Feedback Control for Transition Suppression in Direct Numerical Simulations of Channel Flow
Abstract
1. Introduction
2. Numerical Approaches
2.1. Direct Numerical Simulation
2.2. Linearized Navier–Stokes Equations and Feedback Control Design
3. Results and Discussions
3.1. Transient Energy Growth of Optimal Disturbance
3.1.1. Oblique Disturbance
3.1.2. Streamwise Wave Disturbance
3.1.3. Spanwise Wave Disturbance
3.2. Suppression of Laminar-to-Turbulent Transition
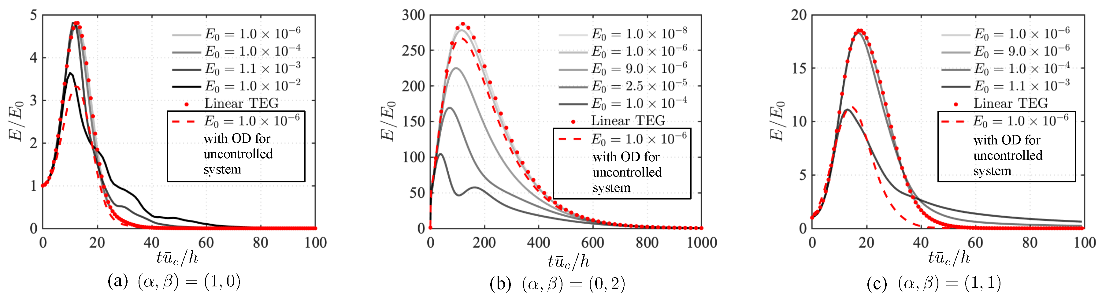
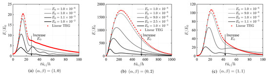
3.2.1. Reduction in Transient Energy Growth
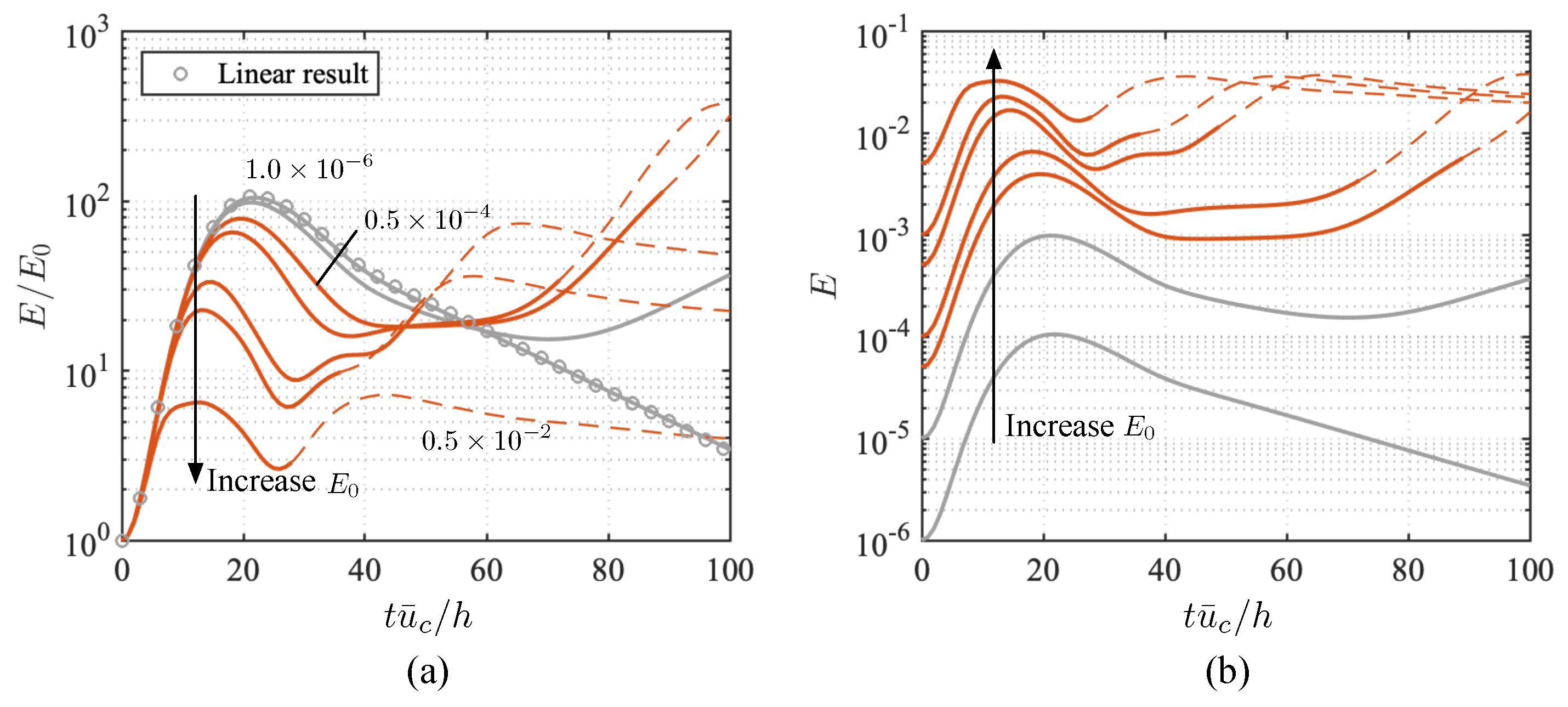
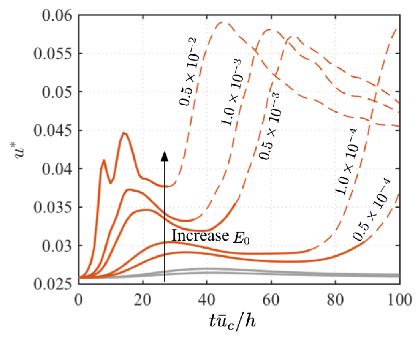
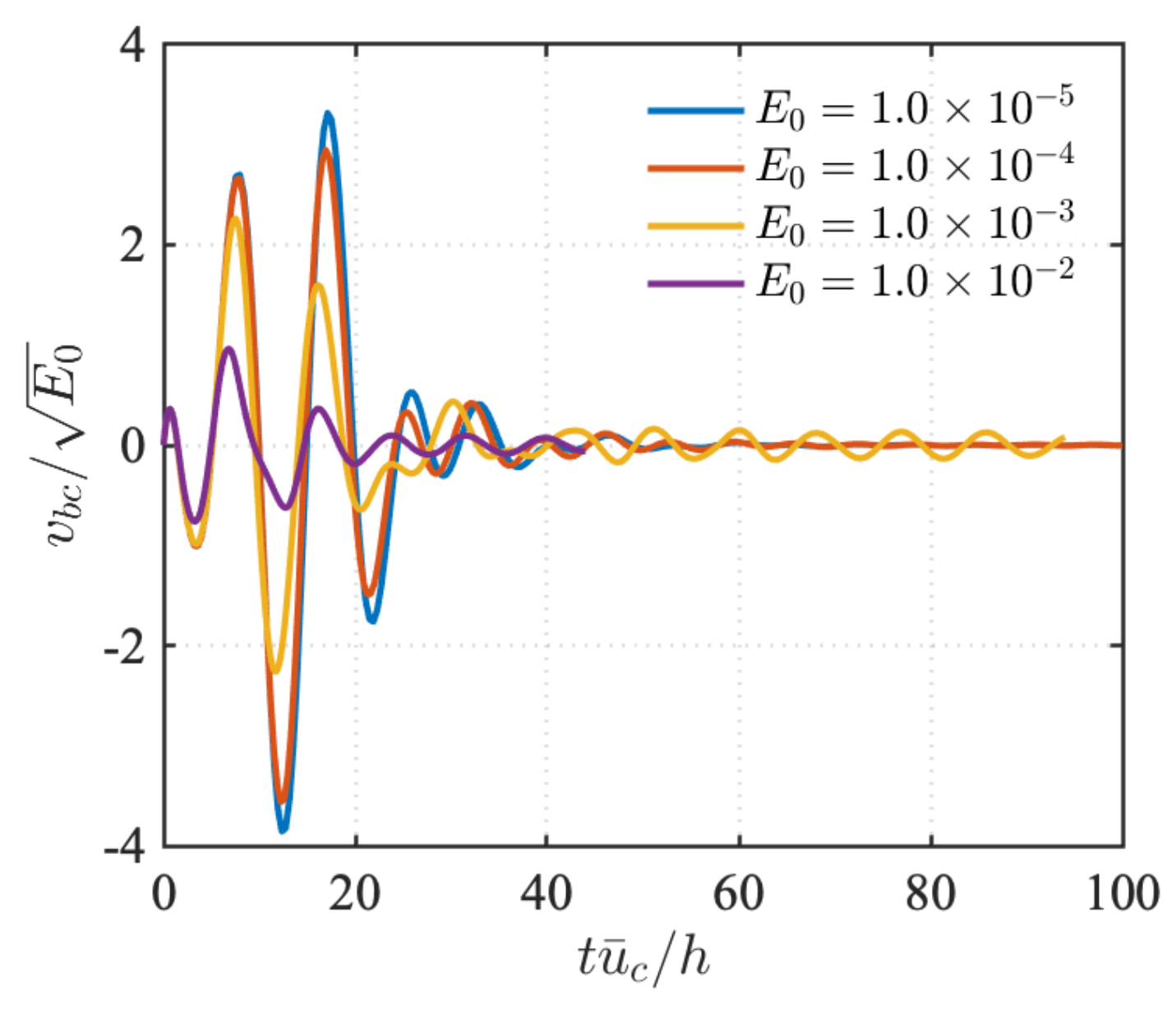
3.2.2. Controlled Flow with Oblique or Streamwise Wave Disturbances
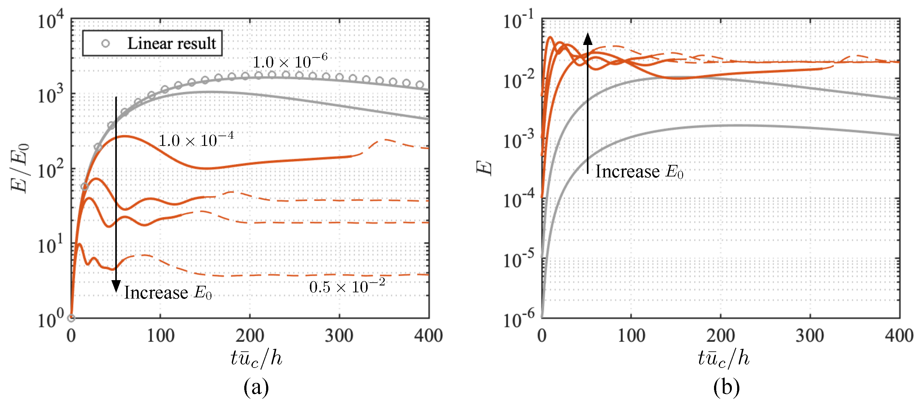
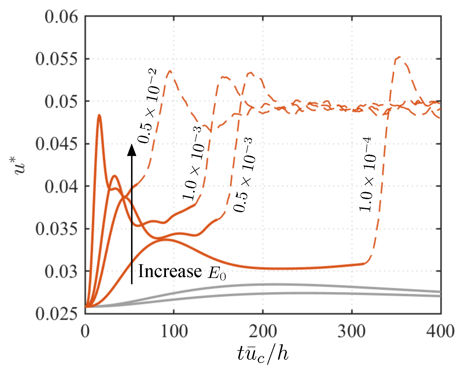
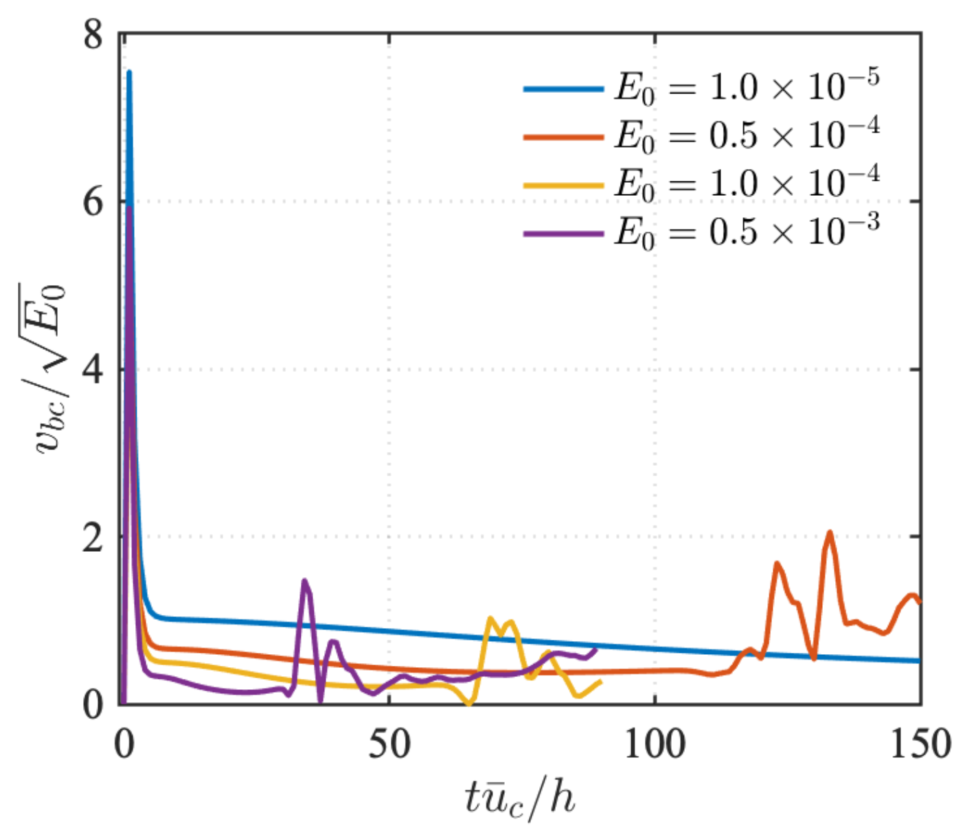
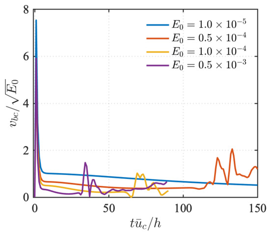
3.2.3. Controlled Flow of Spanwise Wave Disturbances
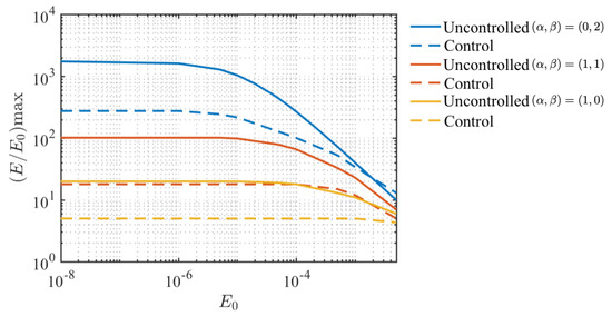
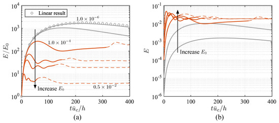
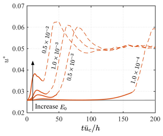
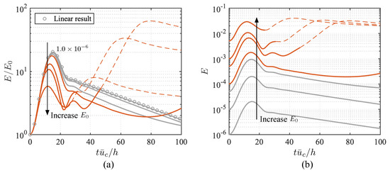
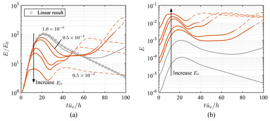
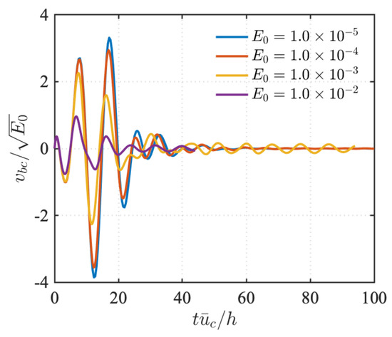
3.2.4. Increase in Perturbation Threshold for Laminar-to-Turbulent Transition
4. Conclusions
Author Contributions
Funding
Acknowledgments
Conflicts of Interest
References
