. [Google Scholar] [CrossRef]
- Gagge, A.P.; Fobelets, A.P.; Berglund, L.G. A standard predictive index of human response to the thermal environment. ASHRAE Trans. 1986, 92, 709–731. [Google Scholar]
- Staiger, H.; Bucher, K.; Jendritzky, G. Die physiologisch gerechte Bewertung von Wärmebelastung und Kältestress beim Aufenthalt im Freien in der Maßzahl Grad Celsius. Ann. Meteorol. 1997, 33, 100–107. [Google Scholar]
- Pickup, J.; de Dear, R.J. An outdoor thermal comfort index (OUT_SET*)—Part I—The model and its assumptions. In Selected Papers from the ICB-ICUC’99 Conference; World Meteorological Organization: Geneva, Switzerland, 2000. [Google Scholar]
- Mayer, H.; Höppe, P. Die Bedeutung des Waldes für die Erholung aus der Sicht der Human bioklimatologie. Forstwiss Cent. 1984, 103, 125–131. [Google Scholar] [CrossRef]
- Höppe, P. The physiological equivalent temperature e a universal index for the biometeorological assessment of the thermal environment. Int. J. Biometeorol. 1999, 43, 71–75. [Google Scholar] [CrossRef] [PubMed]
- Fiala, D.; Havenith, G.; Bröde, P.; Kampmann, B.; Jendritzky, G. UTCI-Fiala multimode model of human heat transfer and temperature regulation. Int. J. Biometeorol. 2012, 56, 429–441. [Google Scholar] [CrossRef] [PubMed]
- Bröde, P.; Fiala, D.; Błażejczyk, K.; Holmér, I.; Jendritzky, G.; Kampmann, B.; Tinz, B.; Havenith, G. Deriving the operational procedure for the Universal Thermal Climate Index (UTCI). Int. J. Biometeorol. 2012, 56, 481–494. [Google Scholar] [CrossRef]
- Höppe, P. Heat balance modelling. Experientia 1993, 49, 741–746. [Google Scholar] [CrossRef] [PubMed]
- Taleb, D.; Abu-Hijleh, B. Urban heat islands: Potential effect of organic and structured urban configurations on temperature variations in Dubai, UAE. Renew. Energy 2013, 50, 747–762. [Google Scholar] [CrossRef]
- Taleghani, M.; Kleerekoper, L.; Tenpierik, M.; van den Dobbelsteen, A. Outdoor thermal comfort within five different urban forms in The Netherlands. Build. Environ. 2015, 83, 65–78. [Google Scholar] [CrossRef]
- Wong, N.H.; Jusuf, S.K.; la Win, A.A.; Thu, H.K.; Negara, T.S.; Xuchao, W. Environmental study of the impact of greenery in an institutional campus in the tropics. Build. Environ. 2007, 42, 2949–2970. [Google Scholar] [CrossRef]
- Taha, H. Urban climates and heat islands: Albedo, evapotranspiration, and anthropogenic heat. Energy Build. 1997, 25, 99–103. [Google Scholar] [CrossRef]
- Bruse, M.; Fleer, H. Simulating surface–plant–air interactions inside urban environments with a three dimensional numerical model. Environ. Mod. Softw. 1998, 13, 373–384. [Google Scholar] [CrossRef]
- Srivanit, M.; Hokao, K. Evaluating the cooling effects of greening for improving the outdoor thermal environment at an institutional campus in the summer. Build. Environ. 2013, 66, 158–172. [Google Scholar] [CrossRef]
- Alexandri, E.; Jones, P. Temperature decreases in an urban canyon due to green walls and green roofs in diverse climates. Build. Environ. 2008, 43, 480–493. [Google Scholar] [CrossRef]
- Vidrih, B.; Medved, S. Multiparametric model of urban park cooling island. Urban For. Urban Green. 2013, 12, 220–229. [Google Scholar] [CrossRef]
- Taleghani, M.; Tenpierik, M.; van den Dobbelsteen, A.; Sailor, D.J. Heat mitigation strategies in winter and summer: Field measurements in temperate climates. Build. Environ. 2014, 81, 309–319. [Google Scholar] [CrossRef]
- Hamada, S.; Ohta, T. Seasonal variations in the cooling effect of urban green areas on surrounding urban areas. Urban For. Urban Green. 2010, 9, 15–24. [Google Scholar] [CrossRef]
- Taleb, H.; Taleb, D. Enhancing the thermal comfort on urban level in a desert area: Case study of Dubai, United Arab Emirates. Urban For. Urban Green. 2014, 13, 253–260. [Google Scholar] [CrossRef]
- Shashua-Bar, L.; Tsiros, I.X.; Hoffman, M.E. A modeling study for evaluating passive cooling scenarios in urban streets with trees. Case study: Athens, Greece. Build. Environ. 2010, 45, 2798–2807. [Google Scholar] [CrossRef]
- WOOTZ. Weather Organization of Tai Zhou. Available online: http://tianqi.2345.com/wea_history/ (accessed on 5 April 2019).
- Tourism Organization of Fo Shan. Available online: https://baike.baidu.com/item /9476214 (accessed on 5 April 2019).
- OOE. Organization of ENVI-met. Available online: http://www.envi-met.info/ (accessed on 1 January 2019).
