Energy and Emission Characteristics of Biowaste from the Corn Grain Drying Process
Abstract
1. Introduction
2. Materials and Methods
2.1. Material
- Corn Cobs (CCs)—the remains of corn cobs without grain (Figure 1a);
- Corn Grains (CGs)—grain residues from the process of drying and cleaning corn kernels (Figure 1b);
- Corn Husk (CH)—waste in the form of the husks of the corn grains (Figure 1c);
- Corn Cobs and Corn Husk 4:1 v/v (CC–CH);
- Corn Grains and Corn Cobs 4:1 v/v (CG–CC);
- Corn Cobs and Corn Grains 4:1 v/v (CC–CG);
- Corn Husk and Corn Grains 4:1 v/v (CH–CG);
- Corn Husk and Corn Cobs 4:1 v/v (CH–CC);
- Corn Grains and Corn Husk 4:1 v/v (CG–CH).
2.2. Experimental Procedures
2.3. Proximate Analysis
2.4. Ultimate Analysis
2.5. Emission Factors
| SO2: | |
| NO2/CO/CO2: | |
| Dust: |
2.6. Ash Chemical Composition
2.7. Slagging and Fouling Indicators
- (a)
- Base to Acid Index (Rb/a):
- (b)
- Slagging Index (Sulfur Ratio) (Rs):where: Sd—percentage of S in dry fuel.
- (c)
- Fouling Ratio (Fu):
- (d)
- Alkali Index (AI):where: A—the percentage of ash obtained at 550 °C; HHV—higher heating value (MJ·kg−1).
- (e)
- Sintering Index (SI):
- (f)
- Iron-to-Calcium Ratio (IC):
- (g)
- Slag Viscosity Index (Sr):
2.8. Statistical Analysis
3. Results and Discussion
3.1. Proximate and Ultimate Analysis of the Tested Biomass
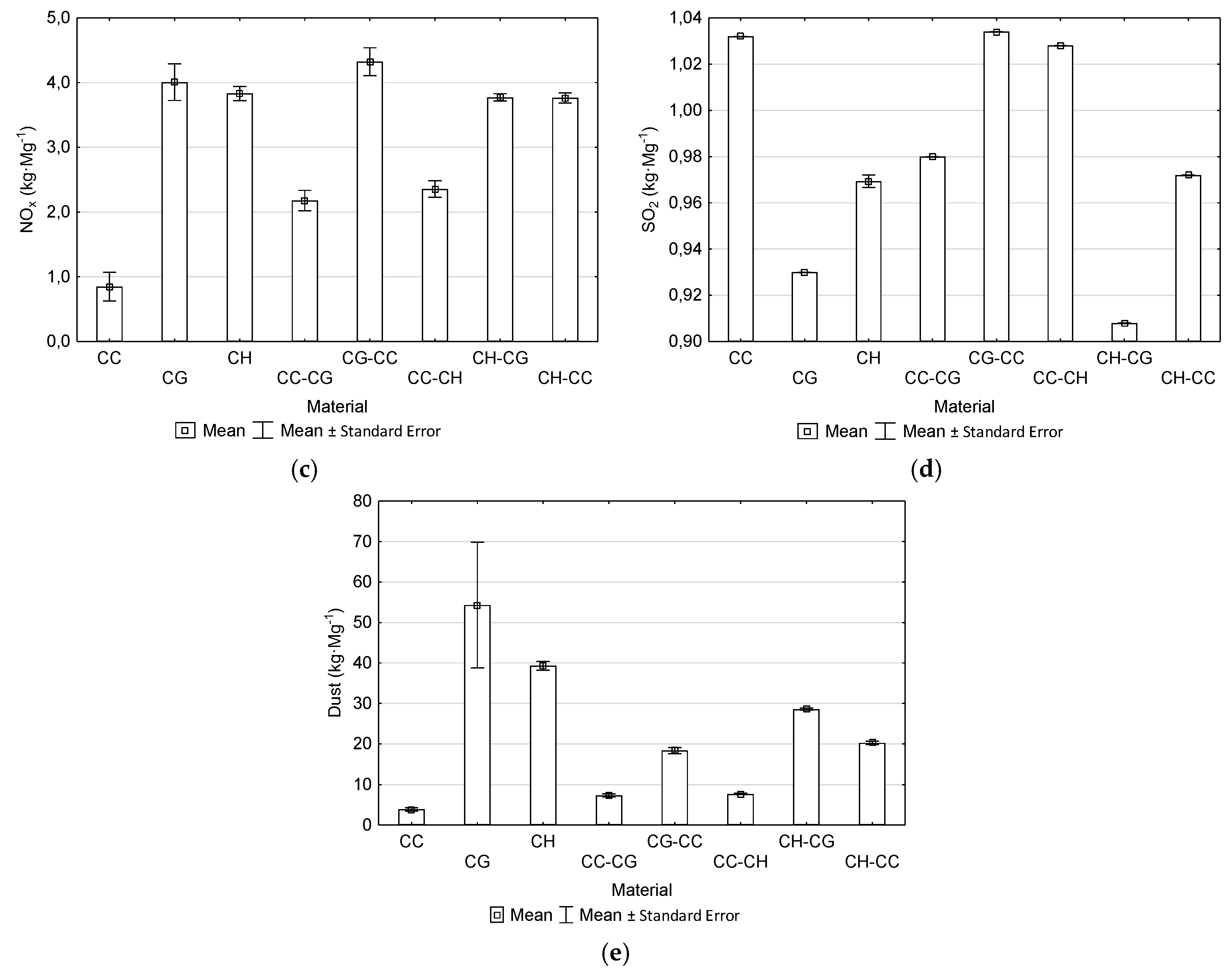
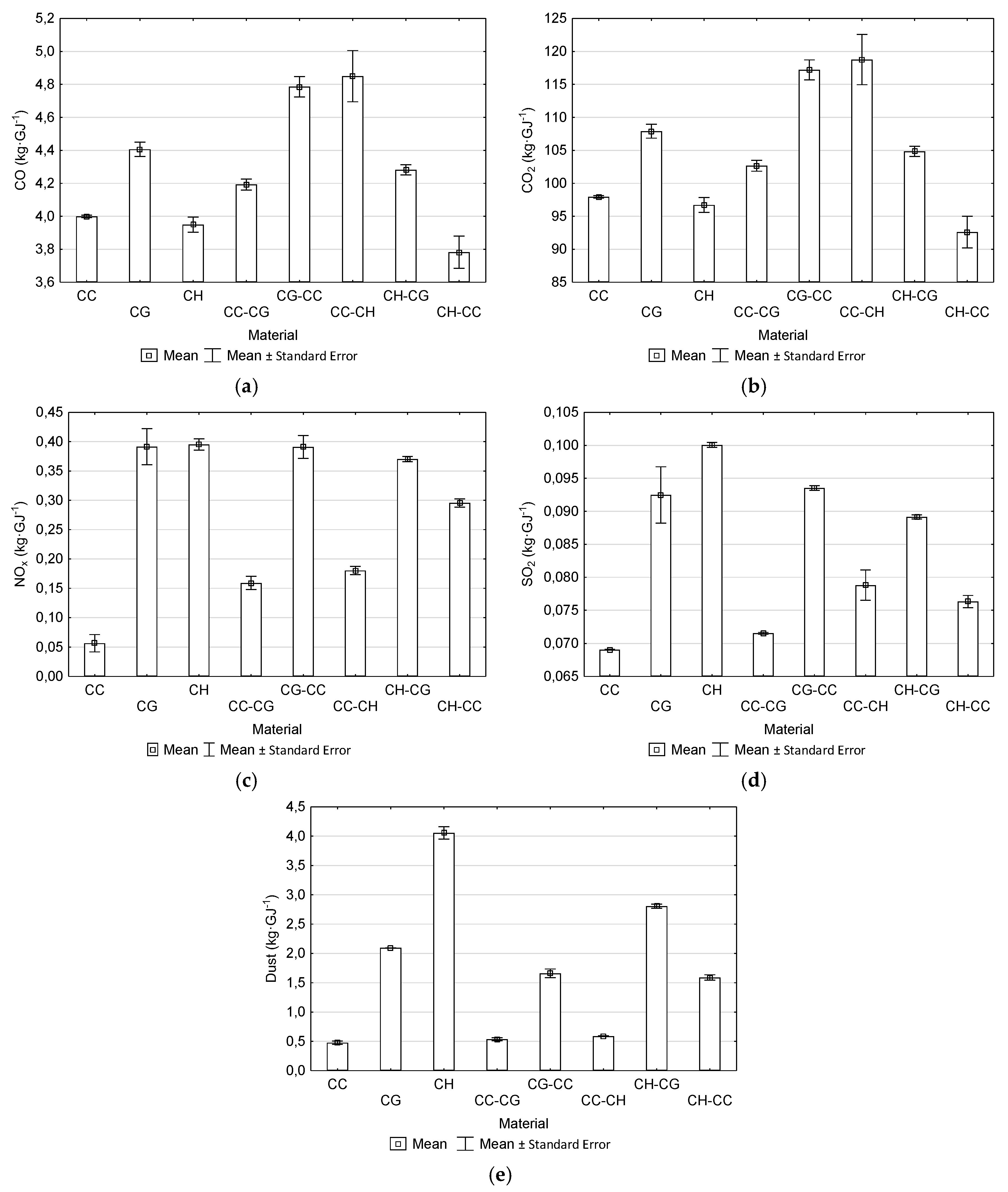
3.2. Emission Factors
3.3. Ash Chemical Composition
3.4. Slagging and Fouling Indicators
4. Conclusions
Author Contributions
Funding
Conflicts of Interest
References
- Vershinina, K.; Nyashina, G.; Dorokhov, V.; Shlegel, N. The prospects of burning coal and oil processing waste in slurry, gel, and solid state. Appl. Therm. Eng. 2019, 156, 51–62. [Google Scholar] [CrossRef]
- Stolarski, M.J.; Krzyżaniak, M.; Warmiński, K.; Tworkowski, J.; Szczukowski, S. Willow Biomass Energy Generation Efficiency and Greenhouse Gas Reduction Potential. Pol. J. Environ. Stud. 2015, 24, 2627–2640. [Google Scholar] [CrossRef]
- Wąsowicz, M.; Deszczka-Tarnowska, M. Racjonalne gospodarowanie odpadami jako przedsięwzięcie na rzecz bezpieczeństwa ekonomicznego kraju. J. Mod. Sci. 2015, 231–247. [Google Scholar]
- Czyżyk, F.; Strzelczyk, M. Rational utilization of production residues generated in agri-food. Arch. Waste Manag. Environ. Prot. 2015, 17, 99–106. [Google Scholar]
- Nayak, A.; Bhushan, B. An overview of the recent trends on the waste valorization techniques for food wastes. J. Environ. Manag. 2019, 233, 352–370. [Google Scholar] [CrossRef] [PubMed]
- Onsree, T.; Tippayawong, N.; Williams, T.; McCullough, K.; Barrow, E.; Pogaku, R.; Lauterbach, J. Torrefaction of pelletized corn residues with wet flue gas. Bioresour. Technol. 2019, 285, 121330. [Google Scholar] [CrossRef]
