Next Article in Journal
Hierarchical Multi-Objective Fuzzy Collaborative Optimization of Integrated Energy System under Off-Design Performance
Next Article in Special Issue
Comparison of Direct and Indirect Active Thermal Energy Storage Strategies for Large-Scale Solar Heating Systems
Previous Article in Journal
A Data-Driven Approach for Enhancing the Efficiency in Chiller Plants: A Hospital Case Study
 
 
Font Type:
Arial Georgia Verdana
Font Size:
Aa Aa Aa
Line Spacing:
Column Width:
Background:
Article

Comparative Analysis of Small-Scale Organic Rankine Cycle Systems for Solar Energy Utilisation

Sir Joseph Swan Centre for Energy Research, Newcastle University, Newcastle NE1 7RU, UK
*
Author to whom correspondence should be addressed.
Energies 2019, 12(5), 829; https://doi.org/10.3390/en12050829
Submission received: 20 December 2018 / Revised: 25 February 2019 / Accepted: 26 February 2019 / Published: 2 March 2019
(This article belongs to the Special Issue Solar Thermal Energy Storage and Conversion)

Abstract

Small-scale organic Rankine cycle (ORC) systems driven by solar energy are compared in this paper, which aims to explore the potential of power generation for domestic utilisation. A solar thermal collector was used as the heat source for a hot water storage tank. Thermal performance was then evaluated in terms of both the conventional ORC and an ORC using thermal driven pump (TDP). It is established that the solar ORC using TDP has a superior performance to the conventional ORC under most working conditions. Results demonstrate that power output of the ORC using TDP ranges from 72 W to 82 W with the increase of evaporating temperature, which shows an improvement of up to 3.3% at a 100 °C evaporating temperature when compared with the power output of the conventional ORC. Energy and exergy efficiencies of the ORC using TDP increase from 11.3% to 12.6% and from 45.8% to 51.3% when the evaporating temperature increases from 75 °C to 100 °C. The efficiency of the ORC using TDP is improved by up to 3.27%. Additionally, the exergy destruction using TDP can be reduced in the evaporator and condenser. The highest exergy efficiency in the evaporator is 96.9%, an improvement of 62% in comparison with that of the conventional ORC, i.e., 59.9%. Thus, the small-scale solar ORC system using TDP is more promising for household application.

1. Introduction

Solar thermal technology is gathering the momentum to meet household demands for both heating and electricity in the UK [1]. Due to the relatively low annual yield of incident solar radiation, low-temperature heat source recovery technologies have become more significant, e.g., thermoelectric power and the organic Rankine cycle (ORC), when considering thermal efficiency and system compactness [2,3]. Compared with the poor efficiency of thermoelectric power at low solar radiation, the ORC could be a better candidate for distributed household applications, as it is able to operate efficiently and affordably at relatively low working temperatures [4,5].
Considerable progress has been made in the development of solar ORC systems for small-scale power generation [6,7]. With a range of solar collector designs, both concentrating and non-concentrating types had been featured for solar ORC systems [8,9]. An overall efficiency of 4.2% was obtained by using evacuated tube collectors and 3.2% using flat-plate collectors [10]. Other concentrating parabolic through collectors demonstrated higher overall efficiencies in the region of 7.5–12.1% [6,11]. The nanofluid was utilised in a solar driven ORC with parabolic trough collectors to achieve a higher system performance and the system efficiency was found to be 20.11% [12]. An onsite experimental evaluation of a low temperature solar ORC system was presented for reverse osmosis desalination. However, considerably low efficiency was observed [13]. Combined solar heat and power system based on the ORC cycle have advantageous ability to use low-cost thermal energy storage to provide continuous operation under intermittent solar-irradiance conditions [14]. A number of investigations have proposed thermal energy storage solutions using solid-liquid phase change materials for solar ORC system [15,16]. It is noted that there are vast potentials to further improve thermal performance through the organic working fluid exploration and ORC system optimisation [17,18].
Considering organic working fluids, different applications have been investigated by various researchers [19]. The slope of the saturation curve for working fluids in a temperature vs. specific entropy diagram can be positive, negative and vertical, which are correspondingly named ‘‘wet’’, ‘‘dry’’ and ‘‘isentropic’’ fluids [20]. Wet fluids (e.g., water) are usually required to be superheated, whereas many other organic fluids may be dry or isentropic, which do not need superheating. Another advantage of organic working fluid is that a turbine established for ORCs typically requires only a single-stage expander, which brings about a simpler and more economical system in terms of cost and maintenance [21]. Common pure working fluids, e.g., R123 [22], R245fa [23], R245ca [24] and n-pentane [25], have been comprehensively studied. The mixtures are also developed and attempted for ORCs [26,27]. Thermophysical properties of working fluids, e.g., fluid density and thermal conductivity, are analysed and summarised, and working fluids can then be selected in terms of the above properties, thermal stability, compatibility, environmental impacts, safety and cost [28]. Based on selection criteria, R245fa and R134a are often regarded as suitable working fluids for recovering a low-temperature heat source [29].
System optimisation can be realized by improving the thermal performance of each component. Among the four main components of the conventional ORC, the expander is the most investigated due to the fact that it is related to the work output [30]. The work output acts as a positive numerator when calculating thermal efficiency [31]. A variety of expanders have been assessed to attempt improving thermal performance, e.g., scroll expander [32,33], piston expander [34], rotary expander [35], screw expander [36,37] and radial turbine [38]. In general, the scroll expander is the most suitable expander for a small-scale ORC system [39]. Recently, several research efforts have aimed to accomplish better performance by using a free-piston expander [40]. Moreover, two heat exchangers serve as the evaporator and condenser for conventional ORC systems. Thus, heat transfer enhancement is conducive to overall system evaluation, which is greatly relevant to heat input as the denominator for calculating thermal efficiency [41]. Different evaporation and condensation processes have been investigated in terms of heat exchanger type, tube structure, refrigerant, etc. [42]. Nonetheless, another item in the equation for calculating thermal efficiency may be easily ignored. Pump work acts as a negative numerator, which consumes electricity in a real application. Pump work in various studies is not included when calculating the overall efficiency. One such case is if the scale of the ORC system is large, i.e., pump work only accounts for less than 5% of the electricity output. Thus, pump work will not significantly influence the efficiency, even if it is ignored [43]. The other case is if thermal efficiency has a negative effect on the overall performance. This part is selectively overlooked to present decent results. However, pump consumption becomes even larger for a small-scale ORC when the heat source temperature becomes lower [44].
A possible solution is to realize the ORC without using an electrical driven pump. The pump is generally used to pressurize the refrigerant from condensing pressure to evaporating pressure. The pressure difference is also achievable by other methods. One concept is to use the gravity of the working fluid, i.e., enough height difference between evaporator and condenser [45]. Although the height brings about a pressure difference, the required value becomes a barrier in several applications. An alternative idea is to drive the ORC by using a thermal-driven pump (TDP), which is a thermodynamic way to replace the electrical driven pump [46]. A thermosiphon, i.e., a heat pipe, is one type of thermal driven pump, and it was first proposed in the last century [47]. Due to its unique characteristic, the power generation is too small. Another thermal driven pump is the pressure difference realized by heating and cooling at intervals [46]. An experimental rig was established to prove the feasibility of this TDP [48]. Our previous work also investigated its working performance by using a lab-scale prototype, but the unstable power output was not satisfactory [49]. Later, a modified experimental rig was built to improve the thermal performance. Results indicated that the efficiency was further improved, and 90% of the power generating process was stable [50]. Due to the characteristic of solar energy, the fluctuation could be accepted by using battery technology. Thus, a solar ORC using TDP may be desirable for domestic application, which is expected to have a higher thermal efficiency when compared with that of the conventional type.
To the authors’ best knowledge, few research studies on the solar ORC with TDP are reported. Thus, this paper aims to evaluate the performance of a small-scale ORC with TDP when operating at a low solar irradiance level. To further illustrate its advantages and disadvantages, the performance is compared with that of conventional solar ORC in terms of power output, energy and exergy efficiencies. The overarching framework of this paper is elaborated as follows. Solar ORCs using and not using TDP are presented in Section 2. Then, modelling and evaluation equations are defined in Section 3. Thermal performances of the solar ORCs are compared in Section 4, which is followed by conclusions in Section 5.

