Next Article in Journal
An Experimental and Simulation Study on Optimisation of the Operation of a Distributed Power Generation System with Energy Storage—Meeting Dynamic Household Electricity Demand
Next Article in Special Issue
The Impact of Fuel Type on the Output Parameters of a New Biofuel Burner
Previous Article in Journal
Assessing the Energy Performance of Solar Thermal Energy for Heat Production in Urban Areas: A Case Study
Previous Article in Special Issue
Characterization of Performance of Short Stroke Engines with Valve Timing for Blended Bioethanol Internal Combustion
 
 
Font Type:
Arial Georgia Verdana
Font Size:
Aa Aa Aa
Line Spacing:
Column Width:
Background:
Article

Emissions from Solid Fuel Cook Stoves in the Himalayan Region

1
Department of Mechanical and Aerospace Engineering, Henry Samueli School of Engineering, University of California, Irvine, CA 92697, USA
2
Institute of Tibetan Plateau Research, Chinese Academy of Sciences, Beijing 100101, China
3
Qujing Center for Disease Control and Prevention, Yunnan 655011, China
4
Program in Public Health, Susan and Henry Samueli College of Health Sciences, University of California, Irvine, CA 92697, USA
5
Department of Epidemiology, School of Medicine, University of California, Irvine, CA 92697, USA
6
State Key Laboratory of Cryosphere Science, Northwest Institute of Eco-Environment and Resources, Chinese Academy of Sciences, Lanzhou 730000, China
*
Author to whom correspondence should be addressed.
Energies 2019, 12(6), 1089; https://doi.org/10.3390/en12061089
Submission received: 12 January 2019 / Revised: 1 March 2019 / Accepted: 12 March 2019 / Published: 21 March 2019
(This article belongs to the Special Issue Cleaner Combustion)

Abstract

Solid fuel cooking stoves have been used as primary energy sources for residential cooking and heating activities throughout human history. It has been estimated that domestic combustion of solid fuels makes a considerable contribution to global greenhouse gas (GHG) and pollutant emissions. The majority of data collected from simulated tests in laboratories does not accurately reflect the performance of stoves in actual use. This study characterizes in-field emissions of fine particulate matter (PM2.5), carbon dioxide (CO2), carbon monoxide (CO), methane (CH4), and total non-methane hydrocarbons (TNMHC) from residential cooking events with various fuel and stove types from villages in two provinces in China (Tibet and Yunnan) in the Himalayan area. Emissions of PM2.5 and gas-phase pollutant concentrations were measured directly and corresponding emission factors calculated using the carbon balance approach. Real-time monitoring of indoor PM2.5, CO2, and CO concentrations was conducted simultaneously. Major factors responsible for emission variance among and between cooking stoves are discussed.

1. Introduction

Solid fuel cooking stoves continue to be used and relied upon in many parts of the world. There are more than two billion people using direct burning of solid fuel as their primary energy source [1,2], especially in developing countries where cooking stoves primarily burn biomass or coal. Furthermore, it has been estimated that worldwide domestic combustion of solid fuels from residential use and small=scale industry contribute approximately 34% of total black carbon (BC) emissions [3]. Biomass has been used directly as a fuel since the harnessing of fire by humans [4], and coal has been used since the second and third century of the Common Era [5]. Biomass fuels fall at the low end of the energy ladder and, consequently, require large volumes and mass relative to the energy delivered. As a result, they often produce a high level of combustion emissions. For household energy sources, the energy density ladder can be expressed as: dung < crop residues < wood < kerosene < gas < electricity [6]. Although switching to a higher energy ladder fuel or adopting new technology like gasification with co-generation provides a cleaner way to acquire energy [7], there are still large populations that use biomass and coal directly as fuel for cooking and heating. Coal has a high energy density, but also contains substantial levels of dangerous compounds, including sulfur and heavy metals. The wide-spread use of solid fuel due to human activity results not only in significant emission contribution to the atmosphere, but also negatively affects indoor air quality and public health.
Unlike other well-studied categories of combustion emission sources such as diesel engines [8,9,10], the emission inventory for the residential and small-scale industry sector is rarely investigated. In particular, depending on the type of fuel, emissions from solid fuel cooking stoves have a complicated make-up which includes well-mixed greenhouse gases (WMGHG) like carbon dioxide and methane, pollutants such as carbon monoxide, sulfur dioxide (mostly when coal is used as the fuel source), hydrocarbons, and particulate matter (PM), as well as small concentrations of volatile organic compounds [2]. The potential radiative forcing from these complex emissions is still unclear, especially for particulate matter [11]. This study aims to measure cooking stove emissions while they are in use to permit more accurate characterization of the potential local and global climate impact from domestic solid fuel combustion.
Studies of domestic solid fuel combustion emission have been underway for many years, but due to the limitation of technology deployment, the experimental study of biomass combustion emissions started only in the late 20th century [6,12,13,14,15]. With the help of statistical models, historical emissions data are available for major species including methane, carbon monoxide, nitrogen oxides, total and specialized non-methane volatile organic compounds (NMVOCs), ammonia, organic carbon, black carbon, and sulfur dioxide [16]. Unfortunately, the complexity and dispersivity of the emission sources means that the model study does not provide estimates with high accuracy and precision. In particular, several studies indicated that models consistently underestimate the carbon monoxide [17,18,19,20,21] and black carbon contributions resulting from biomass cooking stoves’ use [22].
Controlled laboratory measurements of solid fuel cooking stoves have been made by many groups [23,24,25,26]. The widely-used testing protocol includes the water boiling test (WBT) and kitchen performance test (KPT). However, it has not been well-demonstrated that current testing protocols represent the actual everyday cooking and heating activities in homes, and there is still a lack of a confirmed explanation regarding the difference between laboratory and in-field measurements [27]. The actual emissions from household cooking stoves depend on several variables including: stove type, fuel type, food type, and the behavior of the cooks cooking the food. Laboratory experiments with uniformity and repeatability are not similar to everyday cooking and heating activities and, therefore, may not reflect the in-home conditions, nor the unavoidable variation of resident stove activities. This situation leads to highly uncertain in-field data [28].
Compared with laboratory experiment studies, in-field measurement has significant challenges in producing high-quality field data. For example, since most of the residents who use solid-fuel cooking stoves as their primary energy source live in rural areas, it is often hard to access these in-field sites. Furthermore, rural areas that rely on solid-fuel often have limited, or even no electrical power supply, which greatly restricts the measurement capabilities [29]. Moreover, taking measurements in homes is not as straightforward as doing so in a laboratory since the in-field environment is generally in an active family location. Local coordination plays an important role in this process.

