Next Article in Journal
Experimental Demonstration of Deterministic Chaos in a Waste Oil Biodiesel Semi-Industrial Furnace Combustion System
Next Article in Special Issue
Wireless Power Hanger Pad for Portable Wireless Audio Device Power Charger Application
Previous Article in Journal
A Novel Coding Metasurface for Wireless Power Transfer Applications
Previous Article in Special Issue
Single-Layer Transmitter Array Coil Pattern Evaluation toward a Uniform Vertical Magnetic Field Distribution
 
 
Font Type:
Arial Georgia Verdana
Font Size:
Aa Aa Aa
Line Spacing:
Column Width:
Background:
Article

Wireless Battery Charging Circuit Using Load Estimation without Wireless Communication

1
Department of Electrical Engineering, Pohang University of Science and Technology, Pohang, Kyungpook 37673, Korea
2
LS Industrial Systems R&D Campus, LS-ro 116 beongil 40, Dongan-gu, Anyang-si, Gyeonggi-do 14118, Korea
*
Author to whom correspondence should be addressed.
Energies 2019, 12(23), 4489; https://doi.org/10.3390/en12234489
Submission received: 15 October 2019 / Revised: 17 November 2019 / Accepted: 21 November 2019 / Published: 25 November 2019
(This article belongs to the Special Issue Intelligent Wireless Power Transfer System and Its Application)

Abstract

:
A wireless battery charging circuit is proposed, along with a new load estimation method. The proposed estimation method can predict the load resistance, mutual inductance, output voltage, and output current without any wireless communication between the transmitter and receiver sides. Unlike other estimation methods that sense the high-frequency AC voltage and current of the transmitter coil, the proposed method only requires the DC output value of the peak current detection circuit at the transmitter coil. The proposed wireless power transfer (WPT) circuit uses the estimated parameters, and accurately controls the output current and voltage by adjusting the switching phase difference of the transmitter side. The WPT prototype circuit using a new load estimation method was tested under various coil alignment and load conditions. Finally, the circuit was operated in a constant current and constant voltage modes to charge a 48-V battery pack. These results show that the proposed WPT circuit that uses the new load estimation method is well suited for charging a battery pack.

1. Introduction

Wireless power transfer (WPT) technologies have been rapidly developed and widely applied to many industrial applications, such as biomedical devices, consumer electronics, manufacturing facilities, and electric vehicles (Evs), where direct contact between power supplies and applications is impossible or inconvenient [1,2,3,4]. To efficiently transfer power, most of the WPT circuits use electromagnetic coupling between coils. These WPT circuits use capacitors to reduce reactive power [5,6,7,8,9,10,11,12,13], and can be largely categorized into four types, depending on whether the capacitors are connected with the transmitter and receiver coils in series and series (S-S), series and parallel (S-P), parallel and parallel (P-P), or parallel and series (P-S) [5,6,7]. Among them, the S-S circuit has been widely used because the capacitances can be chosen independently of the load and coupling conditions [7,8,9,10].
A typical S-S WPT circuit (Figure 1) [7,9,10] consists of a full-bridge inverter (Q1Q4), a transmitter coil (L1), a full-bridge rectifier (D1D4), a receiver coil (L2), and two capacitors (C1 and C2). L1 forms a resonance circuit with C1, and L2 forms a resonance circuit with C2. Both resonance circuits are designed to have the same resonance frequency ω o = 2 π f o = 1 / L 1 C 1 = 1 / L 2 C 2 . The transmitter and receiver coils have a mutual inductance, M12. The input to the full-bridge inverter is a DC voltage VDC.
To charge a battery, the S-S WPT circuit should be operated in constant current (CC) output mode when the battery voltage Vbat is lower than predetermined limit voltage Vbat,cut, and in constant voltage (CV) mode when Vbat,cutVbat < charging voltage limit (CVL) [[9,10,11,12]. To support both modes, an additional DC–DC converter can be inserted between the S-S WPT circuit and the battery. However, the additional converter decreases the power transfer efficiency ηe and the power density [8,13]. To solve this problem, the battery can be directly connected to the S-S WPT circuit, as in Figure 1, and several control methods have been introduced [9,10,11,12,13].
The WPT circuit in [9] uses the same S-S WPT circuit (Figure 1) and adopts a pulse frequency modulation (PFM) method to obtain a CV output. In this circuit, the switching frequency range should be selected differently whenever the coupling coefficient is varied, so the range of the frequency limiter cannot be determined easily when the coupling coefficient k12 varies widely. Also, wireless communication should be introduced to operate the PFM method. The circuit in [10] improves ηe by using two intermediate coils that are placed between the transmitter and receiver coils, and uses f = fCC for CC output and f = fCV for CV output, where the frequencies fCC and fCV are determined by the coupling coefficients among the four coils. However, the values of fCC and fCV vary in the manner that any coupling coefficient varies, and no method has been developed to date to measure the coupling coefficients, so accurate determination of fCC and fCV is a difficult task. The circuits in [11,12] use auxiliary switches and capacitors to change the output from CC to CV mode. However, this circuit needs wireless communication to change the operational mode, and additional components also decrease the power density. As mentioned above, most of control methods require wireless communication to know the load conditions and coupling state.
To eliminate the necessity for wireless communication, several load estimation methods have been presented [14,15,16,17,18,19]. The methods in [14,15,16] predict the load resistance RL by using the information of the input voltage and current. However, these methods should know the value of the coupling state before estimating the load conditions, so they cannot be used for various coil alignments. The method in [17] adopts an additional capacitor in the S-S WPT circuit; this method operates the circuit in two modes for system identification, and analyzes the reflected impedance. However, the additional capacitor and bidirectional switch increase the circuit cost. The method in [18] measures the input voltage and current, and separates the imaginary part of the input impedance. To estimate the load conditions and coupling state, this method is implemented at one frequency, which is not a resonant frequency, so the impedance of the resonant tank slightly decreases the power transfer efficiency. The method in [19] injects a high frequency energy into the S-S WPT circuit, then detects the response of the circuit to estimate the load conditions. However, this method cannot follow the load conditions after initial energy injection. All of these methods [14,15,16,17,18,19] can estimate the load conditions well, so they should be able to sense the high-frequency AC input voltage and current. The resonant frequency of the WPT circuit can be up to several hundred kilohertz, so the sampling frequency should be much higher than the resonant frequency; as a result, the analog-to-digital conversion is difficult.
This paper proposes a wireless battery charging circuit along with a load estimation method. This circuit does not need any wireless communication between the transmitter and receiver sides, and predicts the load resistance RL, output voltage Vbat, output current Ibat, and mutual inductance M12. In addition, because the simple peak current detection circuit is applied at the transmitter coil, the proposed circuit only senses the DC value, and does not need a high sampling frequency. The proposed WPT circuit senses the peak current values of the transmitter coil at fo and auxiliary frequency fa, and calculates the load conditions by using these values. Then, the proposed WPT circuit operates in CC and CV modes, depending on the estimated load conditions and phase shift control of the full-bridge inverter. In Section 2, the analysis of the proposed WPT circuit with a load estimation method is given based on the fundamental harmonic approximation (FHA), experimental results are presented in Section 3, possible errors in the proposed estimation method are analyzed in Section 4, and a conclusion is given in Section 5.