2. System Description

Figure 1 indicates the schematic diagrams of combined solar heat and power systems. The solar collector provides the thermal energy for evaporating the working fluid. One water tank between the ORC system and solar collector serves as a heat exchanger, which could be replaced by a thermal energy store vessel where phase change materials can be considered as the storage media. Another water tank could be used to supply the domestic hot water for end users from the heat rejected by the condensation [14]. It will be a reduction in the fuel demand to heat the water. The electricity generation by ORC is set to be prioritised over water heating. A proportion of the solar collector fluid will be transferred to the domestic hot water tank only when the collector fluid is at a higher temperature than the hot water tank plus a pinch difference. When this temperature is higher than the critical temperature of working fluids, excess solar heat is rejected directly to the hot water tank. No heating is delivered to the hot water tank if its mean temperature is above the maximum hot water storage temperature [5]. Since the ORC is the main investigation target, the storage part is not analysed in the rest of this paper.
As shown in Figure 1a, the conventional ORC is mainly composed of two heat exchangers (evaporator and condenser), an expander and a working fluid pump. Its principle is the same as that of the Rankine cycle. Working fluid is pumped into a boiler, where it is evaporated and passes through an expander for power generation. Then, it goes through a condenser, where it is finally condensed. Due to energy consumption of the electrical driven pump, the basic ORC may enjoy a very low energy efficiency when the heating temperature is low and the rated power output is small. To solve this problem, the ORC part replaces the electrical driven pump with TDP, which is shown in the dashed area of Figure 1b.
Figure 2 presents different operation modes of ORC using TDP. The ORC using TDP is mainly composed of two high-efficiency heat exchangers, i.e., heat exchanger 1 and heat exchanger 2, an expander, a generator and other auxiliary components [49]. The working processes consist of a pre-expansion process and a power generation process, which are briefly illustrated as follows: (a) Pre-expansion process. Heat exchanger 1 acts as a condenser while heat exchanger 2 works as an evaporator. Water valves V1, V3, V6 and V8 are open, and all other valves are closed. The evaporator that is full of the working fluid, i.e., heat exchanger 2, undertakes isochoric heating through hot water, and its pressure increases gradually until it becomes constant. Meanwhile, the working fluid in the condenser, i.e., heat exchanger 1, starts as saturated vapour at a high temperature and pressure. The condenser applies an isochoric cooling process. (b) Power generation process. When the pressure of the evaporator becomes constant and the condenser achieves a cooler level, RV2 and RV4 are opened. Then, the working fluid with high temperature and pressure from the evaporator flows into the expander and generates the power. The power is outputted until there is no pressure difference between the evaporator and condenser. During this process, the high-pressure working fluid in the evaporator is isobarically heated. The exhaust enters the condenser and is condensed into saturated liquid. When the generator does not produce power, RV2, RV4, V1, V3, V6 and V8 are closed. This whole process that is termed as a generalised working cycle is shown in Figure 2a. Then heat exchanger 1 and 2 swap their roles as condenser and expander. A new cycle starts as indicated in Figure 2b, which is similar to previous pre-expansion and power generation processes. A working mode for the ORC using TDP could be according to Table 1. For further clarification of the whole process, different operating modes of water and refrigerant valves for the ORC using TDP are listed in Table 2. It is noted that heat exchangers 1 and 2 are always heated and cooled inversely. No power output is obtained in the pre-expansion process, which slightly reduces the average output.
In fact, the working fluid pump is replaced by the TDP, i.e., the switch of two heat exchangers as shown in the dashed area of Figure 2. Compared with the conventional ORC, the ORC using TDP may have a higher energy efficiency since the pump is eliminated. Additionally, it is worth noting that continuous power output could be obtained in the power generation process, and thermal continuity is influenced by the pre-expansion process. To solve this problem of continuity, it tends to use two or more ORCs with TDPs for power generation alternatively. However, it is acceptable for the solar ORC, which can utilise battery technology for electricity storage.
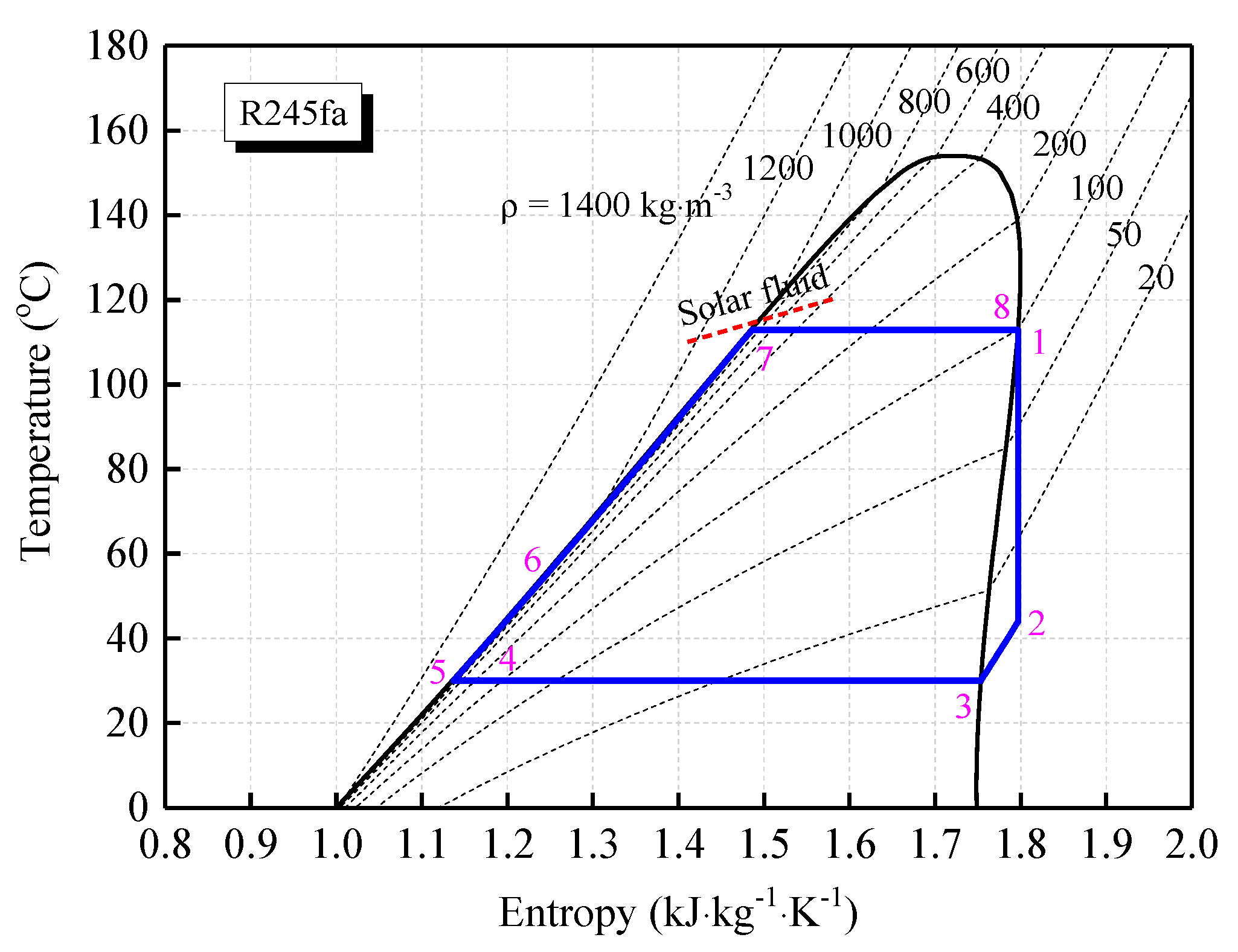
A T-s diagram of a solar ORC cycle using a typical working fluid, i.e., R245fa, is shown in Figure 3. The heat is obtained from a solar collector using water as a heat transfer fluid. A fixed superheated temperature difference ΔTsuperheated of 5 °C is assumed between the heat source fluid inlet and working fluid outlet. Thus, the working fluid outlet temperature is evaluated as T1 = Tsc,1 − ΔTsuperheated. In order to comprehensively evaluate the performance, refrigerants of R245fa, R134a and isobutane are chosen as the working fluids for solar ORC systems. These refrigerants have been verified as well-suited candidates for low-temperature ORC applications due to their thermodynamic and physical properties, low flammability, corrosiveness and environmental impacts [5,20]. The thermodynamic data of these organic compounds are obtained from REFPROP 9 (National Institute of Standards and Technology, Gaithersburg, MD, USA).