2. Methodology

Emission factors of carbon dioxide (CO2), carbon monoxide (CO), methane (CH4), and fine particles (PM2.5) were measured during normal daily activities using the carbon balance approach. Real-time monitoring of indoor PM2.5, CO2, and CO concentrations was conducted simultaneously.

2.1. In-Field Sampling

Globally, the emission to the environment from household cooking stoves’ activity largely depends on the regional population density. The Himalaya Mountains, as one of the largest fresh water resources in the world, have a population of more than two billion people living on the rivers that originate from this source. The high population density in the nearby area leads to a significant contribution of emissions from domestic residential combustion. Hence, the field sites for this study were selected to be in two provinces of China (Tibet Autonomous Region and Yunnan Province) that are closest to the Himalaya Mountain range.
In general, each field campaign lasted for approximately two months with about 6 weeks of measurement time and 1 or 2 weeks for pre- and post- preparation. The basis for the selection of households included the ability to measure a variety of region-specific primary and secondary stove and fuel types. Depending on the given sites, there were also constraints and considerations taken into account regarding household selection. The campaigns took place during summer of 2012 and 2013 in Tibet and Yunnan, respectively. Thirty eight household samples were collected in the Tibet measurement and 40 for Yunnan. Figure 1 shows the geographical location of the field sites.

2.1.1. Tibet, China

The research in Tibet, China, was coordinated through the Institute of Tibetan Plateau Research, Chinese Academy of Sciences. Due to the limitation of the local environment, two regions, Nam Co and Linzhi, were chosen as the sites in which to conduct the in-field measurements. Figure 2 shows the household, stove, and fuel used in Tibet.
Nam Co has an extremely high elevation (approximately 4700 m). Due to the scarcity of plant and animal sources as biomass, local residents rely on yak dung as their primary fuel. Most of the local residents lead a traditional nomadic life, with a Tibetan tent as their shelter. The tourist industries being developed in the Nam Co area absorbed some residents to join the tourism business. As a result of their more settled living style, these people built fixed or semi-fixed households instead of traditional tents. There are two types of stoves being used in the Nam Co area: a traditional open fire stove and an improved chimney stove. The open fire stove is mostly used by nomadic residents, as it has better portability. All the fixed and semi-fixed households are now using an improved chimney stove. There was limited availability for household selection. As the population is very sparse in the Nam Co area, measurements were taken in whatever household could be found.
The Linzhi area has a much lower elevation (approximately 3300 m) compared to Nam Co. Lower elevation brings richer plant and animal sources. As a result, wood becomes the primary fuel for the Linzhi residents. The well-developed agriculture and tourist industry significantly improved the living condition of local residents. All the residents have well-built houses with well-designed chimney stoves (different from the ones in Nam Co). As there is a uniformity of households, stoves, and fuel type, the selection of participating households in the Linzhi area was mostly based on regional considerations. All the measured households in the Linzhi area were located in the two villages that are close to the Linzhi Research Station, Chinese Academy of Sciences.
The sampling system contained two sampling trains: one for cooking stove emission and the other for background monitoring. Starting with the probe, the emission sample traveled through a length (depending on the stove, typically around 2 m) of conductive tubing where it entered the sample train. The particle loss through 3 meters of this tubing was measured at about 2% by the University of Illinois Urbana-Champaign (UIUC) field sampling team [30]. A dilution pump was utilized to avoid instrument saturation and also to reflect natural dilution of chimney emissions. A cyclone separator cut off particles larger than 2.5 μm at a fixed flow rate (1.5 L/min). The first branch of the train collected elemental carbon (EC), organic carbon (OC), and gas samples. The EC/OC sample were collected with a 47-mm quartz filter. The gas sample was collected with a 200-L Kynar bag. The sampling duration generally started from breakfast cooking to the end of dinner cooking. However, Tibetan residences do not hold a regular cooking schedule as people from most of the other places due to their nomadic tradition. On the other hand, being constrained to this logistical limitation, in this case, the sampling event started around mid-morning and lasted approximately 7 h. The flow rate was constrained at 0.2 L/min with an SKC pocket sampling pump to collect all the gas with the 200-L bag. The second branch included one 37-mm PTFE filter and one 47-mm quartz filter to collect PM samples and EC/OC in the gas phase. The filtered gas traveled through a TSI Q-Trak 7575 CO/CO2 monitor and Drager PAC 7000 monitor with a SO2 sensor to acquire real-time CO, CO2, and SO2 information. The flow rate for the second branch was initially set at about 0.2 L/min. The third branch was for a DustTrak real-time aerosol monitor. The flow rate was set at 1.1 L/min to satisfy the 1.5-L/min requirement of the cyclone.

