Brittleness Evaluation of Glutenite Based On Energy Balance and Damage Evolution
Abstract
1. Introduction
2. Glutenite Brittleness Evaluation Methods Based on Energy Balance and Damage Evolution Analysis
2.1. Energy Balance Analysis over the Entire Process of Glutenite Failure
- (1)
- Energy absorption and accumulation (OA). In this stage, the rock specimen absorbs energy from the outside and stores it internally. The stress–strain curve can be divided into two parts: (1) 0–, part of the energy absorbed from outside is converted into dissipated energy due to the compaction of pores and closure of original microcracks, which leads to nonlinear deformation. (2) –, where the rock specimen continues to absorb energy from the outside, and almost all energy is converted into elastic strain energy and stored internally. In this stage, the rock specimen primarily undergoes elastic deformation under axial stress. The elastic strain energy accumulates continuously and accounts for a large proportion of the total energy although there is little dissipated energy.
- (2)
- Energy dissipation (AB). In this stage, energy dissipates due to the generation and propagation of cracks. The stress–strain curve can be divided into two parts: (1) –, where cracks begin to occur as the axial stress level reaches the crack initiation stress , resulting in irretrievable damage and plastic deformation. Meanwhile, elastic strain energy continues to accumulate and the dissipated energy begins to increase with the expansion of cracks. (2) –, where the stress level reaches the crack damage stress , the damage of the rock specimen intensifies and the plastic deformation increases with the penetration of cracks. As the loading increases, the rate of increase in dissipated energy becomes faster while the rate of increase in elastic strain energy becomes slower.
- (3)
- Energy conversion and release (BC). In this stage (–), the energy evolution manifests as a sudden release of the elastic energy that accumulated at the pre-peak stage, which is accompanied by an increasing trend of dissipated energy, and results in the propagation and accumulation of macroscopic cracks and the failure of the rock specimen. However, the amount of released elastic energy is often insufficient to maintain the propagation of macroscopic cracks and cause further damage; therefore, extra energy is required for further damage and complete failure of the rock. Part of the mechanical energy absorbed from the outside is used and transformed into energy that causes the rupture of the rock specimen. The released elastic