- Stuart, J.T. On the non-linear mechanics of wave disturbances in stable and unstable parallel flows Part 1. The basic behaviour in plane Poiseuille flow. J. Fluid Mech. 1960, 9, 353–370. [Google Scholar] [CrossRef]
- Watson, J. On the non-linear mechanics of wave disturbances in stable and unstable parallel flows Part 2. The development of a solution for plane Poiseuille flow and for plane Couette flow. J. Fluid Mech. 1960, 9, 371–389. [Google Scholar] [CrossRef]
- Nishioka, M.; A, S.I.; Ichikawa, Y. An experimental investigation of the stability of plane Poiseuille flow. J. Fluid Mech. 1975, 72, 731–751. [Google Scholar] [CrossRef]
- Henningson, D.S.; Kim, J. On turbulent spots in plane Poiseuille flow. J. Fluid Mech. 1991, 228, 183–205. [Google Scholar] [CrossRef]
- Elofsson, P.A.; Kawakami, M.; Alfredsson, P.H. Experiments on the stability of streamwise streaks in plane Poiseuille flow. Phys. Fluids 1999, 11, 915–930. [Google Scholar] [CrossRef]
- Thomas, L.H. The stability of plane Poiseuille flow. Phys. Rev. 1953, 91, 780. [Google Scholar] [CrossRef]
- Orszag, S.A. Accurate solution of the Orr-Sommerfeld stability equation. J. Fluid Mech. 1971, 50, 689–703. [Google Scholar] [CrossRef]
- Gustavsson, L.H. Energy growth of three-dimensional disturbances in plane Poiseuille flow. J. Fluid Mech. 1991, 224, 241–260. [Google Scholar] [CrossRef]
- Schmid, P.J.; Henningson, D.S. Stability and Transition in Shear Flows; Springer-Verlag: New York, NY, USA, 2001. [Google Scholar]
