Peripheral Heat Transfer Coefficient during Flow Boiling: Comparison between 2-D and 1-D Data Reduction and Discussion about Their Applicability
Abstract
:1. Introduction
2. Method: Data Reduction Procedures
2.1. Typical Arrangements for Flow Boiling Experiments
2.2. Conventional 1-D Data Reduction
2.3. 2-D Data Reduction
3. Result Comparison and Statistical Analysis
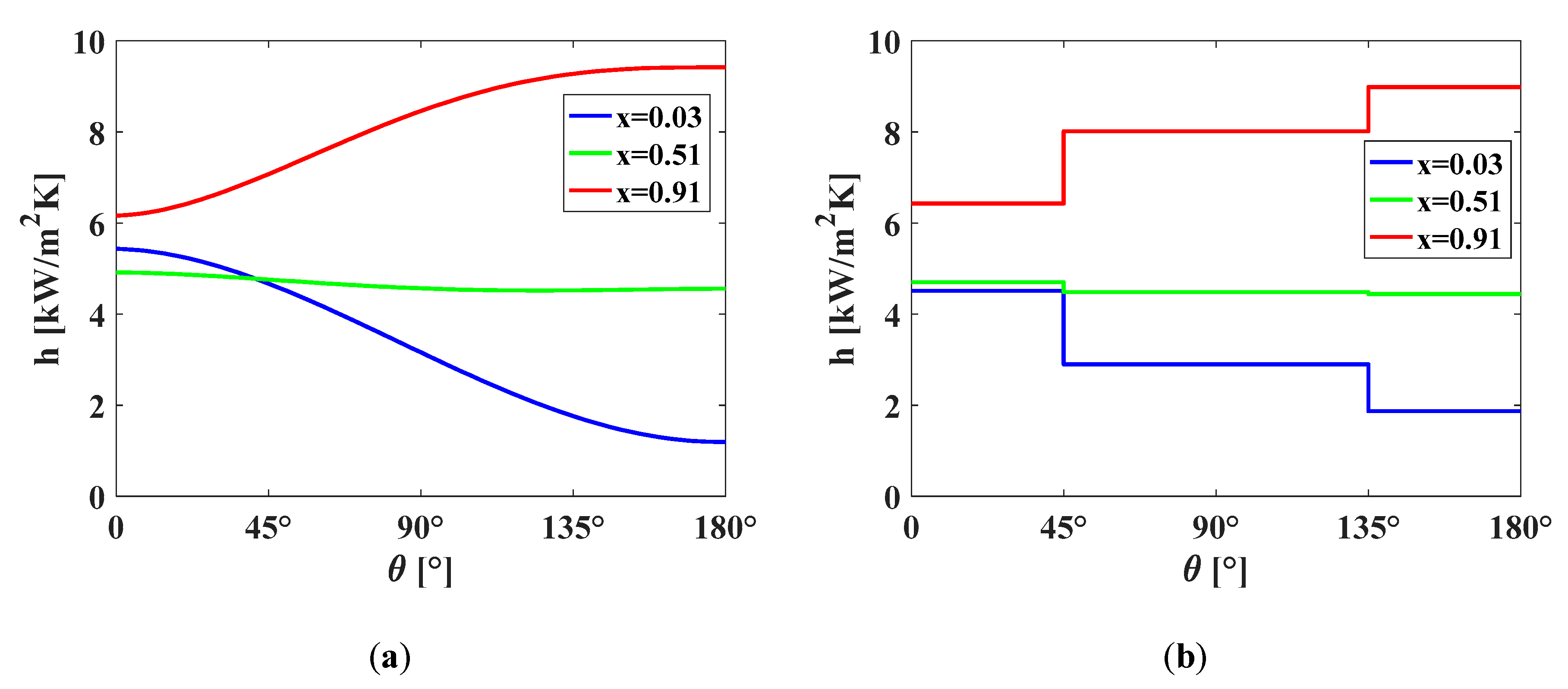
3.1. Result Comparison
3.2. Statistical Analysis
4. Conclusions and Perspective on Applicability of 1-D and 2-D Models
- For symmetric heat transfer behavior (pure annular flow regime), obtained in the case of average vapor qualities and helped by nucleation for high imposed heat fluxes, the two data reductions were almost equivalent, with maximum heat transfer coefficient deviations in the tube circumferential profile of 13% and a calculated MAPE equal to 2%.
