Experimental and Numerical Study on the Effect of Interfacial Heat Transfer on Performance of Thermoelectric Generators
Abstract
1. Introduction
2. Experiment Setup and Numerical Modeling
2.1. Numerical Modeling of Thermoelectric Module
2.2. Experimental System
3. Results and Discussion
3.1. The Effect of TIMs on Performance of the TEG Module
3.1.1. Effect of Thermal Greases on Open-Circuit Voltage
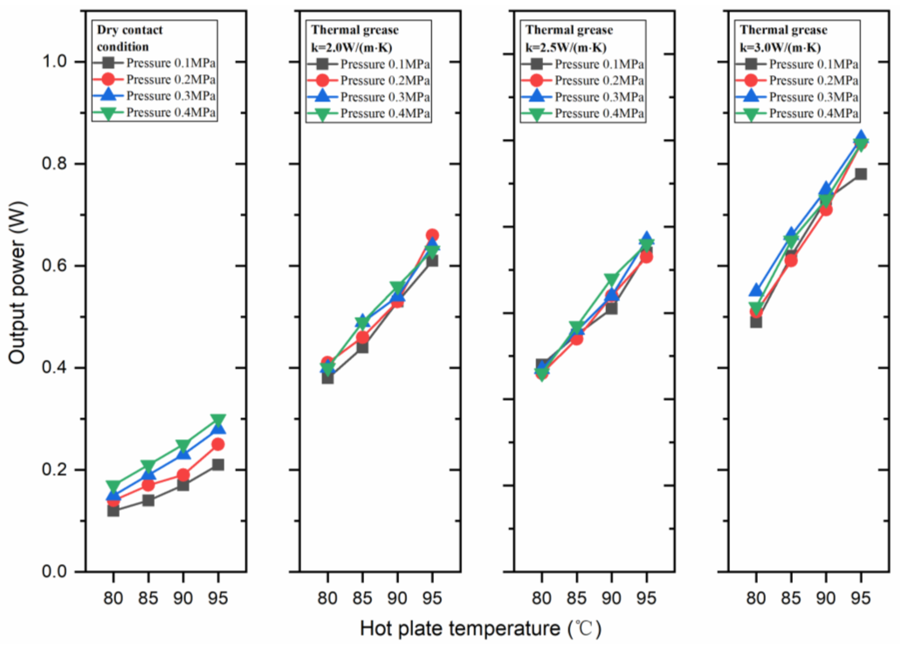
3.1.2. Effect of Thermal Greases on Output Power
3.2. The Effect of External Load on Open-Circuit Voltage and Output Power of TEG Module
4. Conclusions
- The open-circuit voltage and output power were significantly increased at different temperatures when thermal greases were used as thermal interface materials. The open-circuit voltage increased from 1.73 to either 3.07, 3.4, or 3.57 V with k = 2.0, 2.5 and 3.0 W/(m∙K) thermal greases respectively used as TIMs when the temperature difference was 60 °C and external pressure was 0.1 MPa. The corresponding output power increased from 0.12 to either 0.38, 0.48, or 0.49 W, respectively.
- The external pressure had a great effect on the performance of the TEG module in dry contact condition. The open-circuit voltages were 1.73, 1.87, 1.97, and 2.1 V at external pressures of 0.1, 0.2, 0.3, and 0.4 MPa when the temperature difference ΔT = 60 °C. The corresponding output powers were 0.12, 0.14, 0.15, and 0.17 W, respectively. The thermal resistance decreased dramatically from 726 to 433 mm2 K/W with the increase of external pressure from 0.1 to 0.4 MPa. The decrease ratio was 40.4%.
- The performance of TEG module was slightly affected by external pressure when thermal greases were used as thermal interface material. The open-circuit voltages were 3.07, 3.13, 3.17, and 3.20 V at external pressures of 0.1, 0.2, 0.3, and 0.4 MPa when the temperature difference ΔT = 60 °C and k = 2.0 W/(m∙K) thermal greases were used as TIMs. The corresponding output powers were 0.38, 0.41, 0.40, and 0.40 W, respectively. The thermal interfacial resistance decreased from 413 to 315 mm2K/W with the increase of external pressure from 0.1 to 0.4 MPa. The decrease ratio was 15.3%.