- Yang, Y.; Ni, J.-Q.; Zhu, W.; Xie, G. Life Cycle Assessment of Large-scale Compressed Bio-natural Gas Production in China: A Case Study on Manure Co-digestion with Corn Stover. Energies 2019, 12, 429. [Google Scholar] [CrossRef]
- Hawrot-Paw, M.; Zmuda, A.; Koniuszy, A. Thermochemical biomass conversion processes and their impact on the environment. Przem. Chem. 2019, 98, 1126–1129. [Google Scholar]
- Bilandzija, N.; Voca, N.; Jelcic, B.; Jurisic, V.; Matin, A.; Grubor, M.; Kricka, T. Evaluation of Croatian agricultural solid biomass energy potential. Renew. Sustain. Energy Rev. 2018, 93, 225–230. [Google Scholar] [CrossRef]
- Okot, D.K.; Bilsborrow, P.E.; Phan, A.N. Briquetting characteristics of bean straw-maize cob blend. Biomass Bioenergy 2019, 126, 150–158. [Google Scholar] [CrossRef]
- Golimowski, W.; Krzaczek, P.; Marcinkowski, D.; Gracz, W.; Wałowski, G. Impact of Biogas and Waste Fats Methyl Esters on NO, NO2, CO, and PM Emission by Dual Fuel Diesel Engine. Sustainability 2019, 11, 1799. [Google Scholar] [CrossRef]
- Iakovou, E.; Karagiannidis, A.; Vlachos, D.; Toka, A.; Malamakis, A. Waste biomass-to-energy supply chain management: A critical synthesis. Waste Manag. 2010, 30, 1860–1870. [Google Scholar] [CrossRef] [PubMed]
- Bonassa, G.; Schneider, L.T.; Canever, V.B.; Cremonez, P.A.; Frigo, E.P.; Dieter, J.; Teleken, J.G. Scenarios and prospects of solid biofuel use in Brazil. Renew. Sustain. Energy Rev. 2018, 82, 2365–2378. [Google Scholar] [CrossRef]
- Templeton, D.W.; Sluiter, A.D.; Hayward, T.K.; Hames, B.R.; Thomas, S.R. Assessing corn stover composition and sources of variability via NIRS. Cellulose 2009, 16, 621–639. [Google Scholar] [CrossRef]
- Welker, C.; Balasubramanian, V.; Petti, C.; Rai, K.; DeBolt, S.; Mendu, V. Engineering plant biomass lignin content and composition for biofuels and bioproducts. Energies 2015, 8, 7654–7676. [Google Scholar] [CrossRef]
- Celma, A.R.; Cuadros, F.; López-Rodríguez, F. Characterization of pellets from industrial tomato residues. Food Bioprod. Process. 2012, 90, 700–706. [Google Scholar] [CrossRef]
- Kang, S.B.; Oh, H.Y.; Kim, J.J.; Choi, K.S. Characteristics of spent coffee ground as a fuel and combustion test in a small boiler (6.5 kW). Renew. Energy 2017, 113, 1208–1214. [Google Scholar] [CrossRef]
- Szyszlak-Barglowicz, J.; Zajac, G.; Kuranc, A.; Slowik, T.; Dudziak, A.; Stoma, M.; Wasilewski, J. Chemical properties of selected agri-food industry waste products in the aspect of their use for energetics purposes. Przemysl Chem. 2018, 97, 779–783. [Google Scholar]
- Maj, G.; Krzaczek, P.; Stamirowska-Krzaczek, E.; Lipińska, H.; Kornas, R. Assessment of energy and physicochemical biomass properties of selected forecrop plant species. Renew. Energy 2019, 143, 520–529. [Google Scholar] [CrossRef]