2. Wireless Power Transfer Circuit for Battery Charging

2.1. Theoretical Models of the S-S WPT Circuit

The gate control pulses Qg1Qg4 (Figure 2) for the full-bridge inverter have a switching frequency f = 1/T = ω/(2π). The switching phase of Q g 1 and Q ¯ g 2 lags behind that of Q g 3 lags behind that of and Q ¯ g 4 by an angle ϕ, so the bipolar output pulses of the full-bridge inverter (v1, Figure 2) have a dead phase angle ϕ between the pulses. The fundamental component of v1 is given by
v 1 ( t ) = V 1 sin ( ω t ) = 2 V D C π ( 1 + cos ϕ ) sin ( ω t ) .
The current i1(t) of the transmitter coil, the current i2(t) of the receiver coil, and the input voltage v2(t) to the rectifier in Figure 1 can be expressed as
i 1 = I 1 sin ( ω t + θ )
v 2 ( t ) = V 2 sin ( ω t + θ + ϕ ) = 4 V b a t π sin ( ω t + θ + ϕ )
i 2 ( t ) = I 2 sin ( ω t + θ + ϕ ) = I b a t π 2 sin ( ω t + θ + ϕ ) ,
where θ and ϕ are phase angles, Vbat is the battery voltage, and Ibat is the averaged charging current of the battery.
The S-S WPT circuit had an equivalent circuit (Figure 3) for the fundamental component, where Rin, R1, and R2 are the equivalent series resistances (ESRs) of the full-bridge inverter, primary coil, and secondary coil, respectively. Using Equations (3) and (4), the equivalent resistance of the battery Rbat can be modeled with an equivalent resistance RL,eq as:
R L , e q = 8 π 2 R b a t = 8 π 2 V b a t I b a t .
Then, the Kirchhoff’s voltage law (KVL) gives
V 1 = ( R i n + Z 1 ) I 1 j ω M 12 I 2 ,
j ω M 12 I 1 = ( Z 2 + R L , e q ) I 2 ,
where Z1 = R1 + jωL1 + 1/(jωC1) and Z2 = R2 + jωL2 + 1/(jωC2). Using Equations (6) and (7), the phase of the input impedance Zin (Figure 4a), the voltage conversion ratio Tv (Figure 4b), the amplitude of i1(t), the peak current of i1(t) (I1) (Figure 4c), the amplitude of i2(t), and the peak current of i2(t) (I2) (Figure 4d) are calculated as
Z i n = V 1 I 1 = ( R i n + Z 1 ) ( Z 2 + R L , e q ) + ω 2 M 12 2 Z 2 + R L , e q ,
T v = | V 2 V 1 | = | R L , e q I 2 V 1 | = | j ω M 12 R L , e q ( R i n + Z 1 ) ( Z 2 + R L , e q ) + ω 2 M 12 2 | ,
I 1 = | Z 2 + R L , e q ( R i n + Z 1 ) ( Z 2 + R L , e q ) + ω 2 M 12 2 | V 1 ,
I 2 = | j ω M 12 ( R i n + Z 1 ) ( Z 2 + R L , e q ) + ω 2 M 12 2 | V 1 .

2.2. Load Estimation Method Using the Magnitue of Input Impedance

The proposed circuit uses the simple peak detection circuit (Figure 5) in [20] to measure the peak current of the transmitter coil I1 as a DC value. The peak detection circuit is composed of a current sensor, an amplifier for the peak detection (A1), an amplifier for the voltage follower (A2), an input resistance of peak detector (Ri), a feedback loop resistance (Rf), a feedback loop diode (Df), a rectification diode (Do), an output capacitor (Co), and an output resistance (Ro). If the output voltage of the current sensor (Vs) is lower than the voltage of Co (Vo), Df remains on, and Do remains off. In this operating mode, the output voltage of A2 (Vout) is clamped to Vo, and Co is discharged by Ro. When Vo becomes smaller than Vs, Df is turned off and Do is turned on. In this operating mode, Co is charged to the new positive peak of Vs, so Vs = Vo = Vout.
To estimate the load conditions, the peak detection circuit measures the peak current I1,o at f = fo and I1,a at f = fa, respectively, and uses simple mathematical equations for the input impedance. The measurement time of I1,o and I1,a is short, so the load conditions are assumed to remain constant during the estimation process. Also, the system parameters of the transmitter side (VDC, ϕ, L1, C1 and R1) and receiver side (L2, C2 and R2) are assumed to be known, and the proposed method predicts M12, RL,eq, Ibat, and Vbat.
At first, the circuit operates at f = fo, and the M12 can be expressed using detected I1,o and Equation (8) as
M 12 2 = [ R 2 + R L , e q ] [ V 1 , o I 1 , o ( R i n + R 1 ) ] ω o 2 I 1 , o .
where V1,o is the peak voltage of the transmitter coil at f = fo, V 1 , o = 2 V D C ( 1 + cos ϕ ) / π from Equation (1), and the unknown parameters of Equation (12) are M12 and RL,eq.
Then, the circuit operates at f = fa, and the square of the absolute value of input impedance | Z i n , a | 2 = V 1 , a 2 / I 1 , a 2 can be expressed using Equation (8) as
| Z i n , a | 2 = ( R 1 + R i n ) 2 + ( ω a L 1 1 / ω a C 1 ) 2 + 2 ω a 2 M 12 2 { ( R 1 + R i n ) ( R 2 + R L , e q ) ( ω a L 1 1 / ω a C 1 ) ( ω a L 2 1 / ω a C 2 ) } + ω a 4 M 12 4 ( R 2 + R L , e q ) 2 + ( ω a L 2 1 / ω a C 2 ) 2 ,
where V1,a, I1,a is the peak voltage and current of transmitter coil at f = fa, V 1 , a = 2 V D C ( 1 + cos ϕ ) / π from Equation (1). In this equation, the unknown parameters are the same as Equation (12).
If Equation (12) is applied to Equation (13), the RL,eq can be arranged as α R L , e q 2 + β R L , e q + γ = 0 , where α, β and γ are as follows:
α = ω o 4 I 1 , o 2 | Z i n , a | 2 ω o 4 I 1 , o 2 { ( R 1 + R i n ) 2 + ( ω a L 1 1 / ω a C 1 ) 2 } 2 ω a 2 ω o 2 I 1 , o { R 1 + R i n } { V 1 , o I 1 , o ( R i n + R 1 ) } ω a 4 { V 1 , o I 1 , o ( R i n + R 1 ) } 2
β = 2 R 2 ω o 4 I 1 , o 2 | Z i n , a | 2 2 R 2 ω o 4 I 1 , o 2 { ( R 1 + R i n ) 2 + ( ω a L 1 1 / ω a C 1 ) 2 } 2 ω a 2 ω o 2 I 1 , o { 2 R 2 ( R 1 + R i n ) ( ω a L 1 1 / ω a C 1 ) ( ω a L 2 1 / ω a C 2 ) } { V 1 , o I 1 , o ( R i n + R 1 ) } 2 R 2 ω a 4 { V 1 , o I 1 , o ( R i n + R 1 ) } 2
γ = ω o 4 I 1 , o 2 | Z i n , a | 2 { R 2 2 + ( ω a L 2 1 / ω a C 2 ) 2 } ω o 4 I 1 , o 2 { ( R 1 + R i n ) 2 + ( ω a L 1 1 / ω a C 1 ) 2 } { R 2 2 + ( ω a L 2 1 / ω a C 2 ) 2 } ω a 4 R 2 2 { V 1 , o I 1 , o ( R i n + R 1 ) } 2 2 ω a 2 ω o 2 I 1 , o { R 2 2 ( R 1 + R i n ) R 2 ( ω a L 1 1 / ω a C 1 ) ( ω a L 2 1 / ω a C 2 ) } { V 1 , o I 1 , o ( R i n + R 1 ) } .
This equation has two solutions for RL,eq, and the smaller one is a reasonable value according to the calculation result, so estimated load resistance RL,eq,est and estimated equivalent resistance of battery Rbat,est can be estimated as
R L , e q , e s t = β β 2 4 α γ 2 α = 8 π 2 R b a t , e s t .
Then, the estimated mutual inductance M12,est can also be derived by applying Equation (17) to Equation (12) as:
M 12 , e s t = [ 2 α R 2 β β 2 4 α γ ] [ V 1 , o I 1 , o ( R i n + R 1 ) ] 2 α ω o 2 I 1 , o .
Other important estimated load parameters Ibat,est and Vbat,est at f = fo can be expressed using Equations (1)–(7), (17), and (18) as
I b a t , e s t = 2 I 1 , o π ω o M 12 , e s t R 2 + R L , e q , e s t
V b a t , e s t = π 2 8 I b a t , e s t R L , e q , e s t .
Finally, the proposed method can predict RL,eq, M12, Ibat, and Vbat, and does not need a high sampling frequency to measure AC voltage and current, similar to previous studies [14,15,16,17,18,19].