- The differences became significant in the case of intermittent/slug flow regimes, in which the heat transfer was asymmetric. The mean percentage errors in this case were around 6%, and the maximum deviations between the two methods reached up to 130%.
- The typical 1-D data reduction remains a solid and reliable method for the correct design of evaporators. The average cross-sectional values of heat transfer coefficient do not present substantial differences between 1-D and 2-D data reduction procedures, and there is therefore no point in using the more complex and computationally demanding 2-D model.
- For the advanced design of heat exchangers and heat spreader systems, in which reliable heat transfer coefficient mean values on different sections of the heated tube are required, a 2-D data reduction may be taken into consideration.
- For other purposes, such as high-level modeling of the two-phase flow, a 2-D data reduction is the most reliable method to be employed during experiments performed and used to validate prediction methods that try to correlate the local film thickness to the local heat transfer performance.
Author Contributions
Funding
Conflicts of Interest
Nomenclature
| Roman | ||
| A | channel cross section | (m2) |
| a,b,c,d,e | constants of a fourth-order polynomial equation | (-) |
| C | calibrated adjusting constant | (-) |
| d | tube internal diameter | (m) |
| D | tube external diameter | (m) |
| dr | radial step | (m) |
| dθ | circumferential step | (m) |
| G | mass flux | (kg/m2 s) |
| h | heat transfer coefficient | (W/m2K) |
| I | current | (A) |
| i | enthalpy | (J/kg) |
| L | length | (m) |
| MAPE | mean absolute percentage error | (%) |
| mass flow rate | (kg/s) | |
| P | pressure | (Pa) |
| q | heat flux | (W/m2) |
| RMSE | root mean square error | (W/m2K) |
| heat load | (W) | |
| T | temperature | (°C) |
| V | voltage | (V) |
| x | vapor quality | (-) |
| Greek | ||
| Δ | difference | (-) |
| ε | temperature residual threshold | (°C) |
| θ | angle, circumferential direction | (rad) |
| λ | thermal conductivity | (W/mK) |
| Subscripts | ||
| 1D | related to the 1-D data reduction | |
| 2D | related to the 2-D data reduction | |
| ave | average | |
| bot | related to the bottom region of the tube | |
| i | inner wall | |
| in | inlet | |
| meas | measured | |
| mod | model | |
| o | outer wall | |
| preh | preheater | |
| sat | saturation | |
| side | related to the side regions of the tube | |
| top | related to the top region of the tube | |
| tot | total | |
| tube | related to the tube | |
| wall | related to the wall | |
References
- Grinden, B.; Feilberg, N. Analysis of Monitoring Campaign in Europe (REMODECE D10). Available online: https://remodece.isr.uc.pt/ (accessed on 4 October 2019).