energy and the additional energy absorbed from outside for sustaining fracturing at the post-peak stage are ultimately transformed into dissipated energy; put another way, the dissipated energy in the post-peak stage equals rupture energy. Rocks with absolute brittleness need little extra energy at the post-peak stage because the released elastic strain energy is enough to cause rock rupture; in other words, the failure process displays a self-sustaining character [24,25,26,27]. Brittle rocks generally require less extra energy than ductile rocks to maintain macroscopic cracks propagation and further damage; hence, the dissipated energy of brittle rocks at the post-peak stage is less than that of ductile rocks.
2.2. Energy Damage Evolution Mechanism of the Entire Process of Glutenite Failure
2.3. Establishment of Glutenite Brittleness Evaluation Index Based on Energy Balance and Damage Evolution
3. Verification of the New Brittleness Evaluation Indexes with Experimental Tests
3.1. Experimental Tests on Glutenite under Uniaxial and Triaxial Compression
3.2. Verification of Brittleness Evaluation Methods by Experimental Results of Glutenite under Uniaxial and Triaxial Conditions
3.3. Comparison of Brittleness Indexes
4. Analysis of Experimental Results of Glutenite Specimens
4.1. Analysis of Glutenite Brittleness and Energy Evolution Characteristics
4.2. Correlations between Mechanical Parameters and the Brittleness of Glutenite
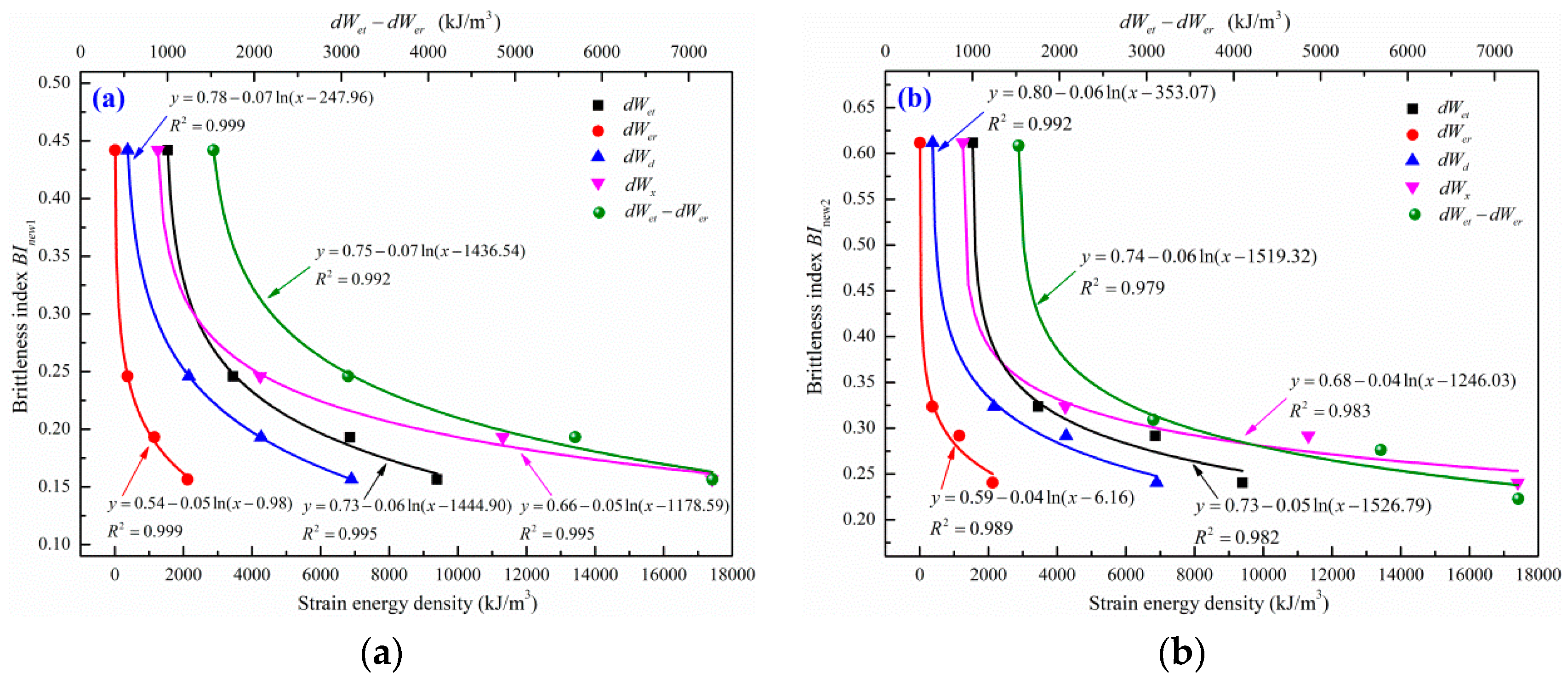
4.3. Correlations between Strain Energies and Brittleness of Glutenite
5. Numerical Study on the Effects of Mechanical and Structural Parameters on Glutenite Brittleness
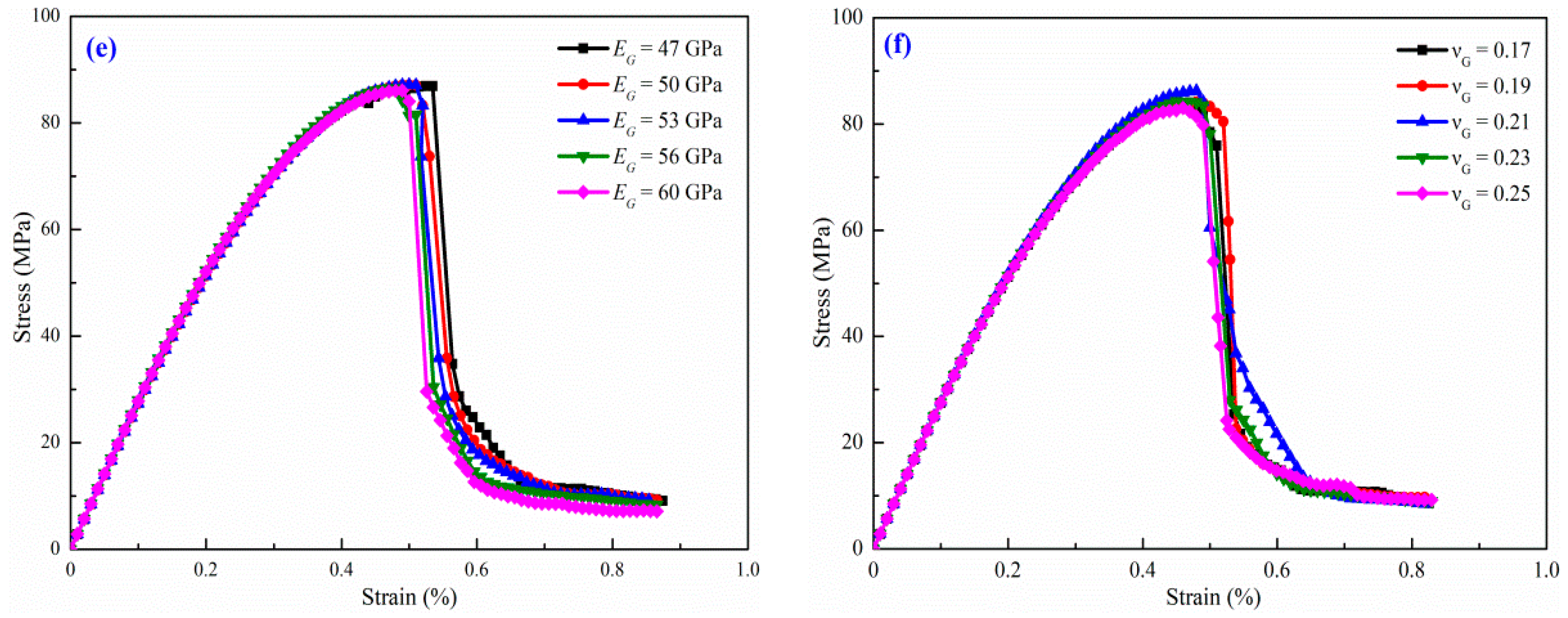
5.1. Effects of the Mechanical Parameters of Gravel and Matrix on Glutenite Brittleness
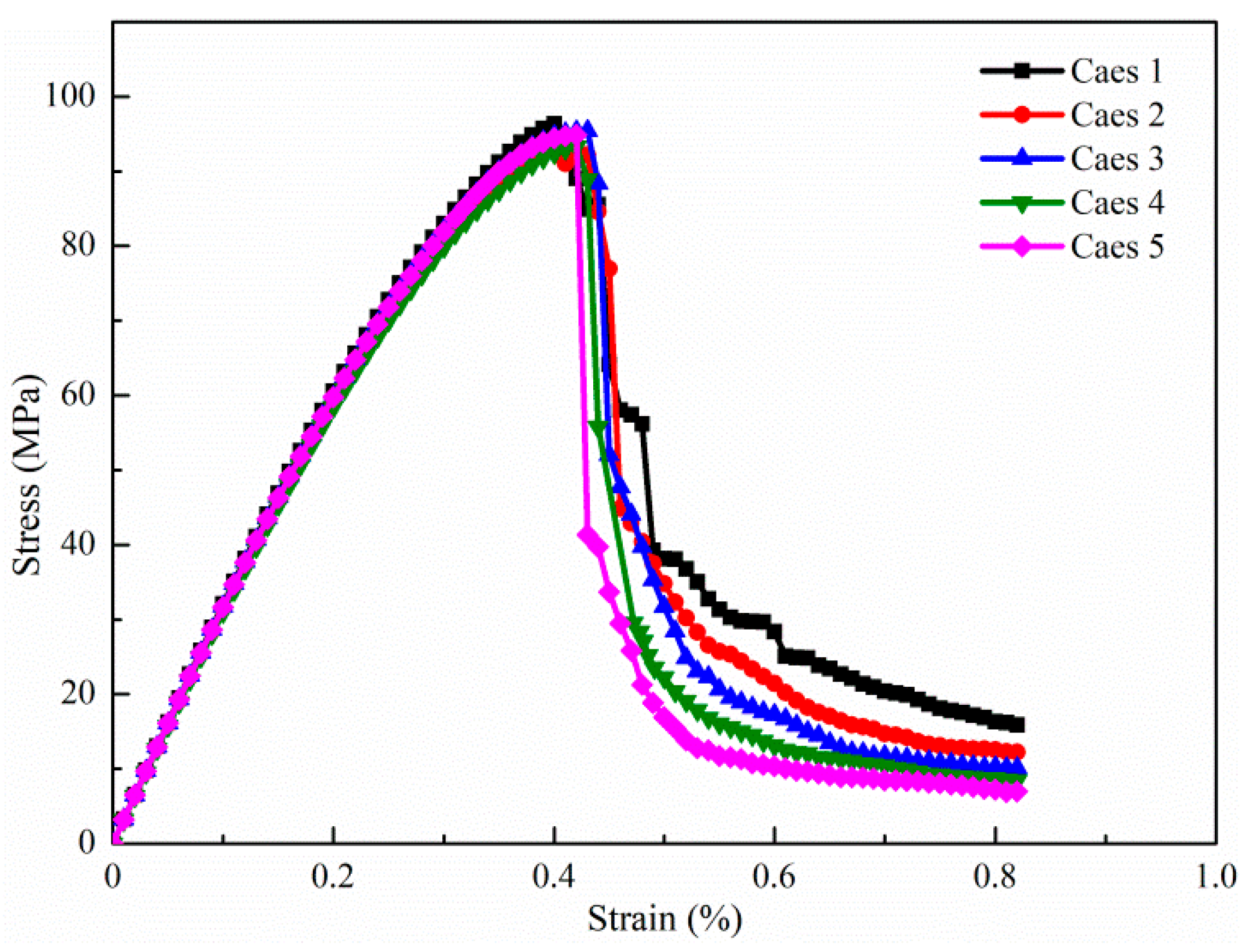
5.2. Effects of Gravel Size and Volume Content on Glutenite Brittleness
5.3. Effects of Gravel Size Gradation on Glutenite Brittleness
6. Discussion and Conclusion
6.1. Discussion
- (1)
- The estimation results of different methods may differ due to the assumptions involved. In the process of energy balance analysis, the unloading elastic modulus of rock specimens at different stress conditions is assumed to be equal to the initial elastic modulus, an assumption that might lead to deviations in the calculated results. Therefore, further efforts are needed to study the evolution law of unloading elastic modulus in the entire process of glutenite failure with loading and unloading tests, which could increase our understanding of the energy evolution mechanisms of glutenite failure and achieve more accurate results in evaluating glutenite brittleness.