- Orszag, S.A.; Kells, L.C. Transition to turbulence in plane Poiseuille and plane Couette flow. J. Fluid Mech. 1980, 96, 159–205. [Google Scholar] [CrossRef]
- Nishioka, M.; Asai, M. Some observations of the subcritical transition in plane Poiseuille flow. J. Fluid Mech. 1985, 150, 441–450. [Google Scholar] [CrossRef]
- Chapman, S.J. Subcritical transition in channel flows. J. Fluid Mech. 2002, 451, 35–97. [Google Scholar] [CrossRef]
- Schmid, P.J. Nonmodal Stability Theory. Annu. Rev. Fluid Mech. 2007, 39, 129–162. [Google Scholar] [CrossRef]
- Hanifi, A.; Schmid, P.J.; Henningson, D.S. Transient growth in compressible boundary layer flow. Phys. Fluids 1996, 8, 826–837. [Google Scholar] [CrossRef]
- Joshi, S.S.; Speyer, J.L.; Kim, J. A systems theory approach to the feedback stabilization of infinitesimal and finite-amplitude disturbances in plane Poiseuille flow. J. Fluid Mech. 1997, 332, 157–184. [Google Scholar] [CrossRef]
- Bewley, T.R.; Liu, S. Optimal and robust control and estimation of linear paths to transition. J. Fluid Mech. 1998, 365, 305–349. [Google Scholar] [CrossRef]
- Hogberg, M.; Bewley, T.R.; Henningson, D. Linear feedback control and estimation of transition in plane channel flow. J. Fluid Mech. 2003, 481, 149–175. [Google Scholar] [CrossRef]
- Ilak, M.; Rowley, C.W. Feedback control of transitional channel flow using balanced proper orthogonal decomposition. In Proceedings of the 5th AIAA Theoretical Fluid Mechanics Conference, Seattle, WA, USA, 23–26 June 2008. AIAA Paper 2008-4230. [Google Scholar]