- Obidziński, S.; Piekut, J.; Dec, D. The influence of potato pulp content on the properties of pellets from buckwheat hulls. Renew. Energy 2016, 87, 289–297. [Google Scholar] [CrossRef]
- Hejft, R.; Obidziński, S.; Jałbrzykowski, M.; Markowski, J. Production of heating pellets with apple pomace content. J. Res. Appl. Agric. Eng. 2016, 61, 29–34. [Google Scholar]
- Mišljenović, N.; Čolović, R.; Vukmirović, Đ.; Brlek, T.; Bringas, C.S. The effects of sugar beet molasses on wheat straw pelleting and pellet quality. A comparative study of pelleting by using a single pellet press and a pilot-scale pellet press. Fuel Process. Technol. 2016, 144, 220–229. [Google Scholar] [CrossRef]
- Wattana, W.; Phetklung, S.; Jakaew, W.; Chumuthai, S.; Sriam, P.; Chanurai, N. Characterization of mixed biomass pellet made from oil palm and Para-rubber tree residues. Energy Procedia 2017, 138, 1128–1133. [Google Scholar] [CrossRef]
- Wang, L.; Skreiberg, Ø.; Becidan, M. Investigation of additives for preventing ash fouling and sintering during barley straw combustion. Appl. Therm. Eng. 2014, 70, 1262–1269. [Google Scholar] [CrossRef]
- Pastorello, C.; Caserini, S.; Galante, S.; Dilara, P.; Galletti, F. Importance of activity data for improving the residential wood combustion emission inventory at regional level. Atmos. Environ. 2011, 45, 2869–2876. [Google Scholar] [CrossRef]
- Oniszczuk, T.; Kupryaniuk, K.; Smurzynska, A.; Brzoski, M.; Wojtowicz, A.; Mitrus, M.; Oniszczuk, A.; Combrzynski, M.; do Carmo, I.E.P. Effect of Extrusion-Cooking Parameters on Energetic Efficiency of Corn Straw During Methane Fermentation. In Proceedings of the 3rd International Conference on Energy and Environment (ICEE 2017), Porto, Portugal, 29–30 June 2017; pp. 307–312. [Google Scholar]
- Morato, T.; Vaezi, M.; Kumar, A. Assessment of energy production potential from agricultural residues in Bolivia. Renew. Sustain. Energy Rev. 2019, 102, 14–23. [Google Scholar] [CrossRef]
- Djatkov, D.; Martinov, M.; Kaltschmitt, M. Influencing parameters on mechanical–physical properties of pellet fuel made from corn harvest residues. Biomass Bioenergy 2018, 119, 418–428. [Google Scholar] [CrossRef]
- Miranda, M.; Sepúlveda, F.; Arranz, J.; Montero, I.; Rojas, C. Analysis of pelletizing from corn cob waste. J. Environ. Manag. 2018, 228, 303–311. [Google Scholar] [CrossRef]
- Bajus, P.; Mraz, M.; Rigo, I.; Findura, P.; Fürstenzeller, A.; Kielbasa, P.; Malaga-Tobola, U. The influence of drying temperature and moisture of corn seeds planted on their damage. Agric. Eng. 2019, 23, 5–12. [Google Scholar] [CrossRef]