- (2)
- Tight glutenite reservoirs are often characterized by strong heterogeneity and highly variable lithology. The application of brittleness evaluation methods based on stress–strain curves are generally limited to laboratory tests on cores drilled from certain glutenite layers, making it difficult to obtain continuous longitudinal mechanical properties and stress–strain responses of glutenite reservoirs under different in situ stresses. Therefore, to make brittleness models more applicable to fracturing operations and to obtain a continuous longitudinal brittleness index of glutenite throughout the well, it is necessary to integrate geomechanical and petrophysical approaches [51,52,53,54]. There is an intrinsic relationship between geophysical logging data and the physical and mechanical parameters of the reservoir rock mass [2]. More efforts are needed to combine geophysical logging interpretation and rock mechanics methods, and to calibrate the well logging interpretation and estimation models with laboratory test results [7] to obtain a precise brittleness prediction of the whole well length of a glutenite reservoir. This is important for the actual fracturing operation.
- (3)
- Brittleness evaluation of glutenite reservoirs ultimately benefits the industrial fracturing production program. Evaluating the capacity of glutenite layers for large fracture network formation as fracturing targets is beneficial for maximizing the stimulated reservoir volume (SRV). Because gravel is randomly distributed in glutenite reservoirs, the interface between gravel and matrix can be regarded as a natural weak plane, which has a significant effect on the propagation behavior of artificial fractures [3]. The brittleness and fracability of glutenite are affected not only by the mechanical properties of matrix, but also by gravel size and volume content, and mechanical properties of different rock structures. Fracture propagation behavior and the hydraulic fracturing effect of glutenite reservoirs are controlled by mechanical properties [15,55,56], geological conditions [57,58,59,60], and technical parameters [60,61,62]. The effect of glutenite brittleness on hydraulic fracture propagation mechanisms and fracturing needs further study. The establishment of a quantitative brittleness evaluation method directly from the perspective of the fracturing effect of glutenite would be conducive to making intuitive and reasonable predictions about hydraulic fracture complexity and SRV.