2.3. Control Method of the S-S WPT Circuit for Battery Charging

The battery should be charged in CC mode when VbatVbat,cut, and in CV mode when Vbat > Vbat,cut. In CV mode, Ibat decreases as Vbat increases, until Ibat reaches the end charging current Iend at which the charging operation stops [9,10,11,12].
Tv and I2 in Equations (9) and (11) depend on RL,eq, which varies as the charge state of battery varies. When all ESRs are negligibly small, Equation (11) gives I2 at ω = ωo as
I 2 = ω o M 12 V 1 ( R i n + R 1 ) ( R 2 + R L , e q ) + ω o 2 M 12 2 V 1 ω o M 12 ,
because Z1 = R1 and Z2 = R2 when ω = ωo. This equation indicates that the WPT circuit can be operated in CC mode if all ESRs are ignored and ω = ωo. However, ESRs affect the capability of CC regulation (Figure 4d), so a separate control method should be introduced to attain CC mode; the proposed WPT circuit applies phase shift control of the full-bridge inverter at f = fo, and the ϕ to maintain the CC output is compensated by using the proportional integral (PI) controller, which can be calculated as
ϕ = cos 1 { π 2 ( I r e f / 2 ) [ ( R i n + R 1 ) ( R 2 + R L , e q , e s t ) + ω o 2 M 12 , e s t 2 ] 2 ω o M 12 , e s t V D C 1 } ,
where Iref is the predetermined charging current reference. If ESRs are very small in CC mode, the influence of RL,eq in ϕ will also be very small.
To operate the WPT circuit in CV mode, Tv should not depend on RL,eq. If all ESRs are negligible, Equation (9) can be approximated as
T v |   [ j ω M 12 ] / [ ( j ω L 1 + 1 / j ω C 1 ) + κ / R L , e q ]   | ,
where κ = ω 2 ( M 12 2 L 1 L 2 ) 1 / ( ω 2 C 1 C 2 ) + L 1 / C 2 + L 2 / C 1 . After setting κ = 0, the frequencies fCV1 and fCV2 for CV operation are obtained as f C V 1 = 2 π f o / 1 + k 12 and f C V 2 = 2 π f o / 1 k 12 , and Tv at f = fCV1 or f = fCV2 is calculated using Equation (23) and M 12 = k 12 L 1 L 2 as T v = L 2 / L 1 . However, ESRs in CV mode are also difficult to ignore, and if fCV1 and fCV2 deviate too much from fo, the system efficiency also drastically decreases [14]. Therefore, the proposed WPT circuit still operates at f = fo in CV mode, and the ϕ to maintain the CV output is compensated by using the PI controller, which can be calculated as
ϕ = cos 1 { 4 CVL [ ( R i n + R 1 ) ( R 2 + R L , e q , e s t ) + ω o 2 M 12 , e s t 2 ] 2 ω o M 12 , e s t V D C R L , e q , e s t 1 } .
The influence of RL,eq in CV mode cannot be ignored, even if ESRs are very small. Thus, ϕ will increase as RL,eq increases.
Finally, the proposed S-S WPT circuit applies the control algorithm (Figure 6) for battery charging, and it consists of the following procedures:
(1)
Modulate the WPT circuit at f = fo and fa; sense the I1,o and I1,a, respectively.
(2)
Using the I1,o and I1,a, estimate Rbat,est[1] = Vbat,est[1] / Ibat,est[1] and M12,est.
(3)
If Vbat,est[1] < CVL, begin the control procedure. Otherwise, turn off the S-S WPT circuit.
(4)
Set f = fo to operate the WPT circuit in the CC mode.
(5)
Using the PI controller, adjust ϕ[n] such that Ibat,est equals to Iref.
(6)
Estimate the Rbat,est[n] = Vbat,est[n] / Ibat,est[n] by using I1,o[n] and (12); Rbat,est[n] is continuously updated to follow the charging profile of battery.
(7)
Repeat (5)–(6) until Vbat,est[n] = CVL.
(8)
Change the operation of WPT circuit from the CC to CV mode, and maintain f = fo.
(9)
Using the PI controller, adjust ϕ[n] such that Vbat,est = CVL.
(10)
Repeat procedure 6 until Ibat,est[n] =Iend.
(11)
Turn off the S-S WPT circuit.
The controller has a protection function for charging current limit (CCL), CVL, and coil alignment of the WPT circuit. When M12,est < M12,limit, the controller terminates the battery-charging operation, because the alignment of the coils is inappropriate for battery charging.