- Mullen, C.A.; Boateng, A.A.; Goldberg, N.M.; Lima, I.M.; Laird, D.A.; Hicks, K.B. Bio-oil and bio-char production from corn cobs and stover by fast pyrolysis. Biomass Bioenergy 2010, 34, 67–74. [Google Scholar] [CrossRef]
- Wongsiriamnuay, T.; Panyoyai, N.; Tantikul, S. Design and fabrication of a pyrolysis reactor for corn cobs. Agric. Sci. J. 2012, 43, 179–182. [Google Scholar]
- Ioannidou, O.; Zabaniotou, A.; Antonakou, E.V.; Papazisi, K.M.; Lappas, A.A.; Athanassiou, C. Investigating the potential for energy, fuel, materials and chemicals production from corn residues (cobs and stalks) by non-catalytic and catalytic pyrolysis in two reactor configurations. Renew. Sustain. Energy Rev. 2009, 13, 750–762. [Google Scholar] [CrossRef]
- Lu, Y.J.; Guo, L.J.; Ji, C.M.; Zhang, X.M.; Hao, X.H.; Yan, Q.H. Hydrogen production by biomass gasification in supercritical water: A parametric study. Int. J. Hydrogen Energy 2006, 31, 822–831. [Google Scholar] [CrossRef]
- Sittisun, P.; Tippayawong, N.; Wattanasiriwech, D. Thermal degradation characteristics and kinetics of oxy combustion of corn residues. Adv. Mater. Sci. Eng. 2015, 2015, dx. [Google Scholar] [CrossRef]
- Wongsiriamnuay, T.; Tippayawong, N. Effect of densification parameters on the properties of maize residue pellets. Biosyst. Eng. 2015, 139, 111–120. [Google Scholar] [CrossRef]
- Maj, G. Emission Factors and Energy Properties of Agro and Forest Biomass in Aspect of Sustainability of Energy Sector. Energies 2018, 11, 1516. [Google Scholar] [CrossRef]
- Borycka, B. Towaroznawcze Studium Nad Żywnościową i Energetyczną Użytecznością Bogatobłonnikowych Odpadów Przemysłu Owocowo-Warzywnego; Wyd. Politechniki Radomskiej: Radom, Poland, 2008. [Google Scholar]
- Bryers, R.W. Fireside slagging, fouling, and high-temperature corrosion of heat-transfer surface due to impurities in steam-raising fuels. Prog. Energy Combust. Sci. 1996, 22, 29–120. [Google Scholar] [CrossRef]
- Vamvuka, D.; Zografos, D. Predicting the behaviour of ash from agricultural wastes during combustion. Fuel 2004, 83, 2051–2057. [Google Scholar] [CrossRef]
- Pronobis, M. Evaluation of the influence of biomass co-combustion on boiler furnace slagging by means of fusibility correlations. Biomass Bioenergy 2005, 28, 375–383. [Google Scholar] [CrossRef]
- Komilis, D.; Kissas, K.; Symeonidis, A. Effect of organic matter and moisture on the calorific value of solid wastes: An update of the Tanner diagram. Waste Manag. 2014, 34, 249–255. [Google Scholar] [CrossRef]
- Telmo, C.; Lousada, J.; Moreira, N. Proximate analysis, backwards stepwise regression between gross calorific value, ultimate and chemical analysis of wood. Bioresour. Technol. 2010, 101, 3808–3815. [Google Scholar] [CrossRef] [PubMed]