6.2. Conclusions
Author Contributions
Funding
Conflicts of Interest
Nomenclature
| peak strength, MPa | mechanical energy absorbed by rock volume, kJ/m³ | ||
| peak strain, - | rupture energy, kJ/m³ | ||
| residual strength, MPa | dissipated energy at residual stress, kJ/m³ | ||
| residual strain, - | consumed elastic energy, kJ/m³ | ||
| yield stress, MPa | dissipated energy of pre-peak stage, kJ/m³ | ||
| yield strain, - | total elastic energy accumulated, kJ/m³ | ||
| initiation stress, MPa | residual elastic energy, kJ/m³ | ||
| initiation strain, - | extra energy required for rupturing the rock at post-peak stage, kJ/m³ | ||
| softening modulus, GPa | damage variable, - | ||
| elastic modulus, GPa | uniaxial compressive strength, MPa | ||
| yield modulus, GPa | brittleness index,- | ||
| Poisson’s ratio, - |
References
- Ma, X.F.; Zou, Y.S.; Li, N.; Chen, M.; Zhang, Y.N.; Liu, Z.Z. Experimental study on the mechanism of hydraulic fracture growth in a glutenite reservoir. J. Struct. Geol. 2017, 97, 37–47. [Google Scholar] [CrossRef]
- Wang, M.; Wang, Y.S.; Liu, X.F.; Zhang, S.; Guan, L. Study on quantitative evaluation of rock grain size in sand conglomerate reservoir-A case study of Sha 4 formation in Dongying Sag. Prog. Geophys. 2019, 34, 208–213. (In Chinese) [Google Scholar]
- Li, L.C.; Meng, Q.M.; Wang, S.Y.; Li, G.; Tang, C.A. A numerical investigation of the hydraulic fracturing behavior of conglomerate in Glutenite formation. Acta Geotech. 2013, 8, 597–618. [Google Scholar] [CrossRef]
- Li, Z.C.; Li, L.C.; Huang, B.; Zhang, L.Y.; Li, M.; Zuo, J.Q.; Yu, Q.L. Numerical investigation on the propagation behavior of hydraulic fractures in shale reservoir based on the DIP technique. J. Pet. Sci. Eng. 2017, 154, 302–314. [Google Scholar] [CrossRef]
- Li, L.C.; Xia, Y.J.; Huang, B.; Zhang, L.Y.; Li, M.; Li, A.S. The behaviour of fracture growth in sedimentary rocks: A numerical study based on hydraulic fracturing processes. Energies 2016, 9, 169. [Google Scholar] [CrossRef]
- Li, Y.W.; Long, M.; Zuo, L.H.; Li, W.; Zhao, W.C. Brittleness evaluation of coal based on statistical damage and energy evolution theory. J. Pet. Sci. Eng. 2019, 172, 753–763. [Google Scholar] [CrossRef]
- Zhang, D.C.; Ranjith, P.G.; Perera, M.S.A. The brittleness indices used in rock mechanics and their application in shale hydraulic fracturing: A review. J. Pet. Sci. Eng. 2016, 143, 158–170. [Google Scholar] [CrossRef]
- Cipolla, C.L.; Warpinski, N.R.; Mayerhofer, M.J.; Lolon, E.P.; Vincent, M.C. The relationship between fracture complexity, reservoir properties, and fracture treatment design. SPE Prod. Oper. 2010, 25, 438–452. [Google Scholar] [CrossRef]
- Zhou, X.G.; Liu, H.M.; Guo, Y.T.; Wang, L.; Hou, Z.K.; Deng, P. An evaluation method of brittleness characteristics of shale based on the unloading experiment. Energies 2019, 12, 1779. [Google Scholar] [CrossRef]
- Gholami, R.; Rasouli, V.; Sarmadivaleh, M.; Minaeian, V.; Fakhari, N. Brittleness of gas shale reservoirs: A case study from the north Perth basin, Australia. J. Nat. Gas Sci. Eng. 2016, 33, 1244–1259. [Google Scholar] [CrossRef]
- Liu, P.; Ju, Y.; Ranjith, P.G.; Zheng, Z.M.; Chen, J.L. Experimental investigation of the effects of heterogeneity and geostress difference on the 3D growth and distribution of hydro fracturing cracks in unconventional reservoir rocks. J. Nat. Gas Sci. Eng. 2016, 35, 541–554. [Google Scholar] [CrossRef]
- Kivi, I.R.; Ameri, M.; Molladavoodi, H. Shale brittleness evaluation based on energy balance analysis of stress-strain curves. J. Pet. Sci. Eng. 2018, 167, 1–19. [Google Scholar] [CrossRef]
- Jarvie, D.M.; Hill, R.J.; Ruble, T.E.; Pollastro, R.M. Unconventional shale-gas systems: The mississippian Barnett Shale of north-central Texas as one model for thermogenic shale-gas assessment. AAPG Bull. 2007, 91, 475–499. [Google Scholar] [CrossRef]
- Wang, F.P.; Gale, J.F.W. Screening criteria for shale-gas systems. Gulf Coast Assoc. Geol. Soc. Trans. 2009, 59, 779–793. [Google Scholar]