Author Contributions
Funding
Conflicts of Interest
References
- Yu, C.; Chau, K.T. Thermoelectric automotive waste heat energy recovery using maximum power point tracking. Energy Convers. Manag. 2009, 50, 1506–1512. [Google Scholar] [CrossRef]
- Talom, H.L.; Beyene, A. Heat recovery from automotive engine. Appl. Therm. Eng. 2009, 29, 439–444. [Google Scholar] [CrossRef]
- Bell, L.E. Cooling, Heating, Generating Power, and Recovering Waste Heat with Thermoelectric Systems. Science 2008, 321, 1457. [Google Scholar] [CrossRef] [PubMed]
- Zhao, Y.; Wang, S.; Ge, M.; Li, Y.; Liang, Z.; Yang, Y. Performance analysis of a thermoelectric generator applied to wet flue gas waste heat recovery. Appl. Energy 2018, 228, 2080–2089. [Google Scholar] [CrossRef]
- Riffat, S.B.; Ma, X. Thermoelectrics: A review of present and potential applications. Appl. Therm. Eng. 2003, 23, 913–935. [Google Scholar] [CrossRef]
- Li, G.; Shittu, S.; Diallo, T.M.O.; Yu, M.; Zhao, X.; Ji, J. A review of solar photovoltaic-thermoelectric hybrid system for electricity generation. Energy 2018, 158, 41–58. [Google Scholar] [CrossRef]
- Hadjistassou, C.; Kyriakides, E.; Georgiou, J. Designing high efficiency segmented thermoelectric generators. Energy Convers. Manag. 2013, 66, 165–172. [Google Scholar] [CrossRef]
- Ouyang, Z.; Li, D. Modelling of segmented high-performance thermoelectric generators with effects of thermal radiation, electrical and thermal contact resistances. Sci. Rep. 2016, 6, 24123. [Google Scholar] [CrossRef] [PubMed]
- Domínguez-Adame, F.; Martín-González, M.; Sánchez, D.; Cantarero, A. Nanowires: A route to efficient thermoelectric devices. Phys. E 2019, 113, 213–225. [Google Scholar] [CrossRef]
- Chen, Z.-G.; Han, G.; Yang, L.; Cheng, L.; Zou, J. Nanostructured thermoelectric materials: Current research and future challenge. Prog. Nat. Sci. Mater. Int. 2012, 22, 535–549. [Google Scholar] [CrossRef]
- Dimaggio, E.; Pennelli, G. Planar and vertical nanostructures for thermoelectric generation. Mater. Today Proc. 2019, 8, 600–606. [Google Scholar] [CrossRef]
- Dura, O.J.; Andujar, R.; Falmbigl, M.; Rogl, P.; López de la Torre, M.A.; Bauer, E. The effect of nanostructure on the thermoelectric figure-of-merit of La0.875Sr0.125CoO3. J. Alloy. Compd. 2017, 711, 381–386. [Google Scholar] [CrossRef]
- Cao, Q.; Luan, W.; Wang, T. Performance enhancement of heat pipes assisted thermoelectric generator for automobile exhaust heat recovery. Appl. Therm. Eng. 2018, 130, 1472–1479. [Google Scholar] [CrossRef]
- Demir, M.E.; Dincer, I. Performance assessment of a thermoelectric generator applied to exhaust waste heat recovery. Appl. Therm. Eng. 2017, 120, 694–707. [Google Scholar] [CrossRef]
- Ma, X.; Shu, G.; Tian, H.; Yang, H.; Chen, T. Optimization of length ratio in segmented thermoelectric generators for engine’s waste heat recovery. Energy Procedia 2019, 158, 583–588. [Google Scholar] [CrossRef]
- Meng, J.-H.; Wang, X.-D.; Chen, W.-H. Performance investigation and design optimization of a thermoelectric generator applied in automobile exhaust waste heat recovery. Energy Convers. Manag. 2016, 120, 71–80. [Google Scholar] [CrossRef]
- Zhao, Y.; Wang, S.; Ge, M.; Liang, Z.; Liang, Y.; Li, Y. Performance investigation of an intermediate fluid thermoelectric generator for automobile exhaust waste heat recovery. Appl. Energy 2019, 239, 425–433. [Google Scholar] [CrossRef]
- Patil, D.S.; Arakerimath, R.R.; Walke, P.V. Thermoelectric materials and heat exchangers for power generation—A review. Renew. Sustain. Energy Rev. 2018, 95, 1–22. [Google Scholar] [CrossRef]
- Lu, C.; Wang, S.; Chen, C.; Li, Y. Effects of heat enhancement for exhaust heat exchanger on the performance of thermoelectric generator. Appl. Therm. Eng. 2015, 89, 270–279. [Google Scholar] [CrossRef]
- Tzeng, S.-C.; Jeng, T.-M.; Lin, Y.-L. Parametric study of heat-transfer design on the thermoelectric generator system. Int. Commun. Heat Mass Transf. 2014, 52, 97–105. [Google Scholar] [CrossRef]
- Wang, Y.; Li, S.; Xie, X.; Deng, Y.; Liu, X.; Su, C. Performance evaluation of an automotive thermoelectric generator with inserted fins or dimpled-surface hot heat exchanger. Appl. Energy 2018, 218, 391–401. [Google Scholar] [CrossRef]