3. Experimental Results

The experimental S-S WPT circuit for battery charging (Figure 7a,b) was built and tested to prove the proposed control method. Two identical coils had an inner diameter of 100 mm and outer diameter of 200 mm; L1 = 202.49 μH, L2 = 202.06 μH, and C1 = C2 = 50 nF were chosen for fo = 50 kHz. The input voltage VDC was 50 V, and the sampling frequency to sense the output value of the peak detector was set as 50 kHz, which was simply synchronized to the fo. The values of circuit parameters are given in Table 1.
First, the load estimation was performed using the method in Section 2.2. Rbat and M12 between the transmitter and receiver coils were measured and estimated using electrical load (DL1000H; NF, Co., Ltd.) and a inductance, capacitance and resistance (LCR) meter. The coil alignment was modulated on either the separation h in the axial direction of the coil or the misalignment v in the radial direction (Figure 8). At h = 6 cm and v = 0 cm, the WPT circuit was operated at fo = 50 kHz and fa = 55 kHz to estimate the load condition, and Rbat = 20.11 Ω and M12 = 48.81 μH at ϕ = 0. The measured I1,o = 4.21 A (Figure 9a) and I1,a = 5.08 A (Figure 9b), and the estimated load conditions were Rbat,est = 20.49 Ω and M12,est = 49.30 μH by using Equations (17) and (18). The errors of estimation results were −1.88% and −1.86%, respectively; other estimation results were obtained while varying h, v, and Rbat (Table 2 and Table 3). Here, h was varied in the range of 5–7 cm at v = 0 cm, v was varied in the range of 0–6 cm at h = 0 cm, and Rbat was varied in the range of 15.06–25.17 Ω. As a result, the proposed method estimated the Rbat and M12 within absolute errors at <3.87% and <3.38%, respectively. These experimental results demonstrate the usefulness of the proposed load estimation method. The errors of estimation were caused by inductance variation according to the coil alignment conditions and measurement error at fo and fa. A detailed error analysis is given in the next section.
The current and voltage regulation for the battery charging were implemented using the controller proposed in Section 2.3. An electrical load was used to emulate the battery pack, which was assumed to have 30 V ≤ Vbat ≤ 48 V (corresponding to a pack of 12 serially connected Li-ion battery cells). The Rbat of the battery pack was 15 Ω ≤ Rbat ≤ 24 Ω for CC charging at Iref = 2 A and 24 Ω ≤ Rbat ≤ 240 Ω for CV charging at CVL = 48 V and Iend = 200 mA. The transmitter and receiver coils were located at h = 5 cm and v = 0 cm. In procedures 1 and 2, the controller of the WPT circuit used fo = 50 kHz and fa = 55 kHz; Rbat,est (1) = 15.51 Ω at Rbat = 15.01 Ω (−3.33% error) and M12,est = 59.78 μH at M12 =59.18 μH (−1.01% error). Because Vbat,est (1) = 31.02 V < CVL in procedure 3, the controller began the charging control procedures in steps 4–11.
In the CC mode of procedures 4–7, the waveform (Figure 10) shows that v1 and i1 had the same phase because the S-S WPT circuit operated at f = fo, and that ϕ was compensated to regulate Ibat,est = Iref. When the circuit operated at Rbat = 15.01 Ω (Figure 10a), Ibat = 2.07 A (–3.5% error) and Vbat = 31.21 V. In this CC mode, Vbat increased as Rbat increased because Ibat,est tracked the predetermined Iref = 2 A. The waveform of Figure 10b shows that Vbat increased to 46.55 V at Rbat = 22.47 Ω, while Ibat = 2.07 A (–3.5% error). When procedure 5 was used in the CC mode, the range of regulated Ibat was 2.074–2.079 A; the tracking absolute error was <3.95% (Figure 12). The power transfer efficiency of the CC mode gradually increased as Rbat increased, and the range of it was 88.81–92.05% (Figure 13). After Vbat,est reached CVL = 48 V, the charging mode was changed to CV mode in the procedures 8–11.
The waveform of CV mode (Figure 11) also shows that v1 and i1 had the same phase because the S-S WPT circuit operated at f = fo, and that ϕ was compensated to regulate Vbat,est = CVL. When the circuit operated at Rbat = 54.10 Ω (Figure 11a), Vbat = 47.24 V (1.58% error) and Ibat = 0.88 A. In this CV mode, as Rbat increased, Tv increased (Figure 4b); ϕ should be increased to maintain Vbat. Thus, Ibat gradually decreased until Ibat,est = Iend. The waveform of Figure 11b shows that Ibat decreased to 0.2 A at Rbat = 244 Ω, while Vbat = 47.92 V (0.16% error). When procedure 9 was used, the range of regulated Vbat was 47.09–47.92 V; the tracking absolute error was <1.89% (Figure 12). The power transfer efficiency of the CV mode gradually decreased as Rbat increased, and the range was 74.77–92.49% (Figure 13).
These results show that the proposed load estimation method is suitable for use in battery charging, and that the adjustment of ϕ was crucial to have Ibat follow Iref in CC charging mode and to have Vbat follow CVL in CV charging mode.