- Martinelli, F.; Quadrio, M.; McKernan, J.; Whidborne, J.F. Linear feedback control of transient energy growth and control performance limitations in subcritical plane Poiseuille flow. Phys. Fluids 2011, 23, 014103. [Google Scholar] [CrossRef]
- Kim, J.; Bewley, T.R. A linear systems approach to flow control. Annu. Rev. Fluid Mech. 2007, 39, 383–417. [Google Scholar] [CrossRef]
- Jovanović, M.R.; Bamieh, B. Componentwise energy amplification in channel flows. J. Fluid Mech. 2005, 534, 145–183. [Google Scholar] [CrossRef]
- Jones, B.L.; Heins, P.H.; Kerrigan, E.C.; Morrison, J.F.; Sharma, A.S. Modelling for robust feedback control of fluid flows. J. Fluid Mech. 2015, 769, 687–722. [Google Scholar] [CrossRef]
- Heins, P.H.; Jones, B.L.; Sharma, A.S. Passivity-based output-feedback control of turbulent channel flow. Automatica 2016, 69, 348–355. [Google Scholar] [CrossRef]
- Whidborne, J.F.; Amar, N. Computing the maximum transient energy growth. BIT Numer. Math. 2011, 51, 447–457. [Google Scholar] [CrossRef]
- Kerswell, R.R. Nonlinear Nonmodal Stability Theory. Annu. Rev. Fluid Mech. 2018, 50, 319–345. [Google Scholar] [CrossRef]
- Hemati, M.S.; Yao, H. Performance limitation of observer-based feedback for transient energy growth suppression. AIAA J. 2018, 56. [Google Scholar] [CrossRef]