3. Methodology

3.1. Aspen Model

The solar ORC model was built in Aspen Plus (v 8.8, Aspen Technology, Inc., Bedford, MA, USA), which includes the specification of each block [51]. The Peng–Robinson method was used to calculate the properties of all the components. Figure 4 shows the schematic diagram of the solar ORC system in Aspen Plus. The relevant assumptions are as follows: (1) The ORC cycle and its components operate under steady-state conditions; (2) thermodynamic equilibrium happens at the inlet and outlet of each component; (3) the kinetic energy of heat transfer and working fluid in solar ORC cycles are negligible; (4) heat loss and pressure drops in the system can be overlooked; and (5) the electricity consumption of water valves and refrigerant valves is ignored. The input parameters in the model are given in Table 3.

3.2. Evaluation of Solar Collector

The proposed solar ORC systems utilise thermal energy absorbed by a solar collector. The useful energy output from the solar collector per m2 can be predicted as a function of local climatic conditions using the widely adopted model by Peters and Bales [1,53], which can be expressed as Equation (1):
Q ˙ sol = F ( τ α ) en K θ b ( θ ) I sol , b + F ( τ α ) en K θ d I sol , d c 6 u I sol c 1 ( T sc T ext ) c 2 ( T sc T ext ) 2 c 3 u ( T sc T ext ) + c 4 ( E L σ T ext 4 ) c 5 d T sc d t
where I sol may be the direct normal or global irradiance depending on the collector type, and c1 to c6 are solar collector efficiency curve coefficients. F ( τ α ) en is zero loss efficiency for global or total radiation at normal incidence. Kθ is the solar collector incident angle modifier. Furthermore, u is the wind speed in (parallel to) the collector plane and EL is the long wavelength radiation (outside solar spectrum) onto the collector plane.
For simplicity, the efficiency of the solar collector η sc is calculated as a function of the incident solar irradiance I, the incident angle modifier Kθ, the mean collector temperature T sc and the ambient air temperature T ext , which can be expressed as Equation (2) [1,54].
η sc = η 0 K θ c 1 ( T sc T ext I sol ) c 2 ( T sc T ext ) 2 I sol
where K θ = ( K θ , b I sol , b + I sol , d ) / ( I sol , b + I sol , d ) . The possible types of solar collectors that can be used in ORC systems are not reviewed in the present study since the main purpose of this paper is to compare the performance of ORCs using and not using TDP. Thus the type of solar collector is adopted from the reference [1] and the outlet temperature of solar collector array is chosen from reference [52]. The TVP SOLAR HT-Power, a high efficiency evacuated flat-plate collector is selected, and the detailed parameters of the solar collector are listed in Table 4.
The energy balance for the collector can be evaluated as Equation (3):
M sc c p , w d T sc d t = Q ˙ sol + m ˙ sc c p , w T sc , in m ˙ sc c p , w T sc , out
where M sc , m ˙ sc and c p , w are mass, mass flow rate and specific heat capacity of the solar collector fluid, respectively. T sc , in and T sc , out are the inlet and outlet temperature of the solar collector.

3.3. Performance Evaluation of ORC Systems

The performance analysis of solar ORC systems is based on the first and second thermodynamic laws. The general energy balance of the conventional ORC can be expressed as Equations (4) and (5):
m ˙ in = m ˙ out
Q ˙ + W ˙ = m ˙ out h out m ˙ in h in
where Q ˙ and W ˙ are the net heat flow rate and work inputs, h is specific enthalpy of the stream of the system, and m ˙ in and m ˙ out   are inlet and outlet mass flow rates.
The energy balance of working fluids in the solar heating process can be evaluated by Equations (6)–(9):
Q ˙ preheat = m ˙ wf ( h 7 h 6 ) = m ˙ w ( h sc , 3 h sc , 4 )
Q ˙ eva = m ˙ wf ( h 8 h 7 ) = m ˙ w ( h sc , 2 h sc , 3 )
Q ˙ superheat = m ˙ wf ( h 1 h 8 ) = m ˙ w ( h sc , 1 h sc , 2 )
Q ˙ h = Q ˙ preheat + Q ˙ eva + Q ˙ superheat
where Q ˙ preheat , Q ˙ eva and Q ˙ superheat are the thermal energy obtained by working fluids in the preheating, evaporation and superheating process, respectively. The subscripts of specific enthalpy h are based on the state points, as shown in Figure 3.
The heat balances in the condenser and regenerator can be expressed by Equations (10) and (11):
Q ˙ cond = m ˙ wf ( h 3 h 4 ) = m ˙ c ( h c , 2 h c , 1 )
Q ˙ regen = m ˙ wf ( h 2 h 3 ) = m ˙ wf ( h 6 h 5 )
Energy conservation in the expander and fluid pump is defined by Equations (12) and (13):
W ˙ exp = m ˙ wf ( h 1 h 2 )
W ˙ pu = m ˙ wf ( h 5 h 4 )
Thus, the net power W ˙ net and cycle thermal efficiency of the conventional ORC η ORC are presented by Equations (14) and (15):
W ˙ net = W ˙ exp W ˙ pu
η ORC = W ˙ net Q ˙ h
The exergy analysis of the conventional ORC can be evaluated by Equations (16)–(20):
E ˙ + W ˙ = E ˙ out E ˙ in + I ˙
e = h h o T 0 ( s s 0 )
E ˙ = m ˙ e
E ˙ h = ( 1 T 0 T ) Q ˙ h
η ex , ORC = W ˙ net E ˙ h
where E ˙ and I ˙ are the exergy rate and irreversibility rate, e is the specific flow exergy, E ˙ h and η exergy are the heat exergy and exergy efficiency of the conventional ORC, respectively, and T is the temperature of the heat input.
The total heat input of the ORC using TDP is composed of two parts. One is the heat for the evaporation of the refrigerant. The other is the sensible heat for warming up the refrigerant. These are found by Equations (21) and (22):
Q ˙ h ,   TDP = Q ˙ wf + 1 t cycle m ˙ wf c wf Δ T wf
Q ˙ wf = 1 t cycle [ m ˙ wf ( h 6 h 4 ) + 0 t power m ˙ wf ( h 1 h 6 ) d t ]
where tcycle is cycle time, which is composed of both pre-expansion and power generation processes.
The average power output can be found by Equation (23):
W ˙ ave = 1 t cycle 0 cycle W ˙ ins d t = 1 t cycle 0 cycle m ˙ wf η s ( h v h exp , out )
where W ˙ ins is the instantaneous power output; η s is the isentropic efficiency; h exp , out is the outlet enthalpy of the expander.
The energy efficiency of the ORC using TDP can be determined according to Equation (24):
η TDP = W ˙ ave Q ˙ h , TDP
The heat exergy of the ORC with TDP can be calculated by Equation (25):
E ˙ h , TDP = Q ˙ h , TDP × ( 1 T 0 T h , ave )
where T h , ave is the average temperature of the heat input.
The exergy efficiency of the ORC with TDP can be expressed as Equation (26):
η ex , TDP = W ˙ ave E ˙ h , TDP

3.4. Validation of ORC Model

To validate the ORC model used in this paper, the results in this work are compared with the reference data in Kaşka’s work [55] which are shown in Table 5. It is worth noting that the relative errors show a good agreement between the reference and present work. Thus, the ORC model in the present study is reliable to be used in the calculations.