- Kolokotroni, M.; Mylona, Z.; Evans, J.; Foster, A.R. Liddiard, Supermarket energy use in the UK. Energy Procedia 2019, 161, 325–332. [Google Scholar] [CrossRef]
- Maratou, A. EU policy update-F-Gas Regulation, HFC taxes & fiscal incentives for natural refrigerants. In Proceedings of the ATMOshpere Asia 2014-Technology and Innovation, Tokyo, Japan, 3–5 February 2015. [Google Scholar]
- Botticella, F.; de Rossi, F.; Mauro, A.W.; Vanoli, G.P.; Viscito, L. Multi-criteria (thermodynamic, economic and environmental) analysis of possible design options for residential heating split systems working with low GWP refrigerants. Int. J. Refr. 2018, 87, 131–153. [Google Scholar] [CrossRef]
- Mastrullo, R.; Mauro, A.W.; Viscito, L. Flow boiling of R452A: Heat transfer data, dry-out characteristics and a correlation. Exp. Therm. Fluid Sci. 2019, 105, 247–260. [Google Scholar] [CrossRef]
- Lillo, G.; Mastrullo, R.; Mauro, A.W.; Viscito, L. Flow boiling heat transfer, dry-out vapor quality and pressure drop of propane (R290): Experiments and assessment of predictive methods. Int. J. Heat Mass Transf. 2018, 126, 1236–1552. [Google Scholar] [CrossRef]
- Oh, H.K.; Ku, H.G.; Roh, G.S.; Son, C.H.; Park, S.J. Flow boiling heat transfer characteristics of carbon dioxide in a horizontal tube. Appl. Therm. Eng. 2008, 28, 1022–1030. [Google Scholar] [CrossRef]
- Oh, H.K.; Son, C.H. Flow boiling heat transfer and pressure drop characteristics of CO2 in horizontal tube of 4.57-mm inner diameter. Appl. Therm. Eng. 2011, 31, 163–172. [Google Scholar] [CrossRef]
- Lillo, G.; Mastrullo, R.; Mauro, A.W.; Viscito, L. Flow boiling of R32 in a horizontal stainless steel tube with 6.00 mm ID. Experiments, assessment of correlations and comparison with refrigerant R410A. Int. J. Refrig. 2019, 97, 143–156. [Google Scholar] [CrossRef]
- Lillo, G.; Mastrullo, R.; Mauro, A.W.; Pelella, F.; Viscito, L. Experimental thermal and hydraulic characterization of R448A and comparison with R404A during flow boiling. Appl. Therm. Eng. 2019, 161, 114146. [Google Scholar] [CrossRef]
- Citarella, B.; Lillo, G.; Mastrullo, R.; Mauro, A.W.; Viscito, L. Experimental investigation on flow boiling heat transfer and pressure drop of refrigerants R32 and R290 in a stainless steel horizontal tube. J. Phys. Conf. Ser. 2019, 1224, 01204. [Google Scholar] [CrossRef]
- Jeong, S.; Park, D. Evaporative heat transfer of CO2 in a smooth and a micro-grooved miniature channel tube. Heat Transf. Eng. 2009, 30, 582–589. [Google Scholar] [CrossRef]
- Viscito, L.; Lips, S.; Revellin, R. Global analysis and development of a predictive tool of the effect of tube inclination on two-phase heat transfer: Boiling, condensation and heated gas-liquid flows. Appl. Therm. Eng. 2019, 162, 114300. [Google Scholar] [CrossRef]
- Wang, D.; Zhao, L.; Nie, X.; Lu, Y.; Deng, S. Experimental study on flow boiling characteristics of R-245fa in circular tube under non-uniform heat flux. Int. J. Heat Mass Transf. 2019, 143, 118570. [Google Scholar] [CrossRef]
- Liu, T.; Pan, C. Infrared thermography measurement of two-phase boiling flow heat transfer in a microchannel. Appl. Therm. Eng. 2016, 94, 568–578. [Google Scholar] [CrossRef]