- Yao, H.; Hemati, M.S. Revisting the separation principle of improved transition control. In Proceedings of the 2018 Flow Control Conference, Atlanta, GA, USA, 25–29 June 2018. AIAA Paper 2018-3693. [Google Scholar]
- Kalur, A.; Hemati, M.S. Control-oriented model reduction for minimizing transient energy growth in shear flows. AIAA J. 2019. [Google Scholar] [CrossRef]
- Yao, H.; Hemati, M.S. Advances in output feedback control of transient energy growth in a linearized channel flow. In Proceedings of the AIAA Scitech 2019 Forum, San Diego, CA, USA, 7–11 January 2019. AIAA Paper 2019-0882. [Google Scholar]
- Gibson, J.F. Channelflow: A spectral Navier-Stokes simulator in C++; Technical Report; U. New Hampshire: Durham, NH, USA, 2014; Available online: Channelflow.org (accessed on 1 June 2018).
- Gibson, J.F.; Halcrow, J.; Cvitanović, P. Visualizing the geometry of state space in plane Couette flow. J. Fluid Mech. 2008, 611, 107–130. [Google Scholar] [CrossRef]
- Reddy, S.C.; Schmid, P.J.; Baggett, J.S.; Henningson, D.S. On stability of streamwise streaks and transition thresholds in plane channel flows. J. Fluid Mech. 1998, 365, 269–303. [Google Scholar] [CrossRef]
- McKernan, J.; Papadakis, G.; Whidborne, J.F. A linear state-space representation of plane Poiseuille flow for control design—A tutorial. Int. J. Model. Identif. Control 2006, 1, 272–280. [Google Scholar] [CrossRef]
- Brogan, W.L. Modern Control Theory; Prentice-Hall: Englewood Cliffs, NJ, USA, 1991. [Google Scholar]