- Dhyani, V.; Bhaskar, T. A comprehensive review on the pyrolysis of lignocellulosic biomass. Renew. Energy 2018, 129, 695–716. [Google Scholar] [CrossRef]
- Haykiri-Acma, H.; Yaman, S. Interaction between biomass and different rank coals during co-pyrolysis. Renew. Energy 2010, 35, 288–292. [Google Scholar] [CrossRef]
- Allesina, G.; Pedrazzi, S.; Allegretti, F.; Tartarini, P. Spent coffee grounds as heat source for coffee roasting plants: Experimental validation and case study. Appl. Therm. Eng. 2017, 126, 730–736. [Google Scholar] [CrossRef]
- Kraiem, N.; Lajili, M.; Limousy, L.; Said, R.; Jeguirim, M. Energy recovery from Tunisian agri-food wastes: Evaluation of combustion performance and emissions characteristics of green pellets prepared from tomato residues and grape marc. Energy 2016, 107, 409–418. [Google Scholar] [CrossRef]
- Husain, Z.; Zainac, Z.; Abdullah, Z. Briquetting of palm fibre and shell from the processing of palm nuts to palm oil. Biomass Bioenergy 2002, 22, 505–509. [Google Scholar] [CrossRef]
- Szyszlak-Barglowicz, J.; Zajac, G.; Piekarski, W. Energy biomass characteristics of chosen plants. Int. Agrophysics 2012, 26, 175–179. [Google Scholar] [CrossRef]
- Szyszlak-Barglowicz, J.; Zajac, G.; Słowik, T. Research on Emissions from Combustion of Pellets in Agro Biomass Low Power Boiler. Rocz. Ochr. Srodowiska 2017, 19, 715–730. [Google Scholar]
- Vassilev, S.V.; Baxter, D.; Andersen, L.K.; Vassileva, C.G. An overview of the chemical composition of biomass. Fuel 2010, 89, 913–933. [Google Scholar] [CrossRef]
- Rajczyk, R.; Bień, J.; Palka, H.; Pogodziński, A.; Smorąg, H. Co-Combustion of Municipal Sewage Sludge and Hard Coal on Fluidized Bed Boiler WF-6. Arch. Environ. Prot. 2014, 40, 101–113. [Google Scholar] [CrossRef]
- Zajemska, M.; Musiał, D.; Radomiak, H.; Poskart, A.; Wyleciał, T.; Urbaniak, D. Formation of Pollutants in the Process of Co-Combustion of Different Biomass Grades. Pol. J. Environ. Stud. 2014, 23, 1445–1448. [Google Scholar]
- García-Maraver, A.; Popov, V.; Zamorano, M. A review of European standards for pellet quality. Renew. Energy 2011, 36, 3537–3540. [Google Scholar] [CrossRef]
- Saidur, R.; Abdelaziz, E.A.; Demirbas, A.; Hossain, M.S.; Mekhilef, S. A review on biomass as a fuel for boilers. Renew. Sustain. Energy Rev. 2011, 15, 2262–2289. [Google Scholar] [CrossRef]
- Maj, G. Analysis of energy properties and emissions factors of selected plant biomass and peat. In Proceedings of the IX International Scientific Symposium Farm Machinery and Processes Management in Sustainable Agriculture: Symposium Proceedings, Lublin, Poland, 22–24 November 2017; pp. 222–227. [Google Scholar]
- Zając, G.; Szyszlak-Bargłowicz, J.; Gołębiowski, W.; Szczepanik, M. Chemical Characteristics of Biomass Ashes. Energies 2018, 11, 2885. [Google Scholar] [CrossRef]