4. Error Analysis

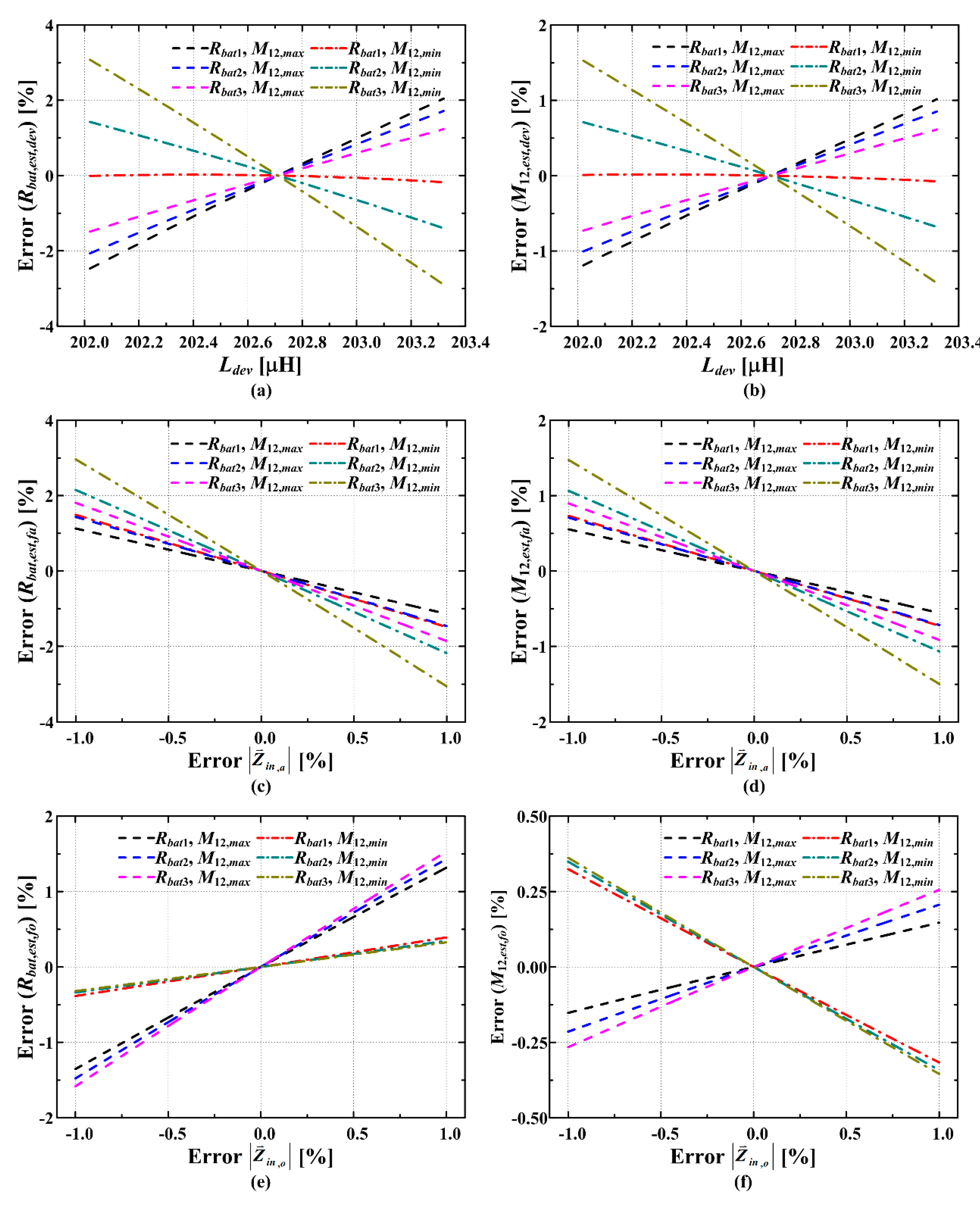
In the proposed estimation method, the errors of estimation results can be generated using the deviated inductance (Ldev) according to the coil alignment and measurement error of input impedance at fo and fa. Therefore, these errors of the proposed method were analyzed by using MATLAB (R2015a, MathWorks, Massachusetts, USA) in this section.
In this section, the errors of estimation results due to the Ldev (Figure 14a,b) were calculated as
Error ( R b a t , e s t , d e v ) = [ ( R b a t R b a t , e s t ( L d e v ) ) / R b a t ] × 100 ,
Error ( M 12 , e s t , d e v ) = [ ( M 12 M 12 , e s t ( L d e v ) ) / M 12 ] × 100 ,
where Rbat,est(Ldev) and M12,est(Ldev) are estimated Rbat and M12 in the Ldev. The measurement errors of input impedance (Figure 14c–f) were calculated as
Error | Z i n , a | = [ ( | Z i n , a | | Z i n , a , m e a s u r e | ) / | Z i n , a | ] × 100 ,
Error | Z i n , o | = [ ( | Z i n , o | | Z i n , o , m e a s u r e | ) / | Z i n , o | ] × 100 ,
where | Z i n , a , m e a s u r e | and | Z i n , o , m e a s u r e | are measured values of | Z i n , a | and | Z i n , o | at f = fa and f = fo by using a peak detection circuit in Figure 5. Then, the errors of estimation results due to the Error | Z i n , a | and Error | Z i n , o | (Figure 14c–f) were calculated as
Error ( R b a t , e s t , f a ) = [ ( R b a t R b a t , e s t ( | Z i n , a , m e a s u r e | ) ) / R b a t ] × 100 ,
Error ( M 12 , e s t , f a ) = [ ( M 12 M 12 , e s t ( | Z i n , a , m e a s u r e | ) ) / M 12 ] × 100 ,
Error ( R b a t , e s t , f o ) = [ ( R b a t R b a t , e s t ( | Z i n , o , m e a s u r e | ) ) / R b a t ] × 100 ,
Error ( M 12 , e s t , f o ) = [ ( M 12 M 12 , e s t ( | Z i n , o , m e a s u r e | ) ) / M 12 ] × 100 ,
where Rbat,est( | Z i n , a , m e a s u r e | ) and M12,est( | Z i n , a , m e a s u r e | ) are Rbat,est and M12,est in the Error | Z i n , a | , and Rbat,est( | Z i n , o , m e a s u r e | ) and M12,est( | Z i n , o , m e a s u r e | ) are Rbat,est and M12,est in the Error | Z i n , o | .
At first, the coil alignment of the proposed estimation method was verified in the rage of h = 5–7 cm at v = 0 cm and v = 0–6 cm at v = 5 cm. In this misalignment range of coils, the self-inductance of L1 and L2 was changed according to the effect of the magnetic field between coils. The variation range of L1 = 202.01–203.41 μH, and L2 = 201.50–202.94 μH in M12 = 38.66–59.18 μH. In this error analysis, according to the Ldev, the simulation parameters were set as L1 = L2 = 202.71 μH, C1 = C2 = 49.97 nF, Rin = 12 mΩ, R1 = 252 mΩ, and R2 = 248 mΩ. Then, the Ldev was equivalently set between L1 and L2 as Ldev = L1,dev = L2,dev = 202.02–203.41 μH, Rbat1 = 15 Ω, Rbat2 = 20 Ω, Rbat3 = 25 Ω, M12,max = 59.18 μH, and M12,min = 38.66 μH. The Error | Z i n , a | and Error | Z i n , o | were set to zero in this analysis, and only Ldev was considered. As a result, the Error(Rbat,est,dev) and Error(M12,est,dev) increased as Rbat decreased at M12,max and Rbat increased at M12,min (Figure 14a,b). Also, the Error(Rbat,est,dev) and Error(M12,est,dev) due to the variation of Rbat (Rbat1Rbat3) were more sensitive at M12,min than M12,max.
Secondly, the proposed estimation method measures the | Z i n , a , m e a s u r e | and | Z i n , o , m e a s u r e | , and the Error | Z i n , a | and Error | Z i n , o | have an effect on the accuracy of the estimation. In this error analysis, according to the Error | Z i n , a | and Error | Z i n , o | , Error(Rbat,est,fa), Error(M12,est,fa), Error(Rbat,est,fo), and Error(M12,est,fo) were analyzed under the ±1% variation of Error | Z i n , a | and Error | Z i n , o | , and the simulation parameters were equivalently set as the error analysis of Equations (25) and (26). The Error(Rbat,est,dev) and Error(M12,est,dev) were set to zero in this analysis. In the Error | Z i n , a | , the Error(Rbat,est,fa) and Error(M12,est,fa) increased as Rbat increased, and were larger at M12,min than M12,max in the same Rbat (Figure 14c,d). In the Error | Z i n , o | at M12,max, the Error(Rbat,est,fo) and Error(M12,est,fo) increased as Rbat increased. At M12,min, the Error(Rbat,est,fo) increased as Rbat decreased, and Error(M12,est,fo) increased as Rbat increased (Figure 14e,f). Overall, the Error | Z i n , a | had more impact on the accuracy of proposed estimation method than the Error | Z i n , o | .
In conclusion, the errors of estimation results were <3% in Equations (25), (29), and (31), and <1.5% in Equations (26), (30) and (32). Also, Equations (25) and (26) (Figure 14a,b) were more sensitive to the variation of Rbat and M12 than Equations (29)–(32) (Figure 14c–f). In the practical applications, the proposed controller (Figure 6) includes the protection function to limit the range of coil alignment as M12,est < M12,limit, and the auxiliary positioning device can be introduced to minimize the inductance deviation.