- Jin, X.C.; Shah, S.N.; Roegiers, J.C.; Zhang, B. An integrated petrophysics and geomechanics approach for fracability evaluation in shale reservoirs. SPE J. 2015, 20, 518–526. [Google Scholar] [CrossRef]
- Rybacki, E.; Meier, T.; Dresen, G. What controls the mechanical properties of shale rocks? -Part II: Brittleness. J. Pet. Sci. Eng. 2016, 144, 39–58. [Google Scholar] [CrossRef]
- Rickman, R.; Mullen, M.J.; Petre, J.E.; Grieser, W.V.; Kundert, D. A practical use of shale petrophysics for stimulation design optimization: All shale plays are not clones of the Barnett Shale. In Proceedings of the SPE annual technical conference and exhibition, Denver, CO, USA, 21–24 September 2008. [Google Scholar]
- Hucka, V.; Das, B. Brittleness determination of rocks by different methods. Int. J. Rock Mech. Min. Sci. Geomech. Abstr. 1974, 17, 389–392. [Google Scholar] [CrossRef]
- Glenn, L.A. Brittle failure of rock materials: Test results and constitutive models. Appl. Mech. Rev. 1997, 50, B17. [Google Scholar]
- Altindag, R. The evaluation of rock brittleness concept on rotary blast hole drills. J. South. Afr. Inst. Min. Metall. 2002, 102, 61–66. [Google Scholar]
- Xia, Y.J.; Li, L.C.; Tang, C.A.; Li, X.Y.; Ma, A.; Li, M. A new method to evaluate rock mass brittleness based on stress-strain curves of class I. Rock Mech. Rock Eng. 2017, 50, 1123–1139. [Google Scholar] [CrossRef]
- Bishop, A.W. Progressive failure with special reference to the mechanism causing it. Proc. Geotech. Conf. Oslo 1967, 2, 142–150. [Google Scholar]
- Meng, F.Z.; Zhou, H.; Zhang, C.Q.; Xu, R.C.; Lu, J.J. Evaluation methodology of brittleness of rock based on post-peak stress–strain curves. Rock Mech. Rock Eng. 2015, 48, 1787–1805. [Google Scholar] [CrossRef]
- Zhang, J.; Ai, C.; Li, Y.W.; Che, M.G.; Gao, R.; Zeng, J. Energy-based brittleness index and acoustic emission characteristics of anisotropic coal under triaxial stress condition. Rock Mech. Rock Eng. 2018, 51, 3343–3360. [Google Scholar] [CrossRef]
- Ai, C.; Zhang, J.; Li, Y.W.; Zeng, J.; Yang, X.L.; Wang, J.G. Estimation criteria for rock brittleness based on energy analysis during the rupturing process. Rock Mech. Rock Eng. 2016, 49, 4681–4698. [Google Scholar] [CrossRef]
- Munoz, H.; Taheri, A.; Chanda, E.K. Rock drilling performance evaluation by an energy dissipation based rock brittleness index. Rock Mech. Rock Eng. 2016, 49, 3343–3355. [Google Scholar] [CrossRef]
- Tarasov, B.; Potvinb, Y. Universal criteria for rock brittleness estimation under triaxial compression. Int. J. Rock. Mech. Min. Sci. 2013, 59, 57–69. [Google Scholar] [CrossRef]
- Guo, Z.; Chapman, M.; Li, X. Exploring the effect of fractures and micro-structure on brittleness index in the Barnett Shale. In SEG Technical Program Expanded Abstracts; Society of Exploration Geophysicists: Tulsa, OK, USA, 2012; pp. 1–5. [Google Scholar]
- Chen, J.; Zhang, G.; Chen, H.; Yin, X. The construction of shale rock physics effective model and prediction of rock brittleness. In SEG Technical Program Expanded Abstracts 2014; Society of Exploration Geophysicists: Tulsa, OK, USA, 2014; pp. 2861–2865. [Google Scholar]
- Perez Altamar, R.; Marfurt, K. Mineralogy-based brittleness prediction from surface seismic data: Application to the Barnett Shale. Interpretation 2014, 2, 1–17. [Google Scholar] [CrossRef]
- Lai, J.; Wang, G.W.; Huang, L.X.; Li, W.L.; Ran, Y.; Wang, D.; Zhou, Z.L.; Chen, J. Brittleness index estimation in a tight shaly sandstone reservoir using well logs. J. Nat. Gas Sci. Eng. 2015, 27, 1536–1545. [Google Scholar] [CrossRef]
- Guo, T.K.; Zhang, S.C.; Ge, H.K.; Wang, X.Q.; Lei, X.; Xiao, B. A new method for evaluation of fracture network formation capacity of rock. Fuel 2015, 140, 778–787. [Google Scholar] [CrossRef]
- Huang, X.R.; Huang, J.P.; Li, Z.C.; Yang, Q.Y.; Sun, Q.X.; Cui, W. Brittleness index and seismic rock physics model for anisotropic tight-oil sandstone reservoirs. Appl. Geophys. 2015, 12, 11–22. [Google Scholar] [CrossRef]