- Zając, G.; Szyszlak-Bargłowicz, J.; Szczepanik, M. Influence of Biomass Incineration Temperature on the Content of Selected Heavy Metals in the Ash Used for Fertilizing Purposes. Appl. Sci. 2019, 9, 1790. [Google Scholar] [CrossRef]
- Vassilev, S.V.; Baxter, D.; Vassileva, C.G. An overview of the behaviour of biomass during combustion: Part I. Phase-mineral transformations of organic and inorganic matter. Fuel 2013, 112, 391–449. [Google Scholar] [CrossRef]
- Park, B.B.; Yanai, R.D.; Sahm, J.M.; Lee, D.K.; Abrahamson, L.P. Wood ash effects on plant and soil in a willow bioenergy plantation. Biomass Bioenergy 2005, 28, 355–365. [Google Scholar] [CrossRef]
- Vamvuka, D.; Hahladakis, J.; Pentari, D. Leaching of toxic elements from lignite and agroresidue ashes in cultivated soils of Crete. Energy Fuels 2005, 19, 807–812. [Google Scholar] [CrossRef]
- Monti, A.; Di Virgilio, N.; Venturi, G. Mineral composition and ash content of six major energy crops. Biomass Bioenergy 2008, 32, 216–223. [Google Scholar] [CrossRef]
- Vega-Nieva, D.J.; Ortiz Torres, L.; Míguez Tabares, J.L.; Morán, J. Measuring and Predicting the Slagging of Woody and Herbaceous Mediterranean Biomass Fuels on a Domestic Pellet Boiler. Energy Fuels 2016, 30, 1085–1095. [Google Scholar] [CrossRef]
- Niu, Y.; Tan, H.; Hui, S. Ash-related issues during biomass combustion: Alkali-induced slagging, silicate melt-induced slagging (ash fusion), agglomeration, corrosion, ash utilization, and related countermeasures. Prog. Energy Combust. Sci. 2016, 52, 1–61. [Google Scholar] [CrossRef]





| Index | Range | Slagging and Fouling Inclinations |
|---|---|---|
| Rb/a | <0.5 | Low |
| 0.5–1 | Medium | |
| 1–1.75 | High | |
| >1.75 | Extremely high | |
| Rs | <0.6 | Low |
| 0.6–2 | Medium | |
| 2–2.6 | High | |
| >2.6 | Extremely high | |
| AI | <0.17 | Low |
| 0.17–0.34 | Medium | |
| >0.34 | High | |
| SI | >0.6 | Low |
| 0.6–2 | Medium | |
| <2 | High | |
| IC | <0.3 | Low |
| 0.3–3 | High | |
| Sr | >72 | Low |
| 65–72 | Medium | |
| <65 | High | |
| Fu | <0.6 | Low |
| 0.6–40 | High | |
| >40 | Extremely high |
| Parameter | Material | F | ||||||||
|---|---|---|---|---|---|---|---|---|---|---|
| CC | CG | CH | CC–CG | CG–CC | CC–CH | CH–CG | CH–CC | CG–CH | ||
| LHV (MJ·kg−1) ± Sx | 14.94 ± 0.01 d | 13.23 ± 0.17 b,c | 9.69 ± 0.09 a | 13.70 ± 0.04 c | 13.36 ± 0.04 b,c | 13.07 ± 0.64 b,c | 10.19 ± 0.06 a | 13.09 ± 0.01 b,c | 12.90 ± 0.01 b | 165.59 * |
| HHV (MJ·kg−1) ± Sx | 17.05 ± 0.01 g | 16.87 ± 0.09 g | 10.96 ± 0.10 a | 16.18 ± 0.30 f | 16.92 ± 0.05 g | 15.53 ± 0.01 e | 11.39 ± 0.07 b | 14.72 ± 0.08 c | 15.15 ± 0.10 d | 1065.24 * |