5. Conclusions

This paper presents a wireless battery charging circuit that uses a new load estimation method. The proposed method estimates RL, M12, Vbat, and Ibat without any wireless communication by using a simple peak detection circuit to sense the peak current of the transmitter coil; it samples this peak current as a DC value. After the peak current values are sampled at resonant frequency fo and auxiliary frequency fa, the estimation is performed by using the magnitude of the input impedance. Thus, this method does not need a high sampling frequency to detect the AC voltage and the current of the transmitter coil. When the proposed WPT circuit is operated to charge a battery pack, the circuit uses the proposed load estimation method and phase ϕ control of the full-bridge inverter to regulate the output current and voltage. A prototype circuit to charge a 48-V battery pack was tested under the various load resistance and coil alignment conditions. Then, the errors of estimation results due to the inductance variation and measurement error were analyzed. Finally, all experimental and simulation results indicated that the proposed method is well suited to control the WPT battery charging circuit efficiently.

Author Contributions

S.-W.L. developed the circuit and load estimation method, constructed the hardware prototype, and conducted the experiments. Y.-G.C. and J.-H.K. supported the experiments and analyzed the experimental results. B.K. provided guidance and key suggestions for this study.

Funding

This research was supported by the MSIT (Ministry of Science and ICT), Korea, under the “ICT Consilience Creative program” (IITP-2019-2011-1-00783) supervised by the IITP (Institute for Information & communications Technology Promotion).

Conflicts of Interest

The authors declare no conflict of interest.

Nomenclature

Q1Q4Switches of full bridge inverter.
D1D4Diodes of full bridge rectifier.
L1, L2Transmitter and receiver coil (H).
C1, C2Resonant capacitors of transmitter and receiver coil (F).
ω, fAngular switching frequency and switching frequency (rad/s), (Hz).
ωo, foResonance angular frequency and resonance frequency (rad/s), (Hz).
faauxiliary switching frequency (Hz).
VDCDC input voltage of full-bridge inverter (V).
Vbat, Vbat,cutOutput voltage (battery voltage) and predetermined limit voltage of battery (V).
IbatOutput current (battery charging current) (A).
ηePower transfer efficiency (%).
k12, M12Coupling coefficient and mutual inductance (H).
M12,limitLimitation of M12 in charging controller for proposed circuit (H).
fcc, fcvSwitching frequency for constant current and voltage (Hz).
RLLoad resistance (Ω).
v1(t), i1(t)Voltage and current of transmitter coil (V), (A).
V 1 , I 1 Voltage and current vector of transmitter coil.
V1, I1Amplitude of V 1 and I 1 (V), (A).
v2(t), i2(t)Voltage and current of receiver coil (V), (A).
V 2 , I 2 Voltage and current vector of receiver coil.
V2, I2Amplitude of v2(t) and i2(t) (V), (A).
ϕSwitching phase difference between lags of full-bridge inverter (rad).
θPhase difference between v1(t) and i1(t) (rad).
ϕPhase difference between i1(t) and v2(t), i2(t) (rad).
Rin, R1, R2Equivalent series resistance of full-bridge inverter, primary and secondary coil (Ω).
Rbat, RL,eqResistance of battery and equivalent resistance of Rbat (Ω).
Rbat,estEstimated Rbat(Ω).
Z i n Input impedance Vector.
Z1, Z2Impedance of primary and secondary coil (Ω).
TvVoltage conversion ratio of V2/V1.
A1, A2Amplifier for peak detection and voltage follower of peak detection circuit.
Ri, RfInput resistance of A1 and feedback loop resistance of peak detection circuit (Ω).
Df, DoFeedback loop diode and rectification diode of peak detection circuit.
Co, RoOutput capacitor and resistance of peak detection circuit (F), (Ω).
Vs, VoOutput voltage of current sensor and voltage of Co (V).
VoutOutput voltage of A2 (V).
I1,o, I1,aPeak current of transmitter coil at f = fo and f = fa (A).
V1,o, V1,aPeak voltage of transmitter coil at f = fo and f = fa (V).
| Z i n , o | , | Z i n , a | Magnitude of input impedance vector at f = fo and f = fa.
RL,eq,est, M12,estEstimated RL and M12 (Ω), (H).
Ibat,est, Vbat,estEstimated Ibat and Vbat (A), (V).
IendEnd charging current (A).
IrefCharging current reference (A).
fCV1, fCV2f for CV operation (Hz).
h, vCoil alignment change in axial and radial direction of coil (cm).
LdevDeviated inductance according to alignment of coil (H).
| Z i n , a , m e a s u r e | Measured value of | Z i n , a | at f = fa.
| Z i n , o , m e a s u r e | Measured value of | Z i n , o | at f = fo.
Rbat,est,devEstimated Rbat in Ldev (Ω).
Rbat,est,fa, Rbat,est,foEstimated Rbat by using | Z i n , a , m e a s u r e | and | Z i n , o , m e a s u r e | (Ω).
M12,est,devEstimated M12 in Ldev (H).
M12,est,fa, M12,est,foEstimated M12 by using | Z i n , a , m e a s u r e | and | Z i n , o , m e a s u r e | (H).

