Study on Riblet Drag Reduction Considering the Effect of Sweep Angle
Abstract
1. Introduction
2. Riblet Effect in a Channel with an Inclined Angle
2.1. Computational Methods
2.2. Computation Settings for a Channel with Riblets
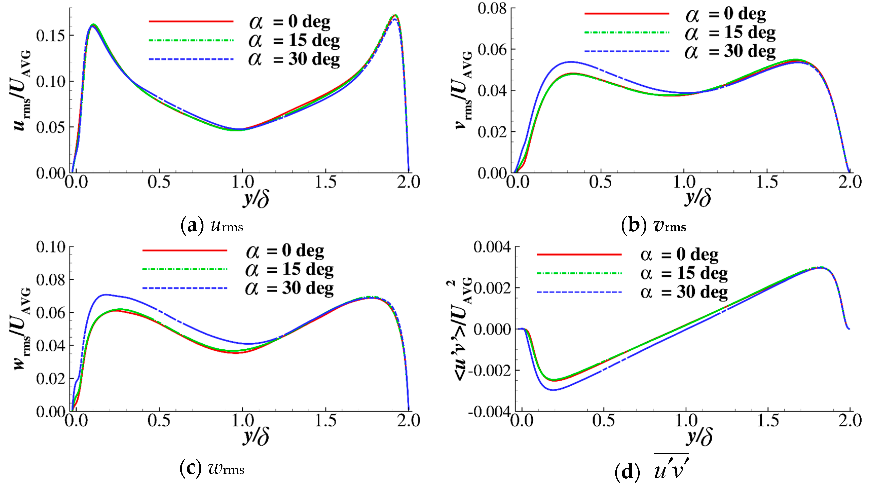
2.3. Riblet Drag Reduction Effect under an Inclined Angle
3. Effect of Riblets on an Infinite Swept Wing
3.1. Computational Settings
3.2. Aerodynamic Coefficients of the Swept Wing with Riblets
3.3. Flow Characteristics of the Riblets Covered Wing
4. Conclusions
Author Contributions
Funding
Conflicts of Interest
References
- Strang, W.J.; Mckinlay, R.M. Concorde in service. Aeronaut. J. 1979, 83, 39–52. [Google Scholar]
- Van Dam, C. Recent experience with different methods of drag prediction. Prog. Aerosp. Sci. 1999, 35, 751–798. [Google Scholar] [CrossRef]
- Heinemann, P.; Panagiotou, P.; Vratny, P.; Kaiser, S.; Hornung, M.; Yakinthos, K. Advanced Tube and Wing Aircraft for Year 2050 Timeframe. In Proceedings of the 55th AIAA Aerospace Sciences Meeting, Grapevine, TX, USA, 9–13 January 2017. AIAA Paper 2017-1390. [Google Scholar]
- Yamazaki, W.; Matsushima, K.; Nakahashi, K. Drag Decomposition-Based Adaptive Mesh Refinement. J. Aircr. 2007, 44, 1896–1905. [Google Scholar] [CrossRef]
- Zhang, Y.; Chen, H.; Fu, S.; Dong, W. Numerical study of an airfoil with riblets installed based on large eddy simulation. Aerosp. Sci. Technol. 2018, 78, 661–670. [Google Scholar] [CrossRef]
- McLean, J.D.; George-Falvy, D.N.; Sullivan, P.P. Flight-test of turbulent skin-friction reduction by riblets. In Proceedings of the International Conference on Turbulent Drag Reduction by Passive Means, London, UK, 15–17 September 1987. [Google Scholar]
- Dean, B.; Bhushan, B. Shark-skin surfaces for fluid-drag reduction in turbulent flow: A review. Philos. Trans. R. Soc. A 2012, 368, 4775–4806. [Google Scholar] [CrossRef] [PubMed]
- Bechert, D.W.; Bruse, M.; Hage, W.; Meyer, R. Fluid Mechanics of Biological Surfaces and their Technological Application. Naturwissenschaften 2000, 87, 157–171. [Google Scholar] [CrossRef] [PubMed]
- Walsh, M.J. Riblets as a Viscous Drag Reduction Technique. AIAA J. 1983, 21, 485–486. [Google Scholar] [CrossRef]
- Choi, H.; Moin, P.; Kim, J. Direct numerical simulation of turbulent flow over riblets. J. Fluid Mech. 1993, 255, 503. [Google Scholar] [CrossRef]
- Bechert, D.W.; Bartenwerfer, M. The viscous flow on surfaces with longitudinal ribs. J. Fluid Mech. 1989, 206, 105. [Google Scholar] [CrossRef]
- Luchini, P.; Manzo, F.; Pozzi, A. Resistance of a grooved surface to parallel flow and cross-flow. J. Fluid Mech. Digit. Arch. 1991, 228, 87. [Google Scholar] [CrossRef]