| M (%) ± Sx | 7.83 ± 0 a | 12.91 ± 0.05 f | 9.49 ± 0.26 c | 10.68 ± 0.04 d | 10.40 ± 0.21 d | 8.75 ± 0.09 b | 11.61 ± 0.16 e | 8.94 ± 0.03 b | 12.55 ± 0.05 f | 539.25 * |
| A (%) ± Sx | 5.64 ± 0.60 a | 5.12 ± 0.02 a | 31.11 ± 1.49 d | 5.82 ± 0.48 a | 5.42 ± 0.27 a | 6.09 ± 0.25 a | 22.62 ± 0.35 c | 16.03 ± 0.54 b | 6.51 ± 0.01 a | 731.88 * |
| V (%) ± Sx | 69.24 ± 0.48 g | 68.57 ± 0.14 g | 49.98 ± 0.73 a | 63.41 ± 0.17 f | 68.94 ± 0.30 g | 61.41 ± 0.33 e | 55.45 ± 0.07 b | 60.22 ± 0.47 d | 58.52 ± 0.02 c | 953.25 * |
| C (%) ± Sx | 48.51 ± 0.16 g | 40.65 ± 0.45 d | 31.06 ± 0.60 a | 46.60 ± 0.68 f | 42.95 ± 0.86 e | 47.35 ± 0.25 f | 35.40 ± 0.66 b | 39.08 ± 0.95 c,d | 38.76 ± 0.16 c | 352.20 * |
| H (%) ± Sx | 5.90 ± 0.01 d,e | 6.39 ± 0.03 e | 3.63 ± 0.42 a | 5.70 ± 0.08 d | 5.74 ± 0.21 d | 5.15 ± 0.09 c | 4.85 ± 0.10 b,c | 4.87 ± 0.13 b,c | 4.56 ± 0.15 b | 66.17 * |
| N (%) ± Sx | 0.29 ± 0.04 a | 1.34 ± 0.13 d | 1.09 ± 0.05 c | 0.62 ± 0.08 b | 1.23 ± 0.11 c,d | 0.67 ± 0.06 b | 1.07 ± 0.03 c | 1.07 ± 0.04 c | 1.12 ± 0.02 c | 70.35 * |
| S (%) ± Sx | 0.52 ± 0 b | 0.51 ± 0.04 b | 0.48 ± 0 a,b | 0.49 ± 0 a,b | 0.51 ± 0 b | 0.51 ± 0 b | 0.45 ± 0 a | 0.49 ± 0 a,b | 0.48 ± 0.02 a,b | 6.47 * |
| O (%) ± Sx | 39.14 ± 0.50 c | 45.99 ± 0.41 d,e | 32.63 ± 2.30 a | 40.77 ± 0.56 d | 44.15 ± 0.88 d | 40.22 ± 0.21 b,c | 35.60 ± 0.44 b | 38.47 ± 1.56 b,c | 48.62 ± 0.36 f | 76.85 * |
| FC (%) ± Sx | 17.29 ± 0.14 d | 13.40 ± 0.17 b | 9.41 ± 0.51 a | 20.09 ± 0.36 e | 15.24 ± 0.70 c | 23.75 ± 0.55 g | 10.32 ± 0.23 a | 14.81 ± 0.12 c | 22.44 ± 0.06 f | 521.61 * |
| FR | 0.25 | 0.20 | 0.19 | 0.32 | 0.22 | 0.39 | 0.19 | 0.25 | 0.38 | - |
| Elements (%) | Materials | F | ||||||||
|---|---|---|---|---|---|---|---|---|---|---|
| CC | CG | CH | CC–CH | CG–CC | CC–CG | CH–CG | CH–CC | CG–CH | ||
| K2O | 31.13 ± 0.21 i | 2.94 ± 0.02 a | 6.86 ± 0.02 e | 15.96 ± 0.06 g | 9.18 ± 0.03 f | 20.08 ± 0.04 h | 5.18 ± 0.02 c | 6.41 ± 0.09 d | 3.82 ± 0.01 b | 39,920.04 * |
| CaO | 10.43 ± 0.12 e | 1.36 ± 0.05 a | 14.27 ± 0.06 h | 10.27 ± 0.06 e | 4.32 ± 0.03 b | 5.63 ± 0.06 d | 11.21 ± 0.05 f | 12.32 ± 0.06 g | 5.19 ± 0.01 c | 9658.05 * |
| Fe2O3 | 1.20 ± 0.01 c | 0.83 ± 0.01 a | 2.16 ± 0.01 e | 2.27 ± 0 f | 1.03 ± 0.01 b | 1.19 ± 0.01 c | 2.16 ± 0.03 e | 2.83 ± 0.02 g | 1.58 ± 0.02 d | 7731.10 * |
| Al2O3 | 1.23 ± 0.01 a | 3.45 ± 0.01 d | 5.29 ± 0.05 h | 4.51 ± 0.10 f | 3.07 ± 0.02 c | 1.46 ± 0.01 b | 5.03 ± 0.02 g | 6.66 ± 0.06 i | 4.13 ± 0.05 e | 4658.17 * |
| MgO | 0.11 ± 0 d | 0.82 ± 0.02 e | 0.09 ± 0 a,b,c | 0.10 ± 0 b,c,d | 0.09 ± 0.01 a,b | 0.11 ± 0 d | 0.08 ± 0 a | 0.11 ± 0 c,d | 0.81 ± 0 e | 10,957.66 * |
| Na2O | 2.24 ± 0.07 g | 1.13 ± 0.01 d | 0.21 ± 0.02 a | 2.16 ± 0.01 f,g | 1.28 ± 0.02 e | 2.13 ± 0.06 f | 0.53 ± 0.01 b | 0.47 ± 0 b | 0.96 ± 0.06 c | 1341.65 * |