References

  1. Marco, D.D.; Dolara, A.; Longo, M. A review on dynamic wireless charging systems. In Proceedings of the IEEE Milan PowerTech, Milan, Italy, 23–27 June 2019. [Google Scholar]
  2. Dolara, A.; Leva, S.; Longo, M.; Dezza, F.C.; Mauri, M. Coil design and magnetic shielding of a resonant wireless power transfer system for electric vehicle battery charging. In Proceedings of the IEEE 6th International Conference on Renewable Energy Research and Applications (ICRERA), San Diego, CA, USA, 5–8 November 2017; pp. 200–205. [Google Scholar]
  3. Shin, J.; Shin, S.; Kim, Y.; Ahn, S.; Lee, S.; Jung, G.; Jeon, S.J.; Cho, D.H. Design and implementation of shaped magnetic-resonance-based wireless power transfer system for roadway-powered moving electric vehicles. IEEE Trans. Ind. Electron. 2015, 61, 1179–1192. [Google Scholar] [CrossRef]
  4. Silay, K.M.; Dehollain, C.; Declercq, M. Inductive power link for a wireless cortical implant with biocompatible packaging. In Proceedings of the IEEE SENSORS Conference, Kona, HI, USA, 1–4 November 2010; pp. 94–98. [Google Scholar]
  5. Stielau, O.H.; Covic, G.A. Design of loosely coupled inductive power transfer systems. In Proceedings of the International Conference on Power System Technology, Perth, Australia, 4–7 December 2000; pp. 85–90. [Google Scholar]
  6. Wang, C.S.; Stielau, O.H.; Covic, G.A. Design considerations for a contactless electric vehicle battery charger. IEEE Trans. Ind. Electron. 2005, 52, 1308–1314. [Google Scholar] [CrossRef]
  7. Chopra, S.; Bauer, P. Analysis and design considerations for a contactless power transfer system. In Proceedings of the 33rd International Telecommunications Energy Conference (INTELEC), Amsterdam, The Netherlands, 9–13 October 2011; pp. 1–6. [Google Scholar]
  8. Bosshard, R.; Kolar, J.W.; Mühlethaler, J.; Stevanović, I.; Wunsch, B.; Canales, F. Modeling and η-α-pareto optimization of inductive power transfer coils for electric vehicles. IEEE J. Emerg. Sel. Top. Power Electron. 2015, 3, 50–64. [Google Scholar] [CrossRef]
  9. Zheng, C.; Lai, J.S.; Chen, R.; Faraci, W.E.; Zahid, Z.U.; Gu, B.; Zhang, L.; Lisi, G.; Anderson, D. High-efficiency contactless power transfer system for electric vehicle battery charging application. IEEE J. Emerg. Sel. Top. Power Electron. 2015, 3, 65–74. [Google Scholar] [CrossRef]
  10. Tran, D.H.; Vu, V.B.; Choi, W. Design of a high-efficiency wireless power transfer system with intermediate coils for the on-board chargers of electric vehicles. IEEE Trans. Power Electron. 2018, 33, 175–187. [Google Scholar] [CrossRef]
  11. Qu, X.; Han, H.; Wong, S.C.; Tse, C.K.; Chen, W. Hybrid IPT topologies with constant current or constant voltage output for battery charging applications. IEEE Trans. Power Electron. 2015, 30, 6329–6337. [Google Scholar] [CrossRef]
  12. Mai, R.; Chen, Y.; Li, Y.; Zhang, Y.; Cao, G.; He, Z. Inductive power transfer for massive electric bicycles charging based on hybrid topology switching with a single inverter. IEEE Trans. Power Electron. 2017, 32, 5897–5906. [Google Scholar] [CrossRef]
  13. Li, S.; Mi, C.C. Wireless power transfer for electric vehicle application. IEEE J. Emerg. Sel. Top. Power Electron. 2015, 3, 4–17. [Google Scholar]
  14. Song, K.; Li, Z.; Jiang, J.; Zhu, C. Constant current/voltage charging operation for series-series and series-parallel compensated wireless power transfer systems employing primary-side controller. IEEE Trans. Power Electron. 2018, 33, 8065–8080. [Google Scholar] [CrossRef]
  15. Yin, J.; Lee, C.K.; Parisini, T.; Hui, S.Y. Front-End Monitoring of Multiple Loads in Wirelss Power Transfer Systems without Wirelss Communication Systems. IEEE Trans. Power Electron. 2016, 31, 2510–2517. [Google Scholar] [CrossRef]
  16. Yin, J.; Lee, C.K.; Hui, S.Y. A systematic approach for load monitoring and power control in wireless power transfer systems without any direct output measurement. IEEE Trans. Power Electron. 2015, 30, 1657–1667. [Google Scholar] [CrossRef]
  17. Su, Y.G.; Zhang, Y.H.; Wang, Z.H.; Hu, A.P.; Chen, L.; Sun, Y. Steady-state load identification method of inductive power transfer system based on switching capacitors. IEEE Trans. Power Electron. 2015, 30, 6349–6355. [Google Scholar] [CrossRef]
  18. Yin, J.; Parisini, T.; Hui, S.Y. Front-end monitoring of the mutual inductance and load resistance in a series-series compensated wireless power transfer system. IEEE Trans. Power Electron. 2016, 31, 7339–7352. [Google Scholar] [CrossRef]
  19. Wang, Z.H.; Li, Y.P.; Tang, C.S.; Lv, X. Load detection model of voltage-fed inductive power transfer system. IEEE Trans. Power Electron. 2013, 28, 5233–5243. [Google Scholar] [CrossRef]
  20. Sedra, S.; Smith, K.C. Microelectronic Circuits, 5th ed.; Oxford University Press: Oxford, UK, 1998. [Google Scholar]
Figure 1. The series and series (S-S) wireless power transfer (WPT) circuit for charging a battery.
Figure 1. The series and series (S-S) wireless power transfer (WPT) circuit for charging a battery.
Energies 12 04489 g001
Figure 2. The gate signals and output voltage v1 of the full-bridge inverter.
Figure 2. The gate signals and output voltage v1 of the full-bridge inverter.
Energies 12 04489 g002
Figure 3. Equivalent circuit for the S-S WPT circuit. Rin, R1, and R2 are equivalent series resistances of the full-bridge inverter, primary coil, and secondary coil, respectively.
Figure 3. Equivalent circuit for the S-S WPT circuit. Rin, R1, and R2 are equivalent series resistances of the full-bridge inverter, primary coil, and secondary coil, respectively.
Energies 12 04489 g003