- Lesage, F.J.; Sempels, É.V.; Lalande-Bertrand, N. A study on heat transfer enhancement using flow channel inserts for thermoelectric power generation. Energy Convers. Manag. 2013, 75, 532–541. [Google Scholar] [CrossRef]
- Wang, C.-C.; Hung, C.-I.; Chen, W.-H. Design of heat sink for improving the performance of thermoelectric generator using two-stage optimization. Energy 2012, 39, 236–245. [Google Scholar] [CrossRef]
- Wang, S.; Xie, T.; Xie, H. Experimental study of the effects of the thermal contact resistance on the performance of thermoelectric generator. Appl. Therm. Eng. 2018, 130, 847–853. [Google Scholar] [CrossRef]
- Astrain, D.; Vián, J.G.; Martínez, A.; Rodríguez, A. Study of the influence of heat exchangers’ thermal resistances on a thermoelectric generation system. Energy 2010, 35, 602–610. [Google Scholar] [CrossRef]
- Kim, T.Y.; Negash, A.; Cho, G. Direct contact thermoelectric generator (DCTEG): A concept for removing the contact resistance between thermoelectric modules and heat source. Energy Convers. Manag. 2017, 142, 20–27. [Google Scholar] [CrossRef]
- Lv, S.; He, W.; Jiang, Q.; Hu, Z.; Liu, X.; Chen, H.; Liu, M. Study of different heat exchange technologies influence on the performance of thermoelectric generators. Energy Convers. Manag. 2018, 156, 167–177. [Google Scholar] [CrossRef]
- Yin, E.; Li, Q.; Li, D.; Xuan, Y. Experimental investigation on effects of thermal resistances on a photovoltaic-thermoelectric system integrated with phase change materials. Energy 2019, 169, 172–185. [Google Scholar] [CrossRef]
- Yu, X.; Lu, X.; Wang, Q.; Chen, Y.; Ma, T. Parametric study of thermoelectric power generators under large temperature difference conditions. Appl. Therm. Eng. 2018, 144, 647–657. [Google Scholar] [CrossRef]
- Wang, L.; Romagnoli, A. Cooling system investigation of thermoelectric generator used for marine waste heat recovery. In Proceedings of the 2016 IEEE 2nd Annual Southern Power Electronics Conference (SPEC), Auckland, New Zealand, 5–8 December 2016; pp. 1–6. [Google Scholar]
- Goldsmid, H.J. Bismuth Telluride and Its Alloys as Materials for Thermoelectric Generation. Materials 2014, 7, 2577–2592. [Google Scholar] [CrossRef]











| Component | Material | Thermal Conductivity (Wm−1K−1) | Electrical Resistance (Ωm) | Seebeck Coefficient (μVK−1) |
|---|---|---|---|---|
| Ceramic cover | Al2O3 | 31 | - | - |
| Copper plate | Copper | 401 | 1.69e−8 | - |
| P/N legs | Bi2Te3 | 1.6 | 1.18e−5 | 230 |
| Parameters | Value |
|---|---|
| Open-circuit voltage (V) | 11.1 |
| Matched load resistance (Ω) | 3.07 |
| Matched load output voltage (V) | 5.6 |
| Output current (A) | 1.8 |
| Output Power (W) | 10 |
| Heat flow through the module (W) | 192 |
| Heat flux density (W/cm2) | 12 |
© 2019 by the authors. Licensee MDPI, Basel, Switzerland. This article is an open access article distributed under the terms and conditions of the Creative Commons Attribution (CC BY) license (http://creativecommons.org/licenses/by/4.0/).
Share and Cite
Li, G.; Wang, Z.; Wang, F.; Wang, X.; Li, S.; Xue, M. Experimental and Numerical Study on the Effect of Interfacial Heat Transfer on Performance of Thermoelectric Generators. Energies 2019, 12, 3797. https://doi.org/10.3390/en12193797
Li G, Wang Z, Wang F, Wang X, Li S, Xue M. Experimental and Numerical Study on the Effect of Interfacial Heat Transfer on Performance of Thermoelectric Generators. Energies. 2019; 12(19):3797. https://doi.org/10.3390/en12193797
Chicago/Turabian StyleLi, Gen, Zhongcheng Wang, Feng Wang, Xiaozhong Wang, Shibo Li, and Mingsuo Xue. 2019. "Experimental and Numerical Study on the Effect of Interfacial Heat Transfer on Performance of Thermoelectric Generators" Energies 12, no. 19: 3797. https://doi.org/10.3390/en12193797
APA StyleLi, G., Wang, Z., Wang, F., Wang, X., Li, S., & Xue, M. (2019). Experimental and Numerical Study on the Effect of Interfacial Heat Transfer on Performance of Thermoelectric Generators. Energies, 12(19), 3797. https://doi.org/10.3390/en12193797