- Honda, H.; Sanada, Y. Hardness of coal. Fuel 1956, 35, 451–461. [Google Scholar]
- Tarasov, B.G. Experimental evidences of dramatic embrittlement of hard rocks due to rising confining pressure at triaxial compression. In 12th ISRM Congress; International Society for Rock Mechanics and Rock Engineering: Lisbon, Portugal, 2011; pp. 845–849. [Google Scholar]
- Xie, H.P.; Li, L.Y.; Peng, R.D.; Ju, Y. Energy analysis and criteria for structural failure of rocks. J. Rock Mech. Geo. Eng. 2009, 1, 11–20. [Google Scholar] [CrossRef]
- Munoz, H.; Taheri, A.; Chanda, E.K. Fracture energy-based brittleness index development and brittleness quantification by pre-peak strength parameters in rock uniaxial compression. Rock Mech. Rock Eng. 2016, 49, 4587–4606. [Google Scholar] [CrossRef]
- You, M.Q.; Su, C.D. Experimental study on strengthening of marble specimen in cyclic loading of uniaxial or pseudo-triaxial compression. Acta Mech. Solida Sin. Chin. Ed. 2008, 29, 66–72. (In Chinese) [Google Scholar]
- Peng, R.D.; Ju, Y.; Wang, J.G.; Xie, H.P.; Gao, F.; Mao, L.T. Energy dissipation and release during coal failure under conventional triaxial compression. Rock Mech. Rock Eng. 2015, 48, 509–526. [Google Scholar] [CrossRef]
- Xue, Y.; Gao, F.; Teng, T.; Xing, Y. Effect of gas pressure on rock burst proneness indexes and energy dissipation of coal samples. Geotech. Geol. Eng. 2016, 34, 1737–1748. [Google Scholar] [CrossRef]
- Labuz, J.F.; Biolzi, L. Class I vs Class II stability: A demonstration of size effect. Int. J. Rock Mech. Min. Sci. 1991, 28, 199–205. [Google Scholar] [CrossRef]
- Mitri, H.S.; Tang, B.; Simon, R. FE modelling of mining-induced energy release and storage rates. J. South. Afr. Inst. Min. Metall. 1999, 99, 103–110. [Google Scholar]
- Chen, Z.Q.; He, C.; Ma, G.Y.; Xu, G.W.; Ma, C.C. Energy damage evolution mechanism of rock and its application to brittleness evaluation. Rock Mech. Rock Eng. 2019, 52, 1265–1274. [Google Scholar] [CrossRef]
- Xia, Y.J.; Li, L.C.; Tang, C.A.; Bao, C.Y.; Li, A.S.; Huang, B. Experiment and numerical research on failure characteristic and brittleness index for reservoir sandstone. Chin. J. Rock Mech. Eng. 2017, 36, 10–28. (In Chinese) [Google Scholar]
- Tang, C.A.; Kaiser, P.K. Numerical simulation of cumulative damage and seismic energy release during brittle rock failure—Part I: Fundamentals. Int. J. Rock Mech. Min. Sci. 1998, 35, 113–121. [Google Scholar] [CrossRef]
- Li, L.C.; Tang, C.A.; Li, G.; Wang, S.Y.; Liang, Z.Z.; Zhang, Y.B. Numerical simulation of 3D hydraulic fracturing based on an improved flow-stress-damage model and a parallel FEM technique. Rock Mech. Rock Eng. 2012, 45, 801–818. [Google Scholar] [CrossRef]
- Li, T.J.; Li, L.C.; Tang, C.A.; Zhang, Z.L.; Li, M.; Zhang, L.Y.; Li, A.S. A coupled hydraulic-mechanical-damage geotechnical model for simulation of fracture propagation in geological media during hydraulic fracturing. J. Pet. Sci. Eng. 2019, 173, 1390–1416. [Google Scholar] [CrossRef]
- Li, Z.C.; Li, L.C.; Li, M.; Zhang, L.Y.; Zhang, Z.L.; Huang, B.; Tang, C.A. A numerical investigation on the effects of rock brittleness on the hydraulic fractures in the shale reservoir. J. Nat. Gas Sci. Eng. 2018, 50, 22–32. [Google Scholar] [CrossRef]
- Ju, Y.; Liu, P.; Chen, J.L.; Yang, Y.M.; Ranjith, P.G. CDEM-based analysis of the 3D initiation and propagation of hydrofracturing cracks in heterogeneous glutenites. J. Nat. Gas Sci. Eng. 2016, 35, 614–623. [Google Scholar] [CrossRef]
- Liu, X.J.; Xiong, J.; Liang, L.X.; You, X.C. Rock mechanical characteristics and fracture propagation mechanism of sandy conglomerate reservoirs in Baikouquan formation of Mahu Sag. Xinjiang Pet. Geol. 2018, 39, 83–91. (In Chinese) [Google Scholar]
- Zhang, L.C.; Lu, S.F.; Xiao, D.S.; Gu, M.W. Characterization of full pore size distribution and its significance to macroscopic physical parameters in tight glutenites. J. Nat. Gas Sci. Eng. 2017, 38, 434–449. [Google Scholar] [CrossRef]