4. Results and Discussions

4.1. Dynamic Output Characteristics

Figure 5 shows a range of daily solar collector outlet temperatures which are adopted from the reference [52]. The climatic data is made up of annually average temperatures for each hour of the day. Solar hot water with different temperatures ranging from 34 °C to 122.6 °C is adopted to drive the ORC system, and the evaporating temperature is fixed at 80 °C. Figure 6 indicates the cumulative power output of the conventional solar ORC based on daily solar collector outlet temperatures in Figure 5. Results demonstrate that the cumulative power output of the solar ORC has the same trend in terms of three working fluids. The power generation process starts only if the outlet temperature of solar collector exceeds the evaporating temperature. The cumulative power output from the ORC increases considerably while the collector outlet temperature is higher than 80 °C. It can be noted that the ORC using isobutane shows a better performance than those using R245fa and R134a, and it has the highest cumulative work of 52 MJ. The maximum cumulative work can reach 31 MJ and 26 MJ by using R245fa and R134a, respectively.
Figure 7 shows a comparison of power output using three working fluids under a range of collector outlet temperatures. It can be observed that the net power output increases with the increase of outlet temperature. This is mainly because when the solar hot water outlet temperature increases, the expander inlet temperature will accordingly increase, which leads to a higher power output. The optimum outlet temperature is found to be 122.6 °C of which the maximum net power output can be obtained. It is indicated that the fluid isobutane still performs well when compared with the other working fluids, and it has the highest power output of 149 W. For working fluids R245fa and R134a, the maximum power outputs could reach 87 W and 77 W, respectively.

4.2. Parametric Analysis

In this section, a parametric analysis was undertaken to compare the performance between solar ORCs using and not using TDP. Following variables are considered for power outputs of the systems: (1) evaporating temperature, Tevap; (2) condensation temperature, Tcond; (3) ORC working fluid flow rate,   m ˙ wf ; (4) fluid flow rate of solar collector, m ˙ sc ; (5) isentropic efficiency of the expander; (6) efficiency of heat exchanger. A single parameter was adjusted while the others were held constant in the parametric analysis. The solar collector outlet temperature is selected for the optimum power output in the simulation, i.e., 122.6 °C. Considering the solar ORC using TDP, the periods for the pre-expansion process and power generation under the condition of different parameters were selected based on the results of our previous experimental work [50]. R134 is selected as a typical working fluid which aims to show the minimum influence by using TDP.
Figure 8 reveals the power outputs of the solar ORC using and not using TDP when the evaporating temperature varies from 75 °C to 100 °C. It is worth noting that the power output of the solar ORC using TDP ranges from 72 W to 82 W, which is improved by up to 3.3% at a 100 °C evaporating temperature when compared with that of the conventional ORC. It is demonstrated that the power output for conventional ORC system climbs slightly from 90 °C to 95 °C and then fall rapidly after 95 °C. This is mainly due to the fact that with an increase of the evaporating temperature, the working fluid requires more heat for evaporation, which results in a decrease in the superheating capacity of the working fluid when constant heat is transferred by the solar collector. Then, the decrease in the expander inlet pressure leads to the decline in power output. Additionally, the power output of the solar ORC with TDP is higher than that of the conventional ORC when the evaporating temperature is higher than 90 °C. This is mainly because the working fluid pump consumes more electricity when the evaporating temperature increases, which exceeds the difference between the power output of the ORC using TDP and that of the conventional ORC. Thus, increased power output is achieved using the ORC with TDP in comparison with that using the conventional ORC.
Figure 9 indicates that the power outputs of both solar ORCs when the working fluid condensation temperature is increased from 15 °C to 35 °C. With the increasing of condensation temperature, the expander outlet pressure increases, thus the decreases of 30.5% are found in power outputs for the ORC with TDP and 33.6% for the conventional ORC. The working fluid can be fully cooled down to saturated liquid for more power output when the temperature of cooling water is lower. The power outputs of solar ORCs using and not using TDP range from 61.8 W to 88.9 W and 58.8 W to 88.5 W, respectively. The difference between two ORCs becomes larger with the increment of condensation temperature since conventional ORC generates less work at higher condensation temperature.
Figure 10 illustrates the power outputs of two ORCs with the increase in solar collector fluid mass flow rate. Given that the flow rate of solar collector fluid varies from 0.01 kg·s−1 to 0.2 kg·s−1, the work outputs of ORCs using and not using TDP tend to be steady at solar collector mass flow rate above 0.05 kg·s−1. It can be noted that the rapid rise of power output exists before flow rate of 0.05 kg·s−1. This is mainly because lower solar fluid flow rate which has a higher outlet temperature will lead to more superheating capacity of the working fluid. The increase of the expander inlet pressure leads to considerable increment in power output. It is also observed that the power output of ORC with TDP approaches that of conventional ORC with the increase of solar collector fluid flow rate. Because flow rate of solar collector fluid has little influence on pump work, thus the difference of power output between two solar ORCs could be negligible when the collector fluid flow rate infinitely increases.
The work outputs of two solar ORCs in terms of various ORC working fluid mass flow rates are also observed in Figure 11. Similar to Figure 10, the power output of convention ORC tends to be flat when refrigerant flow rate varies from 0.001 kg·s−1 to 0.02 kg·s−1. The higher flow rate reduces the degree of superheating capacity required to operate the expander. In contrast, the power output of ORC with TDP keeps increasing with the increment of flow rate. Additionally, the difference of power output between two solar ORCs escalates as the working fluid mass flow rate increases. It is mainly because the larger flow rate results in higher pump work of conventional ORC, which enlarges their difference of power outputs.
In reality, the isentropic efficiencies of the working fluid pump and expander of small-scale ORC systems may be even lower than those of the simulation in this paper, i.e., 0.65 and 0.75, due to the limited selection and inappropriate design of ORC systems. Therefore, the relatively higher power output can be obtained from the ORC with TDP, which is quite competitive with the conventional ORC in household applications. With the decline of pump efficiency, the conventional ORC has a higher pump work which results in a lower power output. In contrast, the power output of ORC with TDP keeps constant at various pump efficiencies. It is also worth noting that the isentropic efficiency of the expander varies dramatically with regard to different external partial loads in real applications. Figure 12 shows the generated power outputs of two solar ORCs when the isentropic efficiency varies from 0 to 0.75. It is demonstrated that the ORC with TDP has a superior power output when compared with that of the conventional ORC. With the increment of isentropic efficiency, the difference of generated power of two solar ORCs decreases. The isentropic efficiency of expander selected in our previous experimental work ranges from 0.42 to 0.6 in terms of various partial loads [50]. Under this scenario, the power outputs of two solar ORCs range from 40 W to 62 W and from 46 W to 65 W, respectively. In ideal operation conditions, the isentropic efficiency of this expander can vary from 0.4 to 0.75. When the isentropic efficiency is 0.75, the maximum power output of two solar ORCs are 80.6 W and 81.8 W, respectively, which could indicate the minimum influence using TDP as mentioned above.
Figure 13 also shows the results of power outputs when the heat exchangers efficiency varies. It can be observed that two solar ORCs have similar increasing trends with the increment of heat exchanger efficiency. ORC using TDP still performs better than conventional ORC. In the most cases, the heat exchanger efficiency is above 0.9. Thus, the power outputs of ORCs using and not using TDP at this interval range from 80.7 W to 81.8 W, and 79.4 W to 80.6 W, respectively.