2.1.2. Yunnan, China

The study in Yunnan province was in cooperation with the Center for Disease Control and Prevention (CDC) of Qujing City. Yunnan is a rich coal province with mild climate, which brings an abundance of forestry and agricultural resources (elevation: approximately 2000 m). As a result, residents in Yunnan province have various fuels to choose from: coal, wood, corn, pine needles, and agricultural residue. However, people mostly use wood, corn, pine needles, or other biomass fuel to start the fire and then use coal to keep the stove burning (Figure 3). Hence, coal is considered as the primary fuel in Yunnan province, and covering all of the mainstream coal types (e.g., gas fat, smoky, coking, and smokeless) was the main consideration while selecting participating households.
The stove usage situation in Yunnan province is quite different from the other sites. As Yunnan province is relatively developed compared with Tibet, there are well-constructed electricity grids in this area, which provide local residents reliable and affordable power sources. As a result, many residents in the village switched to electric stoves (induction cooktop) for their primary cooking. Solid fuel stoves are still widely used for heating during the cold weather season (especially for the elderly) and preparing food for animals (electric stoves are not large enough for this task).
The solid fuel cooking stoves used in Yunnan generally are one of three different types: high stove, low stove, and portable stove (Figure 3). The high stove is a chimney stove, which is mainly used for cooking (before the electric stove became popular); the current low stove has a similar design to the high stove, but it sits lower to the ground level, which makes it a good floor heater. The portable stove is popular in villages, especially among seniors, as it is good for heating and easy to carry around.

2.2. The Carbon Balance Method

The measurement and analysis relied on the carbon balance method [31], which is commonly used for biomass combustion emission studies [32]. This method calculates the emission factor based on the carbon processed during fuel consumption and the ratio between pollutants in the exhaust gas [2,29]. In order to achieve a representative measurement, the sample is taken after the plume is well-mixed [23]. A prior study indicated that emissions take less than 2.5 s to reach phase equilibrium [33]. In our setup for open-fire stoves, the sample probe was located about 1 m above the stove, which left 3–4 s for the plume to mix before reaching the probe. For the chimney stove measurements, as the length of the chimney was mostly more than 2 m long and the flow inside the chimney was turbulent ( R e > 4000 ) [23], we assumed the emissions were well-mixed within the chimneys, and we collected our sample from the chimney outlet.

2.3. Post-Measurement Analysis

The post-measurement analysis included gravimetric analysis for the PM2.5 sample (PTFE filter) and gas chromatography analysis for the gas sample. The analysis of the EC/OC (quartz filter analysis) was conducted by collaborators in the UIUC group using a Sunset Laboratory OC/EC analyzer (thermal optical transmittance method) [34].

2.3.1. Gravimetric Analysis

Gravimetric analysis was applied to the PTFE filters collected from field measurements. Before heading to the field, the PTFE filters were weighed and sealed (pre-weights). A post-weight was conducted after the measurement in the field with the P M sample collected on the filter. With the recorded flow information and the weight difference between pre- and post-analysis, the PM2.5 emission was calculated.

2.3.2. Gas Chromatography Analysis

Gas chromatography analysis was applied to the collected gas sample to investigate the concentration for interesting gas species, which include carbon dioxide, carbon monoxide, methane, and total hydrocarbon (THC). The detection of carbon dioxide and carbon monoxide were achieved with a flame ionization detector (FID) plus nickel catalyst methanizer (SRI Instruments, USA). The THC analysis was accomplished using a blank column plus FID. This approach takes advantage of the fact that the FID responds only to hydrocarbons [12]. External standardization was selected to calibrate the GC analysis. Calibration gases with known concentrations of target gas species were used to generate the calibration curve.

3. Results

The finalized database included emission factors for: carbon dioxide, carbon monoxide, methane, and PM2.5 for each sample from the field sites. The emission factors were calculated with the carbon balance method. Modified combustion efficiency (MCE) was defined as the ratio between carbon in the form of carbon dioxide to that in the form of carbon dioxide plus that in the form of carbon monoxide. MCE is commonly used as an approximation of nominal combustion efficiency. Since most of the carbon emissions are in form of CO2 and CO, MCE provides a robust approximation to the normalized combustion efficiency (NCE) [12].
MCE [ CO 2 ] [ CO 2 ] + [ CO ]

3.1. Tibet

Table 1 provides the summary of the Tibet measurement. Thirty eight valid samples were collected: 28 samples from Nam Co and 12 from Linzhi. There were two small-scale industry measurements conducted in Nam Co. Both were small restaurants with exactly the same type of stoves used in local households.
The sparse population and limited transportation capability restricted the sampling time in each household. Tibet testing time was limited to around 6 h. Figure 4 shows a examples of the real-time pollutant concentration in Nam Co and Linzhi. The emission pattern from Tibet did not show obvious cooking events. This difference was attributed to the lifestyle of Tibetan residents and the desire for space heating for the stove. Particularly, in the Nam Co area, the nomadic life does not have a regular daily meal schedule (breakfast, lunch, snack, and dinner). As shown in Figure 4, the daytime stove activity in Tibet did not give obvious patterns representing regular cooking events. The cold weather in these high altitude regions encourages local residents to use cooking stoves for heating purposes, as well. The statistical summary for the Tibet measurements is shown in Table 2.