- Wang, W.H.; Sadeghipour, K.; Baran, G. Finite element analysis of the effect of an interphase on toughening of a particle-reinforced polymer composite. Compos. Part A Appl. Sci. Manuf. 2008, 39, 956–964. [Google Scholar] [CrossRef]
- Liu, H.Y.; Lindqvist, P.A.; Akesson, U.; Kou, S.Q.; Lindqvist, J.E. Characterization of rock aggregate breakage properties using realistic texture-based modelling. Int. J. Numer. Anal. Meth. Geomech. 2012, 36, 1280–1302. [Google Scholar] [CrossRef]
- Grassl, P.; Jirásek, M. Meso-scale approach to modelling the fracture process zone of concrete subjected to uniaxial tension. Int. J. Solids Struct. 2010, 47, 957–968. [Google Scholar] [CrossRef]
- Wang, Z.B.; Zuo, J.P.; Liu, C.; Zhang, Z.C.; Han, Y.D. Stress–srain properties and gas permeability evolution of hybrid fiber engineered cementitious composites in the process of compression. Materials 2019, 12, 1382. [Google Scholar] [CrossRef]
- Ju, Y.; Wang, Y.L.; Dong, H.Y.; Yang, Y.M. Numerical analysis of the hydrofracturing behaviour of heterogeneous glutenite considering hydro-mechanical coupling effects based on bonded particle models. Int. J. Num. Anal. Meth. Geomech. 2018, 42, 1493–1515. [Google Scholar] [CrossRef]
- Ju, Y.; Chen, J.L.; Wang, Y.L.; Gao, F.; Xie, H.P. Numerical analysis of hydrofracturing behaviors and mechanisms of heterogeneous reservoir glutenite, using the continuum-based discrete element method while considering hydromechanical coupling and leak-Off effects. J. Geophys. Res. Solid Earth 2018, 123, 3621–3644. [Google Scholar] [CrossRef]
- Chang, X.; Shan, Y.F.; Zhang, Z.H.; Tang, C.A.; Ru, Z.L. Behavior of propagating fracture at bedding interface in layered rocks. Eng. Geol. 2015, 197, 33–41. [Google Scholar] [CrossRef]
- Chang, X.; Wang, J.H.; Tang, C.A.; Ru, Z.L. Effects of interface behavior on fracture spacing in layered rock. Rock Mech. Rock Eng. 2016, 49, 1733–1746. [Google Scholar] [CrossRef]
- Zuo, J.P.; Wang, Z.F.; Zhou, H.W.; Pei, J.L.; Liu, J.F. Failure behavior of a rock-coal-rock combined body with a weak coal interlayer. Int. J. Min. Sci. Technol. 2013, 23, 907–912. [Google Scholar] [CrossRef]
- Liu, L.Y.; Li, L.C.; Elsworth, D.; Zhi, S.; Yu, Y.J. The impact of oriented perforations on fracture propagation and complexity in hydraulic fracturing. Processes 2018, 6, 213. [Google Scholar] [CrossRef]
- Rui, Z.H.; Guo, T.K.; Feng, Q.; Qu, Z.Q.; Qi, N.; Gong, F.C. Influence of gravel on the propagation pattern of hydraulic fracture in the glutenite reservoir. J. Pet. Sci. Eng. 2018, 165, 627–639. [Google Scholar] [CrossRef]
























| Formulation | Remarks | Reference |
|---|---|---|
| = peak strength = peak strain = residual strength = residual strain | Xia et al. [21] | |
| = crack damage stress or yield stress = softening modulus = elastic modulus = yield modulus | Zhang et al. [24] | |
| = rupture energy = consumed elastic energy = dissipated energy of pre-peak stage = total elastic energy | Ai et al. [25] | |
| Kivi et al. [12] | ||
| Munoz et al. [26] | ||
| Tarasov et al. [27] |
| Specimen No. | ||||||||||
|---|---|---|---|---|---|---|---|---|---|---|
| 1 | 0 | 86.02 | 0.406 | 8.57 | 0.651 | 52.05 | 78.11 | 30.37 | −11.62 | 0.106 |
| 2 | 0 | 109.25 | 0.514 | 23.5 | 0.831 | 66.12 | 95.42 | 26.99 | −14.25 | 0.051 |
| 3 | 0 | 90.30 | 0.395 | 12.02 | 0.602 | 67.21 | 71.35 | 30.02 | −18.74 | 0.088 |
| 4 | 0 | 68.65 | 0.461 | 7.68 | 0.873 | 38.03 | 48.23 | 21.49 | −14.05 | 0.105 |
| 5 | 0 | 86.04 | 0.486 | 6.93 | 0.862 | 54.07 | 60.26 | 25.61 | −21.15 | 0.140 |
| 6 | 10 | 141.13 | 0.692 | 46.12 | 1.289 | 70.13 | 102.25 | 27.55 | −15.94 | 0.153 |
| 7 | 15 | 214.37 | 0.865 | 89.09 | 1.773 | 110.14 | 160.43 | 31.85 | −13.80 | 0.157 |
| 8 | 20 | 265.16 | 0.982 | 126.04 | 2.081 | 158.16 | 196.26 | 37.95 | −10.46 | 0.136 |
| Specimen No. | Normalized Brittleness Indexes | |||||||||||||||