4.3. Thermal Performance of Solar ORCs throughout the Day

This section aims to investigate the thermal performance of solar ORCs using and not using TDP in terms of various evaporating temperatures. Similar with Section 4.2, the solar collector outlet temperature is set as 122.6 °C for the maximum power output. Figure 14 indicates the energy and exergy efficiencies of the solar ORC using TDP when compared with those of the conventional ORC, with R134a as the working fluid. Figure 14a demonstrates that the energy efficiency of the solar ORC using TDP increases with the increase in evaporating temperature. When the temperature increases from 75 °C to 100 °C, the energy efficiency ranges from 11.3% to 12.6%. In order to further illustrate the significance of solar ORC using TDP, the energy efficiencies of two systems are compared with the results from references [1,10,56]. It is indicated that the energy efficiencies in the present work are much higher than the results from references [10,56] which are 8.58% and 5.6% when evaporating temperatures are 78.8 °C and 85 °C, respectively. It proves that the high efficiency evacuated flat-plate collector used in this study could supply a higher solar collector outlet temperature, which improves the overall energy efficiency of system. The difference of energy efficiency between present work and reference [1] is relatively small which is mainly because different working fluid flow rates. The efficiency of ORC using TDP is quite desirable when considering that the heat source temperature is relatively low, and it represents an advantage of the ORC using TDP. Similar to power output, the energy efficiency of the ORC using TDP becomes higher than that of conventional ORC when the temperature is higher than 90 °C. The difference in energy efficiency between the two solar ORCs increases remarkably with the increase in evaporating temperature. The largest percent increment in energy efficiency can reach 3.27% at a 100 °C evaporating temperature when compared with the conventional ORC. A similar trend for exergy efficiency can be found for the ORC using TDP, as shown in Figure 14b. Exergy efficiency ranges from 45.8% to 51.3% when the evaporating temperature increases from 75 °C to 100 °C. Results show that both energy efficiency and exergy efficiency of conventional ORC climb from 75 °C to 90 °C, followed by a slight increase, and it then decline rapidly from 95 °C to 100 °C. The main reason for the improved energy efficiency and exergy efficiency is that a higher power output is obtained from the ORC with TDP.
Figure 15 shows the exergy destruction in each system component for solar ORCs using and not using TDP under the conditions of a 95 °C evaporating temperature and a 122.6 °C solar collector outlet temperature. Considering the conventional ORC system, it is worth noting that the majority of the exergy is lost in the preheater, expander, evaporator and condenser. This is inevitable when solar thermal is converted to mechanical work. The maximum amount of heat can be transferred in the preheater, which results in a largest difference between the output and inlet exergy of the preheater. It is indicated that the exergy destruction of the ORC using TDP can be reduced 2.86 W when eliminating the pump. Additionally, the exergy destruction is reduced in the evaporator and condenser by up to 92% and 2%, respectively. In contrast, the exergy destruction increases in the expander, preheater, superheater and regenerator. The increased exergy destruction in the heat exchangers is probably due to the larger temperature difference between the entering and exiting fluids of the component. Another reason is that the preheater has a lower inlet temperature, and the regenerator and superheater could have lower outlet temperatures of the working fluid during the pre-expansion process of the ORC using TDP. Since no power is generated from the expander during the pre-expansion process, it brings about a higher exergy destruction in the expander when compared with that of the conventional ORC operating within the same cycle time.
The exergy efficiency of each system component for both solar ORCs when using R134a is shown in Figure 16. It can be observed that the expander has the maximum exergy efficiency of 76% for the conventional ORC. The fluid pump also has a relatively higher exergy efficiency of 74.9%. An improved exergy efficiency of the evaporator can be observed for the solar ORC using TDP. The highest exergy efficiency of the evaporator can reach 96.9% for the ORC, and this is improved by 62% when compared with that of the conventional ORC, i.e., 59.9%. In contrast, the other components show relatively lower exergy efficiencies, especially for the preheater, which has the lowest exergy efficiency of 21.5%. This is mainly because the temperature of the working fluid increases gradually during the pre-expansion process, which may result in a lower inlet temperature of the working fluid.

4.4. Further Exploration and Comparison

In order to have a comprehensive understanding for small-scale household application, the solar ORC using TDP is compared with the conventional solar ORC in terms of system type, system compactness, power output stability, thermal efficiency and capital cost, as shown in Table 6. The conventional ORC is a continuous system, whereas the ORC using TDP is an intermittent system. The system compactness of the solar ORC with TDP is superior to that of the conventional ORC due to the elimination of the fluid pump. In many small-scale ORC experimental rigs, the fluid pump accounts for 5–10% of the system volume, which can then be reduced by using the ORC with TDP. Considering power output stability, the conventional ORC has a better performance than the solar ORC with s TDP. It is worth noting that the relatively large fluctuation of the ORC with TDP may happen when the condenser and evaporator are mutually altered. However, this only lasts for a very short period, i.e., less than 10% of the cycle time when considering the total working process. For the solar energy utilisation of a household, efficient battery technology is expected to solve this problem. This means that the electricity is stored and then output constantly. Another possible solution is the introduction of more heat exchangers to the ORC with TDP, with the aim of ensuring that the evaporator is always generating power while other heat exchangers are either used for supplementing the working fluid or for condensation. However, this method may have a small influence on the system compactness, which could be the focus of our future work. Based on the above thermal analysis, the energy and exergy efficiencies of the solar ORC with TDP are higher than those of the conventional ORC in most operation cases. This improvement will become more advantageous to household application when the heat source temperature and scale of the system decrease. As for cost, the main difference between the ORC with TDP and the conventional ORC lies in the working fluid pump. The cost of the working fluid pump is usually 2–3 times higher than that of the heat exchanger in small-scale ORC applications. Thus, the total cost of the ORC using TDP could be reduced by at least 10% with regard to that of the whole system. In general, the solar ORC using TDP is superior to the conventional ORC, which reveals the vast potential for small-scale household application, especially for places that have relatively low solar radiation.

5. Conclusions

In this paper, small-scale ORC systems driven by solar energy are presented to investigate the overall performance in terms of the power output, energy efficiency, exergy efficiency and exergy destruction of the components. Additionally, the thermal performance of the ORC using TDP is compared with that of the conventional ORC. The parametric analysis of two solar ORCs demonstrates that ORC with TDP has a superior performance to that of the conventional ORC under most working conditions. The power output of the solar ORC using TDP ranges from 72 W to 82 W when R134a is adopted as the working fluid and the evaporating temperature varies from 75 °C to 100 °C. The performance is improved by up to 9.5% at a 100 °C evaporating temperature when compared with that of the conventional ORC. The energy and exergy efficiencies of the ORC using TDP increase from 11.3% to 12.6% and from 45.8% to 51.3% when the evaporating temperature increases from 75 °C to 100 °C. For the ORC using TDP, the exergy destruction in the evaporator and condenser can be reduced by up to 92% and 2%, respectively. The highest exergy efficiency of the evaporator is 96.9% by using R134a, and this is an improvement of 62% compared with 59.9% of the conventional ORC. For small-scale solar utilisation, the ORC using TDP is almost superior to the conventional ORC in terms of system type, system compactness, power output stability, thermal efficiency and capital cost. The large fluctuation of the ORC using TDP may last a very short period during the switch of heat exchangers, which could be solved by using efficient battery technology. This technology could be an alternative to household power supply and also serves as the main part of solar heating and power generation.

Author Contributions

Conceptualization: R.W. and L.J.; methodology: R.W. and A.G.D.; supervision: L.J., Y.W., and A.P.R.; project administration: L.J., Z.M., and A.P.R.

Funding

This research was funded by the National Natural Science Foundation of China under grant number 51606118 and Heat-STRESS project EP/N02155X/1.

Acknowledgments

This research was supported by National Natural Science Foundation of China under contract number 51606118 and Heat-STRESS project EP/N02155X/1 funded by Engineering and Physical Science Research Council of UK.

Conflicts of Interest

The authors declare no conflict of interest.