- Bechert, D.W.; Bruse, M.; Hage, W.; Van Der Hoeven, J.G.T.; Hoppe, G. Experiments on drag-reducing surfaces and their optimization with an adjustable geometry. J. Fluid Mech. 1997, 338, 59–87. [Google Scholar] [CrossRef]
- Goldstein, D.; Handler, R.; Sirovich, L. Direct numerical simulation of turbulent flow over a modeled riblet covered surface. J. Fluid Mech. 1995, 302, 333. [Google Scholar] [CrossRef]
- Krieger, V.; Perić, R.; Jovanović, J.; Lienhart, H.; Delgado, A. Toward design of the antiturbulence surface exhibiting maximum drag reduction effect. J. Fluid Mech. 2018, 850, 262–303. [Google Scholar] [CrossRef]
- Strand, J.S.; Goldstein, D.B. Direct numerical simulations of riblets to constrain the growth of turbulent spots. J. Fluid Mech. 2011, 668, 267–292. [Google Scholar] [CrossRef]
- Walsh, M.J.; Lindemann, A.M. Optimization and Application of Riblets for Turbulent Drag Reduction. In Proceedings of the 22nd Aerospace Sciences Meeting, Reno, NV, USA, 9–12 January 1984. AIAA Paper 1984-0347. [Google Scholar]
- Saravi, S.S.; Cheng, K. A review of drag reduction by riblets and micro-textures in the turbulent boundary layers. Eur. Sci. J. 2013, 33, 62–81. [Google Scholar]
- Viswanath, P.R. Aircraft viscous drag reduction using riblets. Prog. Aerosp. Sci. 2002, 38, 571–600. [Google Scholar] [CrossRef]
- Sundaram, S.; Viswanath, P.R.; Subaschandar, N. Viscous drag reduction using riblets on a swept wing. AIAA J. 1999, 37, 851–856. [Google Scholar] [CrossRef]
- Benschop, H.; Breugem, W.-P. Drag reduction by herringbone riblet texture in direct numerical simulations of turbulent channel flow. J. Turbul. 2017, 18, 717–759. [Google Scholar] [CrossRef]
- Peet, Y.; Sagaut, P.; Charron, Y. Pressure loss reduction in hydrogen pipelines by surface restructuring. Int. J. Hydrog. Energy 2009, 34, 8964–8973. [Google Scholar] [CrossRef]
- Ghebali, S.; Chernyshenko, S.I.; Leschziner, M.A. Can large-scale oblique undulations on a solid wall reduce the turbulent drag? Phys. Fluids 2017, 29, 105102. [Google Scholar] [CrossRef]
- Kramer, F.; Gruneberger, R.; Thiele, F.H.; Wassen, E. Wavy riblets for turbulent drag reduction. In Proceedings of the 5th Flow Control Conference, Chicago, IL, USA, 28 June–1 July, 2010. AIAA Paper 2010-4583. [Google Scholar]
- Chen, H.; Rao, F.; Shang, X.; Zhang, D.; Hagiwara, I. Biomimetic Drag Reduction Study on Herringbone Riblets of Bird Feather. J. Bionic Eng. 2013, 10, 341–349. [Google Scholar] [CrossRef]
- Lyon, C.A.; Selig, M.S.; Broeren, A.P. Boundary layer trips on airfoils at low Reynolds numbers. In Proceedings of the 35th Aerospace Sciences Meeting and Exhibit, Reno, NV, USA, 6–9 January 1997. AIAA Paper 19970–511. [Google Scholar]
- Li, Z.; Zhang, Y.; Chen, H. A low dissipation numerical scheme for Implicit Large Eddy Simulation. Comput. Fluids 2015, 117, 233–246. [Google Scholar] [CrossRef]
- Aupoix, B.; Pailhas, G