- Middel, A.; Häb, K.; Brazel, A.J.; Martin, C.A.; Guhathakurta, S. Impact of urban form and design on mid-afternoon microclimate in Phoenix Local Climate Zones. Landsc. Urban Plan. 2014, 122, 16–28. [Google Scholar] [CrossRef]
- Salata, F.; Golasi, I.; de Lieto Vollaro, R.; de Lieto Vollaro, A. Urban microclimate and outdoor thermal comfort. A proper procedure to fit ENVI-met simulation outputs to experimental data. Sustain. Cities Soc. 2016, 26, 318–343. [Google Scholar] [CrossRef]
- Thimonier, A.; Sedivy, I.; Schleppi, P. Estimating leaf area index in different types of mature forest stands in Switzerland: A comparison of methods. Eur. J. For. Res. 2010, 129, 543–562. [Google Scholar] [CrossRef]
- Willmott, C.J. On the validation of models. Phys. Geogr. 1981, 2, 184–194. [Google Scholar] [CrossRef]
- Willmott, C.J. Some comments on the evaluation of model performance. Bull. Am. Meteorol. Soc. 1982, 63, 1309–1313. [Google Scholar] [CrossRef]
- Qaid, A.; Lamit, H.B.; Ossen, D.R.; Shahminan, R.N.R. Urban heat island and thermal comfort conditions at micro-climate scale in a tropical planned city. Energy Build. 2016, 133, 577–595. [Google Scholar] [CrossRef]
- Morakinyo, T.E.; Dahanayake, K.K.C.; Adegun, O.B.; Balogun, A.A. Modelling the effect of tree-shading on summer indoor and outdoor thermal condition of two similar buildings in a Nigerian university. Energy Build. 2016, 130, 721–732. [Google Scholar] [CrossRef]






















| Variable | Sensor | Accuracy | Range | Interval | Mode |
|---|---|---|---|---|---|
| Relative Humidity (RH) | TR-70wf | ±5% RH | 10–95% RH | 60 s | Automatic |
| Air Temperature | TR-70wf | ±0.5 °C | 0 ± 55 °C | 60 s | Automatic |
| Anemoscope | DS-2 | ±0.3 m/s | 0–70 m/s | 60 s | Automatic |
| Height (m) | 1 | 2 | 3 | 4 | 5 | 6 | 7 |
|---|---|---|---|---|---|---|---|
| LAD | 0 | 0 | 0.75 | 1.05 | 1.75 | 1.35 | 2.0 |
| Input for Simulations | Value |
|---|---|
| Starting time | 0:00, 24 July 2016 |
| Total simulation time | 24 h |
| Wind speed in 10 m (m/s) | 1.8 |
| Wind direction | 145 |
| Initial air temperature (°C) | 37 |
| Relative humidity (%) | 55 |
| Roughness length | 0.1 |
| Number. of x grid | 200 |
| Number. of y grid | 100 |
| Number. of z grid | 30 |
| Dimension of the grid in dx (m) | 3 |
| Dimension of the grid in dy (m) | 3 |
| Dimension of the grid in dz (m) | 3 |
| Albedo ground | 0.4 |
| Albedo roof | 0.2 |
| Albedo wall | 0.3 |
| Thermal Sensation | PET (°C) |
|---|---|
| Very Cold | 13< |
| Cold | 13–17 |
| Cool | 17–21 |
| Slightly Cool | 21–25 |
| Neutral | 25–29 |
| Slightly Warm | 29–33 |
| Warm | 33–37 |
| Hot | 37–41 |
| Very Hot | >41 |
| Scenario | Selection Strategies |
|---|---|
| Base-case | Existing parameters in this study domain |
| Case-1 | The average building height is increased |
| Case-2 | The number of trees increased in the block |
| Case-3 | The grass is increased in the block |
| Case-4 | The pavement material is changed to the one with higher albedo |
© 2019 by the authors. Licensee MDPI, Basel, Switzerland. This article is an open access article distributed under the terms and conditions of the Creative Commons Attribution (CC BY) license (http://creativecommons.org/licenses/by/4.0/).
Share and Cite
Ma, X.; Fukuda, H.; Zhou, D.; Wang, M. The Evaluation of Outdoor Thermal Sensation and Outdoor Energy Efficiency of a Commercial Pedestrianized Zone. Energies 2019, 12, 1324. https://doi.org/10.3390/en12071324
Ma X, Fukuda H, Zhou D, Wang M. The Evaluation of Outdoor Thermal Sensation and Outdoor Energy Efficiency of a Commercial Pedestrianized Zone. Energies. 2019; 12(7):1324. https://doi.org/10.3390/en12071324
Chicago/Turabian StyleMa, Xuan, Hiroatsu Fukuda, Dian Zhou, and Mengying Wang. 2019. "The Evaluation of Outdoor Thermal Sensation and Outdoor Energy Efficiency of a Commercial Pedestrianized Zone" Energies 12, no. 7: 1324. https://doi.org/10.3390/en12071324
APA StyleMa, X., Fukuda, H., Zhou, D., & Wang, M. (2019). The Evaluation of Outdoor Thermal Sensation and Outdoor Energy Efficiency of a Commercial Pedestrianized Zone. Energies, 12(7), 1324. https://doi.org/10.3390/en12071324