- Hunt, J.C.R.; Wray, A.A.; Moin, P. Eddies, streams, and convergence zones in turbulent flows. In Proceedings of the Summer Program, Stanford, CA, USA, 1 December 1988; Center of Turbulence Research: Stanford, CA, USA, 1988; pp. 193–208. [Google Scholar]
- Lee, C.; Min, T.; Kim, J. Stability of a channel flow subject to wall blowing and suction in the form of a traveling wave. Phys. Fluids 2008, 20, 101513. [Google Scholar] [CrossRef]




















© 2019 by the authors. Licensee MDPI, Basel, Switzerland. This article is an open access article distributed under the terms and conditions of the Creative Commons Attribution (CC BY) license (http://creativecommons.org/licenses/by/4.0/).
Share and Cite
Sun, Y.; Hemati, M.S. Feedback Control for Transition Suppression in Direct Numerical Simulations of Channel Flow. Energies 2019, 12, 4127. https://doi.org/10.3390/en12214127
Sun Y, Hemati MS. Feedback Control for Transition Suppression in Direct Numerical Simulations of Channel Flow. Energies. 2019; 12(21):4127. https://doi.org/10.3390/en12214127
Chicago/Turabian StyleSun, Yiyang, and Maziar S. Hemati. 2019. "Feedback Control for Transition Suppression in Direct Numerical Simulations of Channel Flow" Energies 12, no. 21: 4127. https://doi.org/10.3390/en12214127
APA StyleSun, Y., & Hemati, M. S. (2019). Feedback Control for Transition Suppression in Direct Numerical Simulations of Channel Flow. Energies, 12(21), 4127. https://doi.org/10.3390/en12214127