3.2. Yunnan

Table 3 shows the summary of the Yunnan measurements. The Yunnan measurement set contained 40 valid samples from two counties with 10 villages. The household types in Yunnan are uniform, while stove type varies.
Figure 5 shows an example of the pollutant concentration throughout the day. The two major peak emission event groups indicated the traditional breakfast and lunch event in a Chinese village. The dinner cooking event, which usually happens at approximately 18:00, could not be monitored due to local collaborator unavailability. The smaller peak at around 15:00 was normally caused by water boiling or a snack event. As corn is often used as the stove starter, the moisture content in it generated a large amount of smoke at the starting stage of each cooking event; this process showed a strong PM2.5 peak concentration at the beginning of every cooking event, while the concentration of CO and CO2 did not have the same behavior.
Table 4 is the summary for the Yunnan dataset. As previously mentioned, mixed fuel usage is very popular in Yunnan. The native definition of the emission factor determined that it was very sensitive to fuel consumption [15]. Thus, it is important to separate when using agricultural residue as a lighter only and using coal as the major energy source and using both agricultural residue and coal as the energy source. Based on observations in the field, the threshold value of 2 kg of agricultural residue consumption was selected as the criteria of whether a household was using agricultural residue as a lighter only. In the case of more than 2 kg of agricultural residue consumed, the emission factors were calculated based on the weight of total fuel (coal plus agricultural residue). In the other case, only coal consumption was considered in the emission factor calculation.
In order to explore the effect from mixing agricultural residue (mostly corn cob) together with coal, the correlation of modified combustion efficiency with different fuel mixing factors is plotted in Figure 6. The mixing ratio here is defined as the fraction of coal consumption (kg) in the total fuel consumption (kg). Modified combustion efficiency, which is essentially a comparison of how much carbon is emitted in CO2 and CO form, was used as the indicator because it is estimated independently of fuel information. The result in Figure 6 shows that MCE distributed evenly through the whole fuel mixing ratio range, which implies that the mixing ratio did not have a significant effect on the stove performance.

4. Discussion

4.1. Efficiency and Emissions

Figure 7 compares the modified combustion efficiency for wood burning cooking stoves between this study (with uncertainties) and several previous works, including both the water boiling test and the measurement of actual stove usage. The MCE measured from actual stove use in the field was consistently lower when compared with those measured from standard water boiling tests. A comparison for the CO emission factor (Figure 8) gave similar results. The measurements on actual stove use in homes gave significantly higher CO emission and larger uncertainty than the WBTs.
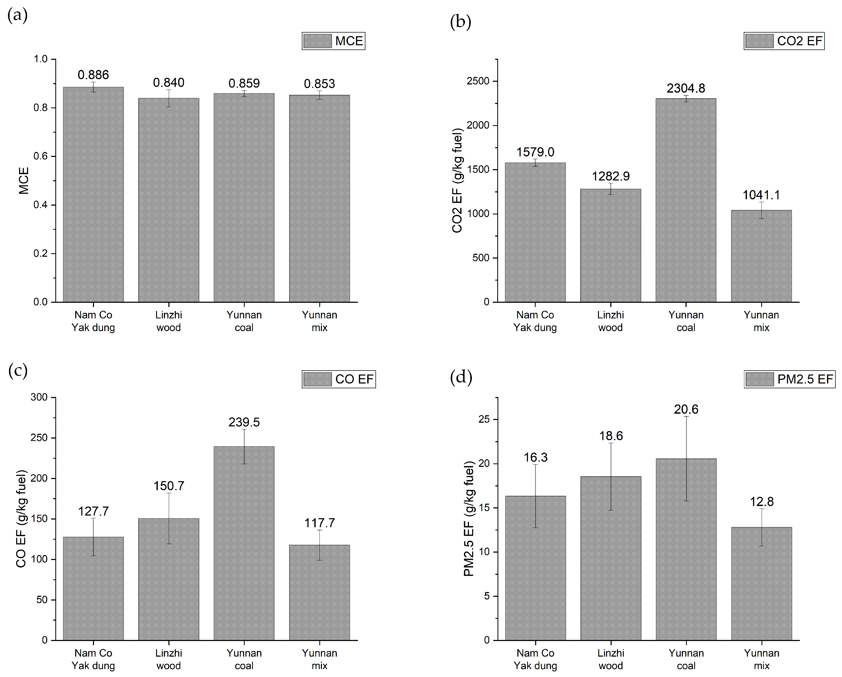
Figure 9 compares the emission parameters from different regions with different fuels within this study. The MCE results from all regions with all different fuels showed a similar average value.
The CO2 emission factor is a good indicator for carbon emission, as most emissions come out in the form of CO2. As it has been well-addressed, fuel makes a big difference in the carbon emission. One major reason for this is the carbon density in fuel, which directly affects the emission factor of carbon compounds. For example, trunk woods normally have a carbon content of about 50%. The carbon content for coal can be over 90% [35]. Comparing the CO2 emission factor for the wood stoves (Tibet) and coal stoves (Yunnan), the carbon emission from coal stoves was significantly higher (Figure 9).
CO and PM2.5 are the major products of incomplete combustion, and they are closely related to indoor air quality and residents’ health. One challenge for CO and PM2.5 measurements is the associated uncertainties, especially for PM2.5. Dung is generally considered as a more “dirty” fuel. However, the yak dung stove in Nam Co, Tibet, gave lower CO and PM2.5 than the wood stoves in Linzhi, Tibet. As previously discussed, the stoves in Nam Co, Tibet, due to the harsh environment (high altitude, cold), are partially used as heating stoves. This difference on “how the stove is used” may explain this unusual behavior. Among all the field sites in this study, Yunnan coal stoves had the highest CO and PM2.5 emission factors. According to the local CDC, the field sites in Yunnan Province, Fuyuan and Xuanwei Counties, all have a high occurrence of lung cancer.

4.2. Carbon Particulate Emission

EC/OC particulate measurements are inherently noisier than gas measurements and total particulate measurements because they are often less uniformly mixed at the sampling zone (the complete mixing into the atmosphere occurs over a longer time). Sample numbers of EC and OC were also much smaller than for the other species. Nevertheless, the EC/OC data are a critical component of the uncertainty in climate forcing, so it is important to include even the limited validated data obtained. The summary of EC and OC measurement is shown in Table 5.
Figure 10 shows a comparison of EC and OC emission factors through all field sites and fuels. The coal stoves in Yunnan, China, produced the highest elemental carbon emissions, even considering its high uncertainty, while other stoves burning agricultural-based fuel had a similar result. A plot of the EC and OC ratio for the different regions and fuel combinations is shown in Figure 11, as this ratio is usually of more interest.
Elemental carbon emission relates closely to the carbon content in the fuel: a higher carbon fuel such as coal produces more EC during the combustion process. From the perspective of combustion chemistry, the formation of soot, which is mostly elemental carbon, is largely related to the production of acetylene (C2H2). The agricultural-based fuels (wood, dung, agricultural residue, etc.) essentially consist of lingo-cellulosic materials, with hydrogen, carbon, and oxygen the dominate elements. In the combustion process, before soot (EC) is produced, the long carbohydrate polymers (larger C number) break up into shorter carbohydrates (smaller C number) until acetylene. For a stove that does not burn fuel completely (which is common for cooking stoves), the decomposition reactions for some molecules can stop before reaching the acetylene stage. In this case, organic carbon is emitted. Elemental carbon, on the other hand, means that reactions reach the key soot precursor acetylene, which represents more complete combustion as compared to high OC emission combustion.