- Jakubowska, B.; Mikielewicz, D.; Klugmann, M. Experimental study and comparison with predictive methods for flow boiling heat transfer coefficient of HFE7000. Int. J. Heat Mass Transf. 2019, 142, 118307. [Google Scholar] [CrossRef]
- Cioncolini, A.; Thome, J.R. Liquid film circumferential asymmetry prediction in horizontal annular two-phase flow. Int. J. Multiph. Flow 2013, 51, 44–54. [Google Scholar] [CrossRef]
- Mauro, A.W.; Cioncolini, A.; Thome, J.R.; Mastrullo, R. Asymetric annular flow in horizontal circular macro-channels: Basic modeling of liquid film distribution and heat transfer around the tube perimeter in convective boiling. Int. J. Heat Mass Transf. 2014, 77, 897–905. [Google Scholar] [CrossRef]
- Mastrullo, R.; Mauro, A.W.; Viscito, L. Experimental CHF for low-GWP fluids and R134a. Effect of the Lh/D ratio at low and high mass velocities. Int. J. Heat Mass Trans. 2017, 109, 1200–1216. [Google Scholar] [CrossRef]
- Mastrullo, R.; Mauro, A.W.; Thome, J.R.; Vanoli, G.P.; Viscito, L. Critical heat flux: Performance of R1234yf, R1234ze and R134a in an aluminum multi-minichannel heat sink at high saturation temperatures. Int. J. Therm. Sci. 2016, 106, 1–17. [Google Scholar] [CrossRef]
- Fang, X.; Tang, D.; Zheng, L.; Li, G.; Yuan, Y. Experimental investigation of gravity and channel size effects on flow boiling heat transfer under hypergravity. Aerosp. Sci. Technol. 2019, 94, 105372. [Google Scholar] [CrossRef]
- Maqbool, M.H.; Palm, B.; Khodabandeh, R. Investigation of two phase heat transfer and pressure drop of propane in a vertical circular minichannel. Exp. Therm. Fluid Sc. 2013, 46, 120–130. [Google Scholar] [CrossRef]
- Lillo, G.; Mastrullo, R.; Mauro, A.W.; Viscito, L. Flow boiling data of R452A. Energy Procedia 2018, 148, 1034–1041. [Google Scholar] [CrossRef]
- Mastrullo, R.; Mauro, A.W.; Viscito, L. Flow boiling of R32 in a horizontal smooth tube of 6.0 mm internal diameter: Heat transfer coefficient and pressure drop. J. Phys. 2017, 923, 012015. [Google Scholar] [CrossRef]
- Wojtan, L.; Ursenbacher, T.; Thome, J.R. Investigation of flow boiling in horizontal tubes: Part II-developement of a new heat transfer model for stratified-wavy, dryout and mist flow regimes. Int. J. Heat Mass Transf. 2005, 48, 2970–2985. [Google Scholar] [CrossRef]
- Kondou, C.; Baba, D.; Mishima, F.; Koyama, S. Flow boiling of non-azeotropic mixture R32/R1234ze(E) in horizontal microfin tubes. Int. J. Refr. 2013, 36, 2366–2378. [Google Scholar] [CrossRef]
- Azzolin, M.; Bortolin, S.; del Col, D. Flow boiling heat transfer of a zeotropic binary mixture of new refrigerants inside a single microchannel. Int. J. Therm. Sci. 2016, 110, 83–95. [Google Scholar] [CrossRef]
- Charnay, R.; Revellin, R.; Bonjour, J. Flow boiling heat transfer in minichannels at high saturation temperatures: Part II-Assessment of predictive methods and impact of flow regimes. Int. J. Heat Mass Transf. 2015, 87, 653–672. [Google Scholar] [CrossRef]
- Ali, R.; Palm, B. Dryout characteristics during flow boiling of R134a in vertical circular minichannels. Int. J. Heat Mass Transf. 2011, 54, 2434–2445. [Google Scholar] [CrossRef]
- Leao, H.L.S.L.; Chàavez, C.A.; Nascimento, F.J.d.; Ribatski, G. An analysis of the effect of the footprint orientation on the thermal-hydraulic performance of a microchannel heat sink during flow boiling of R245fa. Appl. Therm. Engin. 2015, 90, 907–926. [Google Scholar] [CrossRef]