| P2O5 | 7.19 ± 0.07 f | 4.32 ± 0.02 a | 10.90 ± 0.06 h | 6.44 ± 0.05 e | 5.43 ± 0.01 c | 12.02 ± 0.02 i | 8.34 ± 0.06 g | 6.17 ± 0.02 d | 4.92 ± 0.09 b | 9173.42 * |
| SiO2 | 19.63 ± 0.15 e | 10.14 ± 0.20 a | 51.70 ± 0.30 h | 22.17 ± 0.17 f | 10.98 ± 0.04 b | 18.94 ± 0.03 d | 48.85 ± 0.06 g | 64.93 ± 0.21 i | 15.46 ± 0.11 c | 59,873.37 * |
| TiO2 | 0.35 ± 0.01 b | 0.11 ± 0 a | 0.58 ± 0.01 f | 0.53 ± 0.01 e | 0.47 ± 0.01 d | 0.43 ± 0 c | 0.66 ± 0.01 g | 0.68 ± 0 h | 0.33 ± 0.01 b | 1532.99 * |
| Index | Material | |||||||||
|---|---|---|---|---|---|---|---|---|---|---|
| CC | CG | CH | CC–CH | CG–CC | CC–CG | CH–CG | CH–CC | CG–CH | ||
| Rb/a | value | 2.13 | 0.52 | 0.41 | 1.13 | 1.10 | 1.40 | 0.35 | 0.31 | 0.62 |
| risk | E | M | L | H | H | H | L | L | M | |
| Rs | value | 1.11 | 0.26 | 0.2 | 0.58 | 0.69 | 0.96 | 0.16 | 0.15 | 0.30 |
| risk | M | L | L | L | L | M | L | L | L | |
| AI | value | 1.96 | 0.24 | 0.65 | 1.17 | 0.62 | 1.37 | 0.49 | 0.47 | 0.32 |
| risk | H | M | H | H | H | H | H | H | M | |
| Sr | value | 62.54 | 77.11 | 75.79 | 63.68 | 66.87 | 73.20 | 78.41 | 80.98 | 67.10 |
| risk | H | L | L | H | M | L | L | L | M | |
| IC | value | 0.11 | 0.61 | 0.15 | 0.22 | 0.24 | 0.21 | 0.16 | 0.23 | 0.30 |
| Risk | L | H | L | L | L | L | L | L | H | |
| SI | value | 0.32 | 0.54 | 2.03 | 0.57 | 0.42 | 0.26 | 1.98 | 1.80 | 1.26 |
| risk | L | L | H | L | L | L | M | M | M | |
| Fu | value | 70.1 | 2.10 | 2.9 | 20.47 | 11.45 | 31.08 | 2.01 | 2.11 | 2.97 |
| risk | E | L | L | H | H | H | L | L | L | |
© 2019 by the authors. Licensee MDPI, Basel, Switzerland. This article is an open access article distributed under the terms and conditions of the Creative Commons Attribution (CC BY) license (http://creativecommons.org/licenses/by/4.0/).
Share and Cite
Maj, G.; Szyszlak-Bargłowicz, J.; Zając, G.; Słowik, T.; Krzaczek, P.; Piekarski, W. Energy and Emission Characteristics of Biowaste from the Corn Grain Drying Process. Energies 2019, 12, 4383. https://doi.org/10.3390/en12224383
Maj G, Szyszlak-Bargłowicz J, Zając G, Słowik T, Krzaczek P, Piekarski W. Energy and Emission Characteristics of Biowaste from the Corn Grain Drying Process. Energies. 2019; 12(22):4383. https://doi.org/10.3390/en12224383
Chicago/Turabian StyleMaj, Grzegorz, Joanna Szyszlak-Bargłowicz, Grzegorz Zając, Tomasz Słowik, Paweł Krzaczek, and Wiesław Piekarski. 2019. "Energy and Emission Characteristics of Biowaste from the Corn Grain Drying Process" Energies 12, no. 22: 4383. https://doi.org/10.3390/en12224383
APA StyleMaj, G., Szyszlak-Bargłowicz, J., Zając, G., Słowik, T., Krzaczek, P., & Piekarski, W. (2019). Energy and Emission Characteristics of Biowaste from the Corn Grain Drying Process. Energies, 12(22), 4383. https://doi.org/10.3390/en12224383