5. Conclusions

A series of in-field emission measurements for solid fuel cooking stoves has been conducted. Emission factors for major compounds, including CO2, CO, PM2.5, CH4, and elemental and organic carbon, with their statistical uncertainties were calculated using the carbon balance method. The acquired emission database fills in the inventory for residential cooking stoves’ emission in the corresponding regions. These unique data from in-field measurements showed the real variability of cooking stove use and caution against simple methods to incorporate cooking stove emissions in global climate models. The results show clearly that in average, real-life cooking, stove use emits more than occurs under laboratory and controlled conditions.
The result from these field measurements show that fuel type is a critical variable in cooking stove performance. However, the effect of stove activity, such as the fluctuation during the combustion process, and the start and stop stages, should be considered in modeling and designing controlled laboratory experiments.

Author Contributions

Methodology, J.D.; formal analysis, J.D.; investigation, J.D., A.D., C.L., Q.Z., P.C., S.K., and J.L.; resources, J.D., A.D., C.L., Q.Z., P.C., S.K., and J.L.; data curation, J.D., A.D., and J.L.; writing, original draft preparation, J.D.; writing, review and editing, J.D., A.D., and D.D.-R.; visualization, J.D., and A.D.; supervision, D.D.-R.; project administration, A.D.

Funding

This research has been supported by a grant from the U.S. Environmental Protection Agency (EPA)’s Science to Achieve Results (STAR) through its Office of Research and Development in the research described here under Grant Number 83503601. It has not been subject to Agency review and therefore does not necessarily reflect the views of the U.S. EPA. The contents are solely the responsibility of the authors. No official endorsement should be inferred. The mention of trade names or commercial products in the publication does not constitute endorsement or recommendation for use.

Acknowledgments

We would like to acknowledge our collaborators from the University of Illinois at Urbana-Champaign, Tami Bond, Cheryl L. Weyant, and Ryan Thompson, and their research support staff for their significant contributions in the implementation, execution, and sample analyses. Many thanks to Rufus Edwards for his supervision and funding acquisition. Special acknowledgments to Kirk Smith for his original conceptualization and research design that laid the foundation and groundwork for this study. Additional acknowledgments to Qing Lan, Nathaniel Rothman, and Wei Hu for facilitating field measurements in Yunnan Province, China. We would also like to thank the following collaborators: the Institute of Tibetan Plateau Research, Chinese Academy of Sciences, and the Center for Disease Control and Prevention (CDC) of Qujing City for their assistance in the field. Special thanks to Allison Mok, Harman Chauhan, Vy Pham, Stephanie Fong, Kunaal Kapoor, and Scott Ondap for their contributions.

Conflicts of Interest

The authors declare no conflict of interest. The funders had no role in the design of the study; in the collection, analyses, or interpretation of data; in the writing of the manuscript; nor in the decision to publish the results.