- Lillo, G.; Mastrullo, R.; Mauro, A.W.; Viscito, L. Experimental study of flow boiling of propane in a 6 MM internal diameter horizontal tube. Refrig. Sci. Technol. 2018, 2018, 798–806. [Google Scholar]
- Lillo, G.; Mastrullo, R.; Mauro, A.W.; Viscito, L. Flow boiling of R1233zd(E) in a horizontal tube: Experiments, assessment and correlation for asymmetric annular flow. Int. J. Heat Mass Transf. 2019, 129, 547–561. [Google Scholar] [CrossRef]
- Mastrullo, R.; Mauro, A.W.; Revellin, R.; Viscito, L. Flow boiling heat transfer and pressure drop of pure ethanol (99.8%) in a horizontal stainless steel tube at low reduced pressures. Appl. Therm. Eng. 2018, 145, 251–263. [Google Scholar] [CrossRef]
- Collier, J.G.; Thome, J.R. Convection Boiling and Condensation, 3rd ed.; McGraw-Hill: New York, NY, USA, 1994. [Google Scholar]
- Grauso, S.; Mastrullo, R.; Mauro, A.W.; Vanoli, G.P. Flow boiling of R410A and CO2 from low to medium reduced pressures in macro channels: Experiments and assessment of prediction methods. Int. J. Heat Mass Transf. 2013, 56, 107–118. [Google Scholar] [CrossRef]













| Fluid | G (kg/m2s) | Tsat (°C) | q (kW/m2) | x | Ntest |
|---|---|---|---|---|---|
| Ethanol | 60–120 | 25–85 | 2.5–20 | 0.01–0.99 | 82 |
| R1233zd | 150–500 | 25–65 | 2.5–40 | 0.01–0.99 | 335 |
| Parameter | Max Uncertainty for R1233zd(E) Data | Max Uncertainty for Ethanol Data |
|---|---|---|
| Heat flux q | ±0.74% | ±0.7% |
| Mean heat transfer coefficient hmean | ±13% | ±12% |
| Max (%) | MAPE (%) | MAPEtop (%) | MAPEbot (%) | MAPEside (%) | |
|---|---|---|---|---|---|
| Zone 1 (intermittent) | 130 | 6.2 | 4.7 | 4.3 | 3.9 |
| Zone 2 (symmetric annular) | 13 | 2.3 | 2.5 | 1.5 | 1.3 |
| Zone 3 (dryout) | 84 | 6.4 | 6.5 | 4.9 | 3.6 |
| q < 15 kW/m2 | 130 | 5.6 | 5.2 | 4.0 | 3.4 |
| q > 15 kW/m2 | 36 | 3.2 | 2.4 | 2.3 | 2.1 |
| Ethanol | 20 | 2.9 | 2.3 | 1.6 | 1.9 |
| R1233zd(E) | 130 | 5.3 | 4.7 | 3.9 | 3.2 |
| Overall | 130 | 4.8 | 4.2 | 3.4 | 2.9 |
© 2019 by the authors. Licensee MDPI, Basel, Switzerland. This article is an open access article distributed under the terms and conditions of the Creative Commons Attribution (CC BY) license (http://creativecommons.org/licenses/by/4.0/).
Share and Cite
Mastrullo, R.; Mauro, A.W. Peripheral Heat Transfer Coefficient during Flow Boiling: Comparison between 2-D and 1-D Data Reduction and Discussion about Their Applicability. Energies 2019, 12, 4483. https://doi.org/10.3390/en12234483
Mastrullo R, Mauro AW. Peripheral Heat Transfer Coefficient during Flow Boiling: Comparison between 2-D and 1-D Data Reduction and Discussion about Their Applicability. Energies. 2019; 12(23):4483. https://doi.org/10.3390/en12234483
Chicago/Turabian StyleMastrullo, Rita, and Alfonso William Mauro. 2019. "Peripheral Heat Transfer Coefficient during Flow Boiling: Comparison between 2-D and 1-D Data Reduction and Discussion about Their Applicability" Energies 12, no. 23: 4483. https://doi.org/10.3390/en12234483
APA StyleMastrullo, R., & Mauro, A. W. (2019). Peripheral Heat Transfer Coefficient during Flow Boiling: Comparison between 2-D and 1-D Data Reduction and Discussion about Their Applicability. Energies, 12(23), 4483. https://doi.org/10.3390/en12234483