Figure 4. Electrical characteristics of the S-S WPT circuit for VDC = 50 V, ϕ = 0, L1 = 202.49 μH, L2 = 202.06 μH, C1 = 49.97 nF, C2 = 50.09 nF, M12 = 59.18 μH, Rin = 12 mΩ, R1 = 252 mΩ, and R2 = 248 mΩ: (a) phase angle of Zin; (b) voltage gain Tv; (c) amplitude of I1; and (d) amplitude of I2.
Figure 4. Electrical characteristics of the S-S WPT circuit for VDC = 50 V, ϕ = 0, L1 = 202.49 μH, L2 = 202.06 μH, C1 = 49.97 nF, C2 = 50.09 nF, M12 = 59.18 μH, Rin = 12 mΩ, R1 = 252 mΩ, and R2 = 248 mΩ: (a) phase angle of Zin; (b) voltage gain Tv; (c) amplitude of I1; and (d) amplitude of I2.
Energies 12 04489 g004
Figure 5. The peak detection circuit to measure the peak current of the transmitter coil.
Figure 5. The peak detection circuit to measure the peak current of the transmitter coil.
Energies 12 04489 g005
Figure 6. A block diagram of the digital controller for the S-S wireless battery charging circuit.
Figure 6. A block diagram of the digital controller for the S-S wireless battery charging circuit.
Energies 12 04489 g006
Figure 7. Photograph of the (a) transmitter coil and (b) experimental S-S WPT circuit.
Figure 7. Photograph of the (a) transmitter coil and (b) experimental S-S WPT circuit.
Energies 12 04489 g007
Figure 8. Alignment schematic of the two coils from top view.
Figure 8. Alignment schematic of the two coils from top view.
Energies 12 04489 g008
Figure 9. Operation wave forms of the proposed WPT circuit: (a) v1, i1, v2, and i2 at fo = 50 kHz; (b) v1, i1, v2, and i2 at fa = 55 kHz.
Figure 9. Operation wave forms of the proposed WPT circuit: (a) v1, i1, v2, and i2 at fo = 50 kHz; (b) v1, i1, v2, and i2 at fa = 55 kHz.
Energies 12 04489 g009
Figure 10. Operation wave forms of the proposed WPT circuit: v1, i1, Vbat, and Ibat in the CC mode (a) at Rbat = 15.01 Ω and (b) at Rbat = 22.47 Ω.
Figure 10. Operation wave forms of the proposed WPT circuit: v1, i1, Vbat, and Ibat in the CC mode (a) at Rbat = 15.01 Ω and (b) at Rbat = 22.47 Ω.
Energies 12 04489 g010
Figure 11. Operation wave forms of the proposed WPT circuit: v1, i1, Vbat, and Ibat in the CV mode (a) at Rbat = 54.10 Ω and (b) at Rbat = 244 Ω.
Figure 11. Operation wave forms of the proposed WPT circuit: v1, i1, Vbat, and Ibat in the CV mode (a) at Rbat = 54.10 Ω and (b) at Rbat = 244 Ω.
Energies 12 04489 g011
Figure 12. Measurement of regulated Ibat and Vbat in constant current (CC) and constant voltage (CV) modes.
Figure 12. Measurement of regulated Ibat and Vbat in constant current (CC) and constant voltage (CV) modes.
Energies 12 04489 g012
Figure 13. Power transfer efficiency of the proposed WPT circuit in CC and CV modes.
Figure 13. Power transfer efficiency of the proposed WPT circuit in CC and CV modes.
Energies 12 04489 g013
Figure 14. Error analyses (a) of Rbat,est with inductance deviation, (b) of M12,est with inductance deviation, (c) of Rbat,est with measurement error at fa, (d) of M12,est with measurement error at fa, (e) of Rbat,est with measurement error at fo, and (f) of M12,est with measurement error at fo.
Figure 14. Error analyses (a) of Rbat,est with inductance deviation, (b) of M12,est with inductance deviation, (c) of Rbat,est with measurement error at fa, (d) of M12,est with measurement error at fa, (e) of Rbat,est with measurement error at fo, and (f) of M12,est with measurement error at fo.
Energies 12 04489 g014
Table 1. Circuit parameters for the experimental circuit.
Table 1. Circuit parameters for the experimental circuit.
ComponentValue (Model)
L1202.49 μH
L2202.06 μH
C149.97 nF
C250.09 nF
Rin12 mΩ
R1252 mΩ
R2248 mΩ
Q1Q4FDP0715N15A
D1D430ETH06
ControllerTMS320F28335
Table 2. Estimation results for Rbat.
Table 2. Estimation results for Rbat.
h, v (cm)Rbat (Ω)Rbat,est (Ω)
(Error (%))
Rbat (Ω)Rbat,est (Ω)
(Error (%))
Rbat (Ω)Rbat,est (Ω)
(Error (%))
5, 015.0615.20 (−0.92)20.1119.61 (2.48)25.1724.22 (3.77)
6, 015.60 (−3.58)20.49 (−3.58)25.31 (−0.55)
7, 015.54 (−3.18)20.54 (−2.08)25.35 (−0.71)
5, 215.46 (−2.66)19.72 (1.90)24.19 (3.87)
5, 415.45 (−2.58)20.37 (−1.29)25.11 (0.23)
5, 615.60 (−3.58)20.27 (−0.79)24.84 (1.31)
Table 3. Estimation results for M12.
Table 3. Estimation results for M12.
h, v (cm)M12 (μH)M12,est (μH)
@ 15.06 Ω
(Error (%))
M12,est (μH)
@ 20.11 Ω
(Error (%))
M12,est (μH)
@ 25.17 Ω
(Error (%))
5, 059.1858.41 (1.30)58.7 (0.81)59.03 (0.26)
6, 048.8149.27 (−0.92)49.73 (−1.86)49.76 (−1.92)
7, 040.7641.12 (−3.18)41.59 (−2.08)41.62 (−2.08)
5, 257.2855.37 (3.38)55.73 (2.71)55.85 (2.50)
5, 449.5449.28 (0.53)49.68 (−0.26)49.79 (−0.49)
5, 638.6639.55 (−2.28)39.49 (−2.12)39.44 (−1.99)

Share and Cite

MDPI and ACS Style

Lee, S.-W.; Choi, Y.-G.; Kim, J.-H.; Kang, B. Wireless Battery Charging Circuit Using Load Estimation without Wireless Communication. Energies 2019, 12, 4489. https://doi.org/10.3390/en12234489

AMA Style

Lee S-W, Choi Y-G, Kim J-H, Kang B. Wireless Battery Charging Circuit Using Load Estimation without Wireless Communication. Energies. 2019; 12(23):4489. https://doi.org/10.3390/en12234489

Chicago/Turabian Style

Lee, Sang-Won, Yoon-Geol Choi, Jung-Ha Kim, and Bongkoo Kang. 2019. "Wireless Battery Charging Circuit Using Load Estimation without Wireless Communication" Energies 12, no. 23: 4489. https://doi.org/10.3390/en12234489

APA Style

Lee, S.-W., Choi, Y.-G., Kim, J.-H., & Kang, B. (2019). Wireless Battery Charging Circuit Using Load Estimation without Wireless Communication. Energies, 12(23), 4489. https://doi.org/10.3390/en12234489

Note that from the first issue of 2016, this journal uses article numbers instead of page numbers. See further details here.

Article Metrics

Back to TopTop