References

  1. Bruce, N.; Rehfuess, E.; Mehta, S.; Hutton, G.; Smith, K. Indoor air pollution. In Disease Control Priorities in Developing Countries, 2nd ed.; Jamison, D.T., Breman, J.G., Measham, A.R., Alleyne, G., Claeson, M., Evans, D.B., Jha, P., Mills, A., Musgrove, P., Eds.; World Bank: Washington, DC, USA, 2006. [Google Scholar]
  2. Jetter, J.J.; Kariher, P. Solid-fuel household cooking stoves: Characterization of performance and emissions. Biomass Bioenergy 2009, 33, 294–305. [Google Scholar] [CrossRef]
  3. Bond, T.C.; Bhardwaj, E.; Dong, R.; Jogani, R.; Jung, S.; Roden, C.; Streets, D.G.; Trautmann, N.M. Historical emissions of black and organic carbon aerosol from energy-related combustion, 1850–2000. Glob. Biogeochem. Cycles 2007, 21, GB2018. [Google Scholar] [CrossRef]
  4. Turns, S.R. An Introduction to Combustion, Concepts and Applications; McGraw Hill: New York, NY, USA, 2012. [Google Scholar]
  5. DOE—Fossil Energy: A Brief History of Coal Use in the United States; Department of Energy: Washington, DC, USA, 2019.
  6. Smith, K.R.; Apte, M.G.; Yuqing, M.; Wongsekiarttirat, W.; Kulkarni, A. Air pollution and the energy ladder in asian cities. Energy 1994, 19, 587–600. [Google Scholar] [CrossRef]
  7. Ahrenfeldt, J.; Thomsen, T.P.; Henriksen, U.; Clausen, L.R. Biomass gasification cogeneration—A review of state of the art technology and near future perspectives. Appl. Therm. Eng. 2013, 50, 1407–1417. [Google Scholar] [CrossRef]
  8. Subramanian, R.; Winijkul, E.; Bond, T.C.; Thiansathit, W.; Oanh, N.T.K.; Paw-Armart, I.; Duleep, K. Climate-relevant properties of diesel particulate emissions: results from a piggyback study in Bangkok, Thailand. Environ. Sci. Technol. 2009, 43, 4213–4218. [Google Scholar] [CrossRef] [PubMed]
  9. Maricq, M.M.; Podsiadlik, D.H.; Chase, R.E. Examination of the size-resolved and transient nature of motor vehicle particle emissions. Environ. Sci. Technol. 1999, 33, 1618–1626. [Google Scholar] [CrossRef]
  10. Yan, F.; Winijkul, E.; Jung, S.; Bond, T.C.; Streets, D.G. Global emission projections of particulate matter (PM): I. Exhaust emissions from on-road vehicles. Atmos. Environ. 2011, 45, 4830–4844. [Google Scholar] [CrossRef]
  11. Bond, T.C.; Doherty, S.J.; Fahey, D.W.; Forster, P.M.; Berntsen, T.; DeAngelo, B.J.; Flanner, M.G.; Ghan, S.; Kärcher, B.; Koch, D.; et al. Bounding the role of black carbon in the climate system: A scientific assessment. J. Geophys. Res. Atmos. 2013, 118, 5380–5552. [Google Scholar] [CrossRef]
  12. Johnson, M.; Edwards, R.; Alatorre Frenk, C.; Masera, O. In-field greenhouse gas emissions from cookstoves in rural Mexican households. Atmos. Environ. 2008, 42, 1206–1222. [Google Scholar] [CrossRef]
  13. Zhang, J.; Smith, K.R. Hydrocarbon emissions and health risks from cookstoves in developing countries. J. Expo. Anal. Environ. Epidemiol. 1995, 6, 147–161. [Google Scholar]
  14. Zhang, J.; Smith, K.R.; Uma, R.; Ma, Y.; Kishore, V.V.N.; Lata, K.; Khalil, M.A.K.; Rasmussen, R.A.; Thorneloe, S.T. Carbon monoxide from cookstoves in developing countries: 1. Emission factors. Chemosph. Glob. Chang. Sci. 1999, 1, 353–366. [Google Scholar] [CrossRef]
  15. Zhang, J.; Smith, K.R. Emissions of carbonyl compounds from various cookstoves in China. Environ. Sci. Technol. 1999, 33, 2311–2320. [Google Scholar] [CrossRef]
  16. Lamarque, J.F.; Bond, T.C.; Eyring, V.; Granier, C.; Heil, A.; Klimont, Z.; Lee, D.; Liousse, C.; Mieville, A.; Owen, B.; et al. Historical (1850–2000) gridded anthropogenic and biomass burning emissions of reactive gases and aerosols: Methodology and application. Atmos. Chem. Phys. 2010, 10, 7017–7039. [Google Scholar] [CrossRef]
  17. Bergamaschi, P.; Hein, R.; Heimann, M.; Crutzen, P.J. Inverse modeling of the global CO cycle: 1. Inversion of CO mixing ratios. J. Geophys. Res. Atmos. 2000, 105, 1909–1927. [Google Scholar] [CrossRef]
  18. Kasibhatla, P.; Arellano, A.; Logan, J.A.; Palmer, P.I.; Novelli, P. Top-down estimate of a large source of atmospheric carbon monoxide associated with fuel combustion in Asia. Geophys. Res. Lett. 2002, 29, 6. [Google Scholar] [CrossRef]
  19. Gros, V.; Williams, J.; Lawrence, M.; Von Kuhlmann, R.; Van Aardenne, J.; Atlas, E.; Chuck, A.; Edwards, D.; Stroud, V.; Krol, M. Tracing the origin and ages of interlaced atmospheric pollution events over the tropical Atlantic Ocean with in situ measurements, satellites, trajectories, emission inventories, and global models. J. Geophys. Res. Atmos. 2004, 109. [Google Scholar] [CrossRef]
  20. Streets, D.G.; Zhang, Q.; Wang, L.; He, K.; Hao, J.; Wu, Y.; Tang, Y.; Carmichael, G.R. Revisiting China’s CO emissions after the transport and chemical evolution over the Pacific (TRACE-P) mission: Synthesis of inventories, atmospheric modeling, and observations. J. Geophys. Res. Atmos. 2006, 111. [Google Scholar] [CrossRef]
  21. Venkataraman, C.; Habib, G.; Kadamba, D.; Shrivastava, M.; Leon, J.F.; Crouzille, B.; Boucher, O.; Streets, D. Emissions from open biomass burning in India: Integrating the inventory approach with high-resolution Moderate Resolution Imaging Spectroradiometer (MODIS) active-fire and land cover data. Glob. Biogeochem. Cycles 2006, 20. [Google Scholar] [CrossRef]
  22. Koch, D.; Bond, T.C.; Streets, D.; Unger, N.; Van der Werf, G.R. Global impacts of aerosols from particular source regions and sectors. J. Geophys. Res. Atmos. 2007, 112. [Google Scholar] [CrossRef]
  23. Roden, C.A.; Bond, T.C.; Conway, S.; Osorto Pinel, A.B.; MacCarty, N.; Still, D. Laboratory and field investigations of particulate and carbon monoxide emissions from traditional and improved cookstoves. Atmos. Environ. 2009, 43, 1170–1181. [Google Scholar] [CrossRef]
  24. Zhang, J.; Smith, K.R.; Ma, Y.; Ye, S.; Jiang, F.; Qi, W.; Liu, P.; Khalil, M.A.K.; Rasmussen, R.A.; Thorneloe, S.A. Greenhouse gases and other airborne pollutants from household stoves in China: A database for emission factors. Atmos. Environ. 2000, 34, 4537–4549. [Google Scholar] [CrossRef]
  25. Smith, K.R.; Khalil, M.a.K.; Rasmussen, R.A.; Thorneloe, S.A.; Manegdeg, F.; Apte, M. Greenhouse gases from biomass and fossil fuel stoves in developing countries: A Manila pilot study. Chemosphere 1993, 26, 479–505. [Google Scholar] [CrossRef]
  26. Bhattacharya, S.C.; Albina, D.O.; Abdul Salam, P. Emission factors of wood and charcoal-fired cookstoves. Biomass Bioenergy 2002, 23, 453–469. [Google Scholar] [CrossRef]
  27. Taylor, R.P. The Uses of Laboratory Testing of Biomass Cookstoves and the Shortcomings of the Dominant U.S. Protocol. Ph.D. Thesis, Iowa State University, Ames, IA, USA, 2009. [Google Scholar]
  28. Bond, T.C.; Streets, D.G.; Yarber, K.F.; Nelson, S.M.; Woo, J.H.; Klimont, Z. A technology-based global inventory of black and organic carbon emissions from combustion. J. Geophys. Res. Atmos. 2004, 109, D14203. [Google Scholar] [CrossRef]