Nomenclature

AArea of solar collector, m2
cSpecific heat capacity, J·kg−1
c1Collector heat loss coefficient, W·m-2·K−1
c2Temperature dependence of the heat loss coefficient, W·m−2·K−2
c3Wind speed dependence of the heat loss coefficient, J·m−3·K−1
c4Long-wave irradiance dependence of the heat loss coefficient
c5Solar collector effective thermal capacity, J·m−2·K−1
c6Wind-dependence of the collector optical (zero-loss) efficiency, s·m−1
ERadiation (outside solar spectrum) onto the collector plane, W·m−2
E ˙ Exergy flow rate, W
eSpecific flow exergy, W·kg−1
F’Collector efficiency factor
hSpecific enthalpy, J·kg−1
IIrradiance, W·m−2
I ˙ Irreversibility rate, W
KθSolar collector Incident Angle Modifier
MMass, kg
m ˙ Mass flow rate, kg·s−1
Q ˙ Heat flow rate, W
sSpecific entropy, J·kg−1·K−1
tTime, s
TTemperature, K
uWind speed in (parallel to) the collector plane, m·s−1
VValve
WWork, W
Greek Letters
ηEfficiency
θIncidence angle, °
ρDensity, kg·m−3
(τα)Effective transmittance-absorptance product
Subscripts
0Dead state
aveAverage
bDirect (beam) radiation
cCooling water
dDiffuse radiation
condCondenser
evaEvaporator
exExergy
expExpander
extExternal environment
hHeat
inInlet
insInstantaneous power output
LLong wavelength
netNet power output
outOutlet
pIsobaric process
puPump
preheatPreheater
regenRegenerator
sIsentropic
scSolar collector
solSolar
superheatSuperheater
superheatedSuperheated temperature
vVapor
wWater
wfWorking fluid
Abbreviations
ORCOrganic Rankine cycle
RVRefrigerant valve
TDPThermal driven pump