|---|---|---|---|---|---|---|---|---|---|---|---|---|---|---|---|---|
| 1 | 0.859 | 1.352 | 1.604 | 0.621 | 0.445 | 1.868 | 0.382 | 0.522 | 0.561 | 0.000 | 0.440 | 0.000 | 0.000 | 0.000 | 0.000 | 0.000 |
| 2 | 0.754 | 0.764 | 1.697 | 0.644 | 0.486 | 1.855 | 0.421 | 0.545 | 0.000 | 0.548 | 0.000 | 0.461 | 0.662 | 0.135 | 0.562 | 0.555 |
| 3 | 0.838 | 0.401 | 1.551 | 0.664 | 0.491 | 1.730 | 0.437 | 0.552 | 0.447 | 0.886 | 0.696 | 0.867 | 0.746 | 0.676 | 0.801 | 0.741 |
| 4 | 0.941 | 0.278 | 1.487 | 0.671 | 0.507 | 1.655 | 0.451 | 0.563 | 1.000 | 1.000 | 1.000 | 1.000 | 1.000 | 1.000 | 1.000 | 1.000 |
| 5 | 0.695 | 0.215 | 1.661 | 0.675 | 0.486 | 1.823 | 0.442 | 0.612 | 1.000 | 1.000 | 1.000 | 1.000 | 1.000 | 1.000 | 1.000 | 1.000 |
| 6 | 0.490 | 0.724 | 1.881 | 0.474 | 0.350 | 2.501 | 0.246 | 0.353 | 0.043 | 0.620 | 0.745 | 0.376 | 0.397 | 0.636 | 0.338 | 0.301 |
| 7 | 0.525 | 0.918 | 2.251 | 0.413 | 0.305 | 3.189 | 0.193 | 0.292 | 0.208 | 0.476 | 0.316 | 0.187 | 0.198 | 0.267 | 0.160 | 0.113 |
| 8 | 0.481 | 1.556 | 2.524 | 0.353 | 0.261 | 3.685 | 0.156 | 0.241 | 0.000 | 0.000 | 0.000 | 0.000 | 0.000 | 0.000 | 0.000 | 0.000 |
| Material | Homogeneity Index () | Residual Strength Coefficient | |||||
|---|---|---|---|---|---|---|---|
| Matrix | 1.65 | 85 | 32 | 0.25 | 5 | 35 | 0.0024 |
| Gravel | 6.0 | 150 | 53 | 0.21 | 6 | 40 | 0.004 |
| Interface | 5.5 | 10 | 5 | 0.30 | 5 | 25 | 0.001 |
| Material | |||||||||
|---|---|---|---|---|---|---|---|---|---|
| Matrix | 73 | 0.381 | 0.635 | 24 | 0.341 | 0.596 | 0.21 | 0.378 | 0.622 |
| 78 | 0.373 | 0.624 | 28 | 0.359 | 0.604 | 0.23 | 0.373 | 0.619 | |
| 85 | 0.369 | 0.617 | 32 | 0.369 | 0.617 | 0.25 | 0.369 | 0.617 | |
| 89 | 0.362 | 0.583 | 36 | 0.373 | 0.619 | 0.27 | 0.364 | 0.614 | |
| 95 | 0.356 | 0.574 | 40 | 0.376 | 0.626 | 0.30 | 0.360 | 0.612 | |
| Gravel | 100 | 0.367 | 0.615 | 47 | 0.365 | 0.613 | 0.17 | 0.368 | 0.616 |
| 125 | 0.367 | 0.615 | 50 | 0.367 | 0.615 | 0.19 | 0.368 | 0.616 | |
| 150 | 0.369 | 0.617 | 53 | 0.369 | 0.617 | 0.21 | 0.369 | 0.617 | |
| 175 | 0.368 | 0.616 | 56 | 0.370 | 0.619 | 0.23 | 0.368 | 0.616 | |
| 200 | 0.368 | 0.616 | 60 | 0.372 | 0.620 | 0.25 | 0.368 | 0.616 |
| Brittleness Index | Gravel Size (mm) | Volume Content | |||
|---|---|---|---|---|---|
| 0% | 10% | 30% | 50% | ||
| 2.50 | 0.351 | 0.368 | 0.385 | 0.402 | |
| 3.75 | 0.372 | 0.388 | 0.406 | ||
| 5.00 | 0.377 | 0.402 | 0.411 | ||
| 2.50 | 0.604 | 0.613 | 0.624 | 0.635 | |
| 3.75 | 0.617 | 0.627 | 0.638 | ||
| 5.00 | 0.622 | 0.633 | 0.642 | ||
| Case No. | ||||
|---|---|---|---|---|
| 1 | 96.32 | 15.87 | 0.354 | 0.603 |
| 2 | 92.18 | 12.26 | 0.365 | 0.612 |
| 3 | 95.42 | 10.13 | 0.374 | 0.623 |
| 4 | 93.33 | 8.44 | 0.387 | 0.637 |
| 5 | 94.85 | 7.18 | 0.401 | 0.656 |
© 2019 by the authors. Licensee MDPI, Basel, Switzerland. This article is an open access article distributed under the terms and conditions of the Creative Commons Attribution (CC BY) license (http://creativecommons.org/licenses/by/4.0/).
Share and Cite
Li, L.; Zhai, M.; Zhang, L.; Zhang, Z.; Huang, B.; Li, A.; Zuo, J.; Zhang, Q. Brittleness Evaluation of Glutenite Based On Energy Balance and Damage Evolution. Energies 2019, 12, 3421. https://doi.org/10.3390/en12183421
Li L, Zhai M, Zhang L, Zhang Z, Huang B, Li A, Zuo J, Zhang Q. Brittleness Evaluation of Glutenite Based On Energy Balance and Damage Evolution. Energies. 2019; 12(18):3421. https://doi.org/10.3390/en12183421
Chicago/Turabian StyleLi, Lianchong, Mingyang Zhai, Liaoyuan Zhang, Zilin Zhang, Bo Huang, Aishan Li, Jiaqiang Zuo, and Quansheng Zhang. 2019. "Brittleness Evaluation of Glutenite Based On Energy Balance and Damage Evolution" Energies 12, no. 18: 3421. https://doi.org/10.3390/en12183421
APA StyleLi, L., Zhai, M., Zhang, L., Zhang, Z., Huang, B., Li, A., Zuo, J., & Zhang, Q. (2019). Brittleness Evaluation of Glutenite Based On Energy Balance and Damage Evolution. Energies, 12(18), 3421. https://doi.org/10.3390/en12183421