  29. Roden, C.A.; Bond, T.C.; Conway, S.; Pinel, A.B.O. Emission factors and real-time optical properties of particles emitted from traditional wood burning cookstoves. Environ. Sci. Technol. 2006, 40, 6750–6757. [Google Scholar] [CrossRef] [PubMed]
  30. Bond, T.C.; Anderson, T.L.; Campbell, D. Calibration and intercomparison of filter-based measurements of visible light absorption by aerosols. Aerosol Sci. Technol. 1999, 30, 582–600. [Google Scholar] [CrossRef]
  31. Crutzen, P.J.; Heidt, L.E.; Krasnec, J.P.; Pollock, W.H.; Seiler, W. Biomass burning as a source of atmospheric gases CO, H2, N2O, NO, CH3Cl and COS. Nature 1979, 282, 253–256. [Google Scholar] [CrossRef]
  32. Ward, D.E.; Hao, W.M.; Susott, R.A.; Babbitt, R.E.; Shea, R.W.; Kauffman, J.B.; Justice, C.O. Effect of fuel composition on combustion efficiency and emission factors for African savanna ecosystems. J. Geophys. Res. Atmos. 1996, 101, 23569–23576. [Google Scholar] [CrossRef]
  33. Lipsky, E.M.; Robinson, A.L. Design and evaluation of a portable dilution sampling system for measuring fine particle emissions. Aerosol Sci. Technol. 2005, 39, 542–553. [Google Scholar] [CrossRef]
  34. NIOSH Manual of Analytical Methods (NMAM), 4th ed.; Third Supplement; NIOSH: Washington, DC, USA, 2018. [CrossRef]
  35. Gaur, S.; Reed, T.B. Thermal Data for Natural and Synthetic Fuels; CRC Press: Boca Raton, FL, USA, 1998. [Google Scholar]
Figure 1. The geographical location of our field sites.
Figure 1. The geographical location of our field sites.
Energies 12 01089 g001
Figure 2. The household, stove, and fuel in Tibet (top left: Tibetan tent in Nam Co; top middle: chimney stove; top right: household in Linzhi; bottom left: open fire stove in Nam Co; bottom middle: household in Nam Co; bottom right: yak dung).
Figure 2. The household, stove, and fuel in Tibet (top left: Tibetan tent in Nam Co; top middle: chimney stove; top right: household in Linzhi; bottom left: open fire stove in Nam Co; bottom middle: household in Nam Co; bottom right: yak dung).
Energies 12 01089 g002
Figure 3. The stove and fuel in Yunnan (top left: high stove; top middle: portable stove; top right: low stove, bottom left: coal, bottom right: corn).
Figure 3. The stove and fuel in Yunnan (top left: high stove; top middle: portable stove; top right: low stove, bottom left: coal, bottom right: corn).
Energies 12 01089 g003
Figure 4. Typical real-time emission in Tibet, top: Nam Co; bottom: Linzhi.
Figure 4. Typical real-time emission in Tibet, top: Nam Co; bottom: Linzhi.
Energies 12 01089 g004
Figure 5. Typical real-time emission pattern for CO2, CO, and PM2.5 in Yunnan.
Figure 5. Typical real-time emission pattern for CO2, CO, and PM2.5 in Yunnan.
Energies 12 01089 g005
Figure 6. MCE at different fuel mixing ratios.
Figure 6. MCE at different fuel mixing ratios.
Energies 12 01089 g006
Figure 7. The MCE comparison.
Figure 7. The MCE comparison.
Energies 12 01089 g007
Figure 8. The CO emission factor comparison.
Figure 8. The CO emission factor comparison.
Energies 12 01089 g008
Figure 9. Comparison of emission parameters between sites and fuels: (a) Modified combustion efficiency (MCE); (b) Emission factor for CO2; (c) Emission factor for CO; (d) Emission factor for PM2.5.
Figure 9. Comparison of emission parameters between sites and fuels: (a) Modified combustion efficiency (MCE); (b) Emission factor for CO2; (c) Emission factor for CO; (d) Emission factor for PM2.5.
Energies 12 01089 g009
Figure 10. Comparison of carbon particulate emission factor between sites and fuels: (a) Elemental carbon; (b) Organic carbon.
Figure 10. Comparison of carbon particulate emission factor between sites and fuels: (a) Elemental carbon; (b) Organic carbon.
Energies 12 01089 g010
Figure 11. Comparison of the EC/OC ratios between sites and fuels.
Figure 11. Comparison of the EC/OC ratios between sites and fuels.
Energies 12 01089 g011
Table 1. Tibet household summary.
Table 1. Tibet household summary.
LocationResidence TypeStove TypeFuel TypeMeasurement# of Samples
Nam CoTentOpen fireYak dung1-Day4
TentChimneyYak dung1-Day4
Prefab houseChimneyYak dung1-Day12
Stone houseChimneyYak dung1-Day6
SSIChimneyYak dung1-Day2
LinzhiGarretChimneyWood3-Day4
GarretChimneyWood1-Day8
Total 38
Table 2. Statistical summary for the Tibet measurement.
Table 2. Statistical summary for the Tibet measurement.
Sample AmountMCE (%)EF CO2
(g/kg Fuel)
EF CO
(g/kg Fuel)
EF PM2.5
(g/kg Fuel)
EF CH4
(g/kg Fuel)
Dung, open fire stove in tent373.0 ± 7.51298.8 ± 148.3303.1 ± 80.818.5 ± 10.232.4 ± 7
Dung, chimney stove in tent290.2 ± 7.11590.4 ± 176.3107.1 ± 76.426 ± 265.8 ± 1.6
Dung, chimney stove in house1591.4 ± 1.81632.4 ± 38.196 ± 2014.7 ± 4.122 ± 4.6
Wood, chimney stove in house1584.0 ± 3.51282.9 ± 64.4150.7 ± 31.518.6 ± 3.89.8 ± 1.3
All dung2288.6 ± 2.11579 ± 41.5127.7 ± 23.216.3 ± 3.624.1 ± 3.8
All household3586.6 ± 2.01451.6 ± 44.9137.8 ± 19.617.3 ± 2.716.7 ± 2.5
All SSI289.1 ± 4.61587.5 ± 97.5122.6 ± 51.516.1 ± 7.746.1 ± 5.7
Overall3786.7 ± 1.91459 ± 42.9137 ± 18.617.2 ± 2.618.3 ± 2.6
Table 3. Yunnan household summary.
Table 3. Yunnan household summary.
LocationResidence TypeStove TypeFuel TypeMeasurement# of Samples
FuyuanHouseHigh stoveCoal1-Day13
HouseHigh stoveCoal3-Day2
HousePortable stoveCoal1-Day5
HousePortable stoveCoal3-Day1
HouseLow stoveCoal1-Day1
XuanweiHouseHigh stoveCoal1-Day7
HouseHigh stoveCoal3-Day1
HousePortable stoveCoal1-Day8
HousePortable stoveCoal3-Day1
HouseLow stoveCoal1-Day1
Total 40
Table 4. Statistical summary for the Yunnan measurement.
Table 4. Statistical summary for the Yunnan measurement.
Sample AmountMCE
(%)
EF CO2
(g/kg Fuel)
EF CO
(g/kg Fuel)
EF PM2.5
(g/kg Fuel)
EF CH4
(g/kg Fuel)
High stove in Fuyuan1582.7 ± 2.71528.366 ± 174.458194.982 ± 30.67416.585 ± 3.4983.584 ± 17.85
Portable stove in Fuyuan687.1 ± 3.11973.451 ± 217.36199.102 ± 60.62612.052 ± 2.311106.308 ± 24.3
Low stove in Fuyuan185.21379.019152.822432.0936989.74726
High stove in Xuanwei985.8 ± 1.41573.745 ± 251.195172.03 ± 34.97821.757 ± 8.60961.563 ± 11.245
Portable stove in Xuanwei1188.2 ± 0.71457.356 ± 269.818125.194 ± 25.39313.323 ± 4.25188.588 ± 20.922
Low stove in Xuanwei189.72437.381178.3452.36074654.69838
Overall Fuyuan2284.0 ± 2.11642.964 ± 137.47194.189 ± 25.89216.054 ± 2.5890.061 ± 13.71
Overall Xuanwei2187.2 ± 0.71553.905 ± 178.872147.798 ± 20.16916.415 ± 4.33275.392 ± 12.083
Overall high stove2483.8 ± 1.81545.383 ± 140.819186.375 ± 22.86718.525 ± 3.81775.326 ± 11.943
Overall portable stove1787.8 ± 1.11639.507 ± 196.098151.279 ± 27.27912.874 ± 2.81494.842 ± 15.704
Overall low stove287.4 ± 2.31908.2 ± 529.181165.584 ± 12.76117.227 ± 14.86672.223 ± 17.524
Overall4385.6 ± 1.11599.47 ± 111.006171.533 ± 16.716.23 ± 2.46382.897 ± 9.128
Table 5. Summary of elemental carbon and organic carbon results.
Table 5. Summary of elemental carbon and organic carbon results.
LocationFuelSample AmountEF EC (g/kg Fuel)EF OC (g/kg Fuel)
Tibet, ChinaYak Dung100.25 ± 0.0515.41 ± 2.54
Tibet, ChinaWood20.11 ± 0.0516.03 ± 14.48
Yunnan, ChinaCoal161.46 ± 0.4710.09 ± 2.71
Yunnan, ChinaMix180.51 ± 0.177.02 ± 1.26