References

  1. Freeman, J.; Hellgardt, K.; Markides, C.N. Working fluid selection and electrical performance optimisation of a domestic solar-ORC combined heat and power system for year-round operation in the UK. Appl. Energy 2017, 186, 291–303. [Google Scholar] [CrossRef]
  2. Chen, Z.-G.; Shi, X.; Zhao, L.-D.; Zou, J. High-performance SnSe thermoelectric materials: Progress and future challenge. Prog. Mater. Sci. 2018, 97, 283–346. [Google Scholar] [CrossRef]
  3. Yang, L.; Chen, Z.-G.; Dargusch, M.S.; Zou, J. High Performance Thermoelectric Materials: Progress and Their Applications. Adv. Energy Mater. 2018, 8, 1701797. [Google Scholar] [CrossRef]
  4. Cioccolanti, L.; Tascioni, R.; Arteconi, A. Mathematical modelling of operation modes and performance evaluation of an innovative small-scale concentrated solar organic Rankine cycle plant. Appl. Energy 2018, 221, 464–476. [Google Scholar] [CrossRef]
  5. Freeman, J.; Hellgardt, K.; Markides, C.N. An assessment of solar-powered organic Rankine cycle systems for combined heating and power in UK domestic applications. Appl. Energy 2015, 138, 605–620. [Google Scholar] [CrossRef]
  6. Freeman, J.; Hellgardt, K.; Markides, C.N. An Assessment of Solar–Thermal Collector Designs for Small-Scale Combined Heating and Power Applications in the United Kingdom. Heat Transf. Eng. 2015, 36, 1332–1347. [Google Scholar] [CrossRef]
  7. Tzivanidis, C.; Bellos, E.; Antonopoulos, K.A. Energetic and financial investigation of a stand-alone solar-thermal Organic Rankine Cycle power plant. Energy Convers. Manag. 2016, 126, 421–433. [Google Scholar] [CrossRef]
  8. Petrollese, M.; Cocco, D. Robust optimization for the preliminary design of solar organic Rankine cycle (ORC) systems. Energy Convers. Manag. 2019, 184, 338–349. [Google Scholar] [CrossRef]
  9. Casartelli, D.; Binotti, M.; Silva, P.; Macchi, E.; Roccaro, E.; Passera, T. Power Block Off-design Control Strategies for Indirect Solar ORC Cycles. Energy Procedia 2015, 69, 1220–1230. [Google Scholar] [CrossRef]
  10. Quoilin, S.; Orosz, M.; Hemond, H.; Lemort, V. Performance and design optimization of a low-cost solar organic Rankine cycle for remote power generation. Sol. Energy 2011, 85, 955–966. [Google Scholar] [CrossRef]
  11. Canada, S.; Cohen, G.; Cable, R.; Brosseau, D.; Price, H. Parabolic Trough Organic Rankine Cycle Power Plant; No. NREL/CP-550-37077; National Renewable Energy Lab (NREL): Golden, CO, USA, 2005. [Google Scholar]
  12. Bellos, E.; Tzivanidis, C. Parametric analysis and optimization of an Organic Rankine Cycle with nanofluid based solar parabolic trough collectors. Renew. Energy 2017, 114, 1376–1393. [Google Scholar] [CrossRef]
  13. Manolakos, D.; Kosmadakis, G.; Kyritsis, S.; Papadakis, G. On site experimental evaluation of a low-temperature solar organic Rankine cycle system for RO desalination. Sol. Energy 2009, 83, 646–656. [Google Scholar] [CrossRef]
  14. Freeman, J.; Guarracino, I.; Kalogirou, S.A.; Markides, C.N. A small-scale solar organic Rankine cycle combined heat and power system with integrated thermal energy storage. Appl. Therm. Eng. 2017, 127, 1543–1554. [Google Scholar] [CrossRef]
  15. Manfrida, G.; Secchi, R.; Stańczyk, K. Modelling and simulation of phase change material latent heat storages applied to a solar-powered Organic Rankine Cycle. Appl. Energy 2016, 179, 378–388. [Google Scholar] [CrossRef]
  16. Jing, L.; Gang, P.; Jie, J. Optimization of low temperature solar thermal electric generation with Organic Rankine Cycle in different areas. Appl. Energy 2010, 87, 3355–3365. [Google Scholar] [CrossRef]
  17. Shi, L.; Shu, G.; Tian, H.; Deng, S. A review of modified Organic Rankine cycles (ORCs) for internal combustion engine waste heat recovery (ICE-WHR). Renew. Sustain. Energy Rev. 2018, 92, 95–110. [Google Scholar] [CrossRef]
  18. Braimakis, K.; Karellas, S. Energetic optimization of regenerative Organic Rankine Cycle (ORC) configurations. Energy Convers. Manag. 2018, 159, 353–370. [Google Scholar] [CrossRef]
  19. Wang, X.D.; Zhao, L.; Wang, J.L. Experimental investigation on the low-temperature solar Rankine cycle system using R245fa. Energy Convers. Manag. 2011, 52, 946–952. [Google Scholar] [CrossRef]
  20. Chen, H.; Goswami, D.Y.; Stefanakos, E.K. A review of thermodynamic cycles and working fluids for the conversion of low-grade heat. Renew. Sustain. Energy Rev. 2010, 14, 3059–3067. [Google Scholar] [CrossRef]
  21. Bao, J.; Zhao, L. A review of working fluid and expander selections for organic Rankine cycle. Renew. Sustain. Energy Rev. 2013, 24, 325–342. [Google Scholar] [CrossRef]
  22. Shu, G.; Zhao, J.; Tian, H.; Liang, X.; Wei, H. Parametric and exergetic analysis of waste heat recovery system based on thermoelectric generator and organic rankine cycle utilizing R123. Energy 2012, 45, 806–816. [Google Scholar] [CrossRef]
  23. Wei, D.; Lu, X.; Lu, Z.; Gu, J. Dynamic modeling and simulation of an Organic Rankine Cycle (ORC) system for waste heat recovery. Appl. Therm. Eng. 2008, 28, 1216–1224. [Google Scholar] [CrossRef]
  24. Mago, P.J.; Chamra, L.M.; Srinivasan, K.; Somayaji, C. An examination of regenerative organic Rankine cycles using dry fluids. Appl. Therm. Eng. 2008, 28, 998–1007. [Google Scholar] [CrossRef]
  25. Nguyen, V.M.; Doherty, P.S.; Riffat, S.B. Development of a prototype low-temperature Rankine cycle electricity generation system. Appl. Therm. Eng. 2001, 21, 169–181. [Google Scholar] [CrossRef]
  26. Wang, X.D.; Zhao, L. Analysis of zeotropic mixtures used in low-temperature solar Rankine cycles for power generation. Sol. Energy 2009, 83, 605–613. [Google Scholar] [CrossRef]
  27. Wang, J.L.; Zhao, L.; Wang, X.D. A comparative study of pure and zeotropic mixtures in low-temperature solar Rankine cycle. Appl. Energy 2010, 87, 3366–3373. [Google Scholar] [CrossRef]
  28. Shu, G.; Wang, X.; Tian, H.; Liu, P.; Jing, D.; Li, X. Scan of working fluids based on dynamic response characters for Organic Rankine Cycle using for engine waste heat recovery. Energy 2017, 133, 609–620. [Google Scholar] [CrossRef]
  29. Yang, J.; Sun, Z.; Yu, B.; Chen, J. Experimental comparison and optimization guidance of R1233zd(E) as a drop-in replacement to R245fa for organic Rankine cycle application. Appl. Therm. Eng. 2018, 141, 10–19. [Google Scholar] [CrossRef]
  30. Ayachi, F.; Ksayer, E.B.; Neveu, P.; Zoughaib, A. Experimental investigation and modeling of a hermetic scroll expander. Appl. Energy 2016, 181, 256–267. [Google Scholar] [CrossRef]
  31. Jiang, L.; Lu, H.; Wang, R.; Wang, L.; Gong, L.; Lu, Y.; Roskilly, A.P. Investigation on an innovative cascading cycle for power and refrigeration cogeneration. Energy Convers. Manag. 2017, 145, 20–29. [Google Scholar] [CrossRef]
  32. Garg, P.; Karthik, G.M.; Kumar, P.; Kumar, P. Development of a generic tool to design scroll expanders for ORC applications. Appl. Therm. Eng. 2016, 109 Pt B, 878–888. [Google Scholar] [CrossRef]
  33. Gao, P.; Jiang, L.; Wang, L.W.; Wang, R.Z.; Song, F.P. Simulation and experiments on an ORC system with different scroll expanders based on energy and exergy analysis. Appl. Therm. Eng. 2015, 75, 880–888. [Google Scholar] [CrossRef]
  34. Hou, X.; Zhang, H.; Yu, F.; Liu, H.; Yang, F.; Xu, Y.; Tian, Y.; Li, G. Free piston expander-linear generator used for organic Rankine cycle waste heat recovery system. Appl. Energy 2017, 208, 1297–1307. [Google Scholar] [CrossRef]
  35. Baccioli, A.; Antonelli, M.; Desideri, U. Dynamic modeling of a solar ORC with compound parabolic collectors: Annual production and comparison with steady-state simulation. Energy Convers. Manag. 2017, 148, 708–723. [Google Scholar] [CrossRef]
  36. Papes, I.; Degroote, J.; Vierendeels, J. New insights in twin screw expander performance for small scale ORC systems from 3D CFD analysis. Appl. Therm. Eng. 2015, 91, 535–546. [Google Scholar] [CrossRef]
  37. Ziviani, D.; Suman, A.; Lecompte, S.; De Paepe, M.; van den Broek, M.; Spina, P.R.; Pinelli, M.; Venturini, M.; Beyene, A. Comparison of a Single-screw and a Scroll Expander under Part-load Conditions for Low-grade Heat Recovery ORC Systems. Energy Procedia 2014, 61, 117–120. [Google Scholar] [CrossRef]
  38. Kang, S.H. Design and experimental study of ORC (organic Rankine cycle) and radial turbine using R245fa working fluid. Energy 2012, 41, 514–524. [Google Scholar] [CrossRef]
  39. Song, P.; Wei, M.; Liu, Z.; Zhao, B. Effects of suction port arrangements on a scroll expander for a small scale ORC system based on CFD approach. Appl. Energy 2015, 150, 274–285. [Google Scholar] [CrossRef]
  40. Hou, X.; Zhang, H.; Xu, Y.; Yu, F.; Zhao, T.; Tian, Y.; Yang, Y.; Zhao, R. External load resistance effect on the free piston expander-linear generator for organic Rankine cycle waste heat recovery system. Appl. Energy 2018, 212, 1252–1261. [Google Scholar] [CrossRef]
  41. Jiménez-Arreola, M.; Pili, R.; Wieland, C.; Romagnoli, A. Analysis and comparison of dynamic behavior of heat exchangers for direct evaporation in ORC waste heat recovery applications from fluctuating sources. Appl. Energy 2018, 216, 724–740. [Google Scholar] [CrossRef]
  42. Dong, J.; Zhang, X.; Wang, J. Experimental investigation on heat transfer characteristics of plat heat exchanger applied in organic Rankine cycle (ORC). Appl. Therm. Eng. 2017, 112, 1137–1152. [Google Scholar] [CrossRef]
  43. Borsukiewicz-Gozdur, A. Pumping work in the organic Rankine cycle. Appl. Therm. Eng. 2013, 51, 781–786. [Google Scholar] [CrossRef]
  44. Tahir, M.B.I.N.M.; Yamada, N. Characteristics of Small ORC System for Low Temperature Waste Heat Recovery. J. Environ. Eng. 2009, 4, 375–385. [Google Scholar] [CrossRef]
  45. Kim, D.K.; Lee, J.S.; Kim, J.; Kim, M.S.; Kim, M.S. Parametric study and performance evaluation of an organic Rankine cycle (ORC) system using low-grade heat at temperatures below 80 °C. Appl. Energy 2017, 189, 55–65. [Google Scholar] [CrossRef]
  46. Yamada, N.; Minami, T.; Anuar Mohamad, M.N. Fundamental experiment of pumpless Rankine-type cycle for low-temperature heat recovery. Energy 2011, 36, 1010–1017. [Google Scholar] [CrossRef]
  47. Akbarzadeh, A.; Johnson, P.; Nguyen, T.; Mochizuki, M.; Mashiko, M.; Sauciuc, I.; Kusaba, S.; Suzuki, H. Formulation and analysis of the heat pipe turbine for production of power from renewable sources. Appl. Therm. Eng. 2001, 21, 1551–1563. [Google Scholar] [CrossRef]
  48. Yamada, N.; Watanabe, M.; Hoshi, A. Experiment on pumpless Rankine-type cycle with scroll expander. Energy 2013, 49, 137–145. [Google Scholar] [CrossRef]
  49. Gao, P.; Wang, L.W.; Wang, R.Z.; Jiang, L.; Zhou, Z.S. Experimental investigation on a small pumpless ORC (organic rankine cycle) system driven by the low temperature heat source. Energy 2015, 91, 324–333. [Google Scholar] [CrossRef]
  50. Jiang, L.; Lu, H.T.; Wang, L.W.; Gao, P.; Zhu, F.Q.; Wang, R.Z.; Roskilly, A.P. Investigation on a small-scale pumpless Organic Rankine Cycle (ORC) system driven by the low temperature heat source. Appl. Energy 2017, 195, 478–486. [Google Scholar] [CrossRef]
  51. Aspen Plus, version 8.8; Aspen Technology, Inc.: Cambridge, UK, 2018; Available online: https://www.aspentech.com/ (accessed on 7 November 2018).
  52. Freeman, J.; Hellgardt, K.; Markides, C.N. Towards the Optimization of a Domestic-Scale Organic Rankine System for Combined Heating and Power Provision in the UK; Department of Chemical Engineering; Imperial College: London, UK, 2013; p. 53. [Google Scholar]
  53. Perers., B.; Bales, C. A Solar Collector Model for TRNSYS Simulation and System Testing. Reporet of IEA SHC—Task 26: Solar Combisystems; International Energy Agency, Solar Heating & Cooling Programme, 2002. Available online: https://www.aee-intec.at/0uploads/dateien55.pdf (accessed on 7 November 2018).
  54. BS EN 12975-2: Thermal solar systems and components. Solar collectors. Test Methods 2006.
  55. Kaşka, Ö. Energy and exergy analysis of an organic Rankine for power generation from waste heat recovery in steel industry. Energy Convers. Manag. 2014, 77, 108–117. [Google Scholar] [CrossRef]
  56. Bekiloğlu, H.E.; Bedir, H.; Anlaş, G. Multi-objective optimization of ORC parameters and selection of working fluid using preliminary radial inflow turbine design. Energy Convers. Manag. 2019, 183, 833–847. [Google Scholar] [CrossRef]
Figure 1. Schematic diagram of combined solar heat and power systems based on (a) the conventional organic Rankine cycle (ORC); and (b) the ORC using thermal driven pump.
Figure 1. Schematic diagram of combined solar heat and power systems based on (a) the conventional organic Rankine cycle (ORC); and (b) the ORC using thermal driven pump.
Energies 12 00829 g001
Figure 2. Schematic diagram of ORC with thermal driven pump (a) first cycle; and (b) next cycle.
Figure 2. Schematic diagram of ORC with thermal driven pump (a) first cycle; and (b) next cycle.
Energies 12 00829 g002
Figure 3. T-s diagram of a solar ORC using R245fa as the working fluid.
Figure 3. T-s diagram of a solar ORC using R245fa as the working fluid.
Energies 12 00829 g003
Figure 4. Schematic diagram of the solar ORC model in Aspen Plus.
Figure 4. Schematic diagram of the solar ORC model in Aspen Plus.
Energies 12 00829 g004
Figure 5. Daily solar collector outlet temperature vs. time [52].
Figure 5. Daily solar collector outlet temperature vs. time [52].
Energies 12 00829 g005
Figure 6. Cumulative power output based on daily solar collector outlet temperatures.
Figure 6. Cumulative power output based on daily solar collector outlet temperatures.
Energies 12 00829 g006
Figure 7. Net power output as a function of the solar collector outlet temperature.
Figure 7. Net power output as a function of the solar collector outlet temperature.
Energies 12 00829 g007
Figure 8. Power outputs of two solar ORCs vs. different evaporating temperatures.
Figure 8. Power outputs of two solar ORCs vs. different evaporating temperatures.
Energies 12 00829 g008
Figure 9. Power outputs of two solar ORCs vs. different condensation temperatures.
Figure 9. Power outputs of two solar ORCs vs. different condensation temperatures.
Energies 12 00829 g009
Figure 10. Power outputs of two solar ORCs vs. various mass flow rates of solar collector fluid.
Figure 10. Power outputs of two solar ORCs vs. various mass flow rates of solar collector fluid.
Energies 12 00829 g010
Figure 11. Power outputs of two solar ORCs vs. various working fluid mass flow rates.
Figure 11. Power outputs of two solar ORCs vs. various working fluid mass flow rates.
Energies 12 00829 g011
Figure 12. Power outputs of two solar ORCs vs. different isentropic efficiencies of expander.
Figure 12. Power outputs of two solar ORCs vs. different isentropic efficiencies of expander.
Energies 12 00829 g012
Figure 13. Power output of two solar ORCs vs. heat exchangers efficiencies.
Figure 13. Power output of two solar ORCs vs. heat exchangers efficiencies.
Energies 12 00829 g013
Figure 14. Energy and exergy efficiencies of two solar ORCs (a) energy efficiency; and (b) exergy efficiency.
Figure 14. Energy and exergy efficiencies of two solar ORCs (a) energy efficiency; and (b) exergy efficiency.
Energies 12 00829 g014
Figure 15. Exergy destruction of each component between two solar ORCs using R134a.
Figure 15. Exergy destruction of each component between two solar ORCs using R134a.
Energies 12 00829 g015
Figure 16. Exergy efficiency of each component between two solar ORCs using R134a.
Figure 16. Exergy efficiency of each component between two solar ORCs using R134a.
Energies 12 00829 g016
Table 1. Working mode for the organic Rankine cycle (ORC) using thermal driven pump (TDP).
Table 1. Working mode for the organic Rankine cycle (ORC) using thermal driven pump (TDP).
Working ModePre-ExpansionPower GenerationPre-ExpansionPower Generation
Heat exchanger 1CoolingCoolingHeatingHeating
Heat exchanger 2HeatingHeatingCoolingCooling
PowerUnableAbleUnableAble
Table 2. Different operating modes of valves for the ORC using TDP.
Table 2. Different operating modes of valves for the ORC using TDP.
ValvesV1, V3, V6, V8V2, V4, V5, V7RV1, RV3RV2, RV4
First cyclePre-expansionOpenCloseCloseClose
Power generationOpenCloseCloseOpen
Next cyclePre-expansionCloseOpenCloseClose
Power generationCloseOpenOpenClose
Table 3. Input parameters of the solar ORC model in Aspen Plus.
Table 3. Input parameters of the solar ORC model in Aspen Plus.
SectionParameterValue
Fluid pumpDischarge pressureEvaporating pressure
Efficiency0.65
RegeneratorCold stream outlet temperatureT6
PreheaterCold stream outlet vapour fraction0
EvaporatorCold stream outlet vapour fraction1
SuperheaterCold stream outlet temperatureT1
ExpanderDischarge pressureCondensing pressure
Isentropic efficiency0.75
CondenserCondensation temperature20 °C
Working fluidMass flow rate0.003 kg·s−1
Solar collector fluidMass flow rate a0.03 kg·s−1
Solar hot water inlet temperature bTsc,1
Cooling waterMass flow rate0.1 kg·s−1
Cooling temperature10 °C
a Values are taken from the [5]. b The solar hot water inlet temperature is adopted from the [52].
Table 4. Solar collector model coefficients [1].
Table 4. Solar collector model coefficients [1].
CoefficientValue
η00.82
c10.399
c20.0067
Kθ,(θ = 50°)0.91
Table 5. Comparison of results between the reference and present work.
Table 5. Comparison of results between the reference and present work.
ParameterT1 (°C)mwf (kg·s−1)T4 (°C)T5 (°C)Wnet (kW)Qh (kW)ηORC (%)
Kaşka, Ö [55]92.911.0634.935.4262.2247910.58
Present study93.311.0634.8735.41 244.6231310.57
Error (%)0.4300.090.036.716.690.09
Table 6. Comparison between the conventional ORC and ORC with TDP driven by solar energy.
Table 6. Comparison between the conventional ORC and ORC with TDP driven by solar energy.
TypeSystem TypeSystem CompactnessOutput StabilityEnergy EfficiencyCost
Conventional ORCContinuousModerateHighLowHigh
ORC using TDPIntermittentHighLowModerateAt least 10% less