Share and Cite

MDPI and ACS Style

Dang, J.; Li, C.; Li, J.; Dang, A.; Zhang, Q.; Chen, P.; Kang, S.; Dunn-Rankin, D. Emissions from Solid Fuel Cook Stoves in the Himalayan Region. Energies 2019, 12, 1089. https://doi.org/10.3390/en12061089

AMA Style

Dang J, Li C, Li J, Dang A, Zhang Q, Chen P, Kang S, Dunn-Rankin D. Emissions from Solid Fuel Cook Stoves in the Himalayan Region. Energies. 2019; 12(6):1089. https://doi.org/10.3390/en12061089

Chicago/Turabian Style

Dang, Jin, Chaoliu Li, Jihua Li, Andy Dang, Qianggong Zhang, Pengfei Chen, Shichang Kang, and Derek Dunn-Rankin. 2019. "Emissions from Solid Fuel Cook Stoves in the Himalayan Region" Energies 12, no. 6: 1089. https://doi.org/10.3390/en12061089

APA Style

Dang, J., Li, C., Li, J., Dang, A., Zhang, Q., Chen, P., Kang, S., & Dunn-Rankin, D. (2019). Emissions from Solid Fuel Cook Stoves in the Himalayan Region. Energies, 12(6), 1089. https://doi.org/10.3390/en12061089

Note that from the first issue of 2016, this journal uses article numbers instead of page numbers. See further details here.

Article Metrics

Back to TopTop