Share and Cite

MDPI and ACS Style

Wang, R.; Jiang, L.; Ma, Z.; Gonzalez-Diaz, A.; Wang, Y.; Roskilly, A.P. Comparative Analysis of Small-Scale Organic Rankine Cycle Systems for Solar Energy Utilisation. Energies 2019, 12, 829. https://doi.org/10.3390/en12050829

AMA Style

Wang R, Jiang L, Ma Z, Gonzalez-Diaz A, Wang Y, Roskilly AP. Comparative Analysis of Small-Scale Organic Rankine Cycle Systems for Solar Energy Utilisation. Energies. 2019; 12(5):829. https://doi.org/10.3390/en12050829

Chicago/Turabian Style

Wang, Ruiqi, Long Jiang, Zhiwei Ma, Abigail Gonzalez-Diaz, Yaodong Wang, and Anthony Paul Roskilly. 2019. "Comparative Analysis of Small-Scale Organic Rankine Cycle Systems for Solar Energy Utilisation" Energies 12, no. 5: 829. https://doi.org/10.3390/en12050829

APA Style

Wang, R., Jiang, L., Ma, Z., Gonzalez-Diaz, A., Wang, Y., & Roskilly, A. P. (2019). Comparative Analysis of Small-Scale Organic Rankine Cycle Systems for Solar Energy Utilisation. Energies, 12(5), 829. https://doi.org/10.3390/en12050829

Note that from the first issue of 2016, this journal uses article numbers instead of page numbers. See further details here.

Article Metrics

Back to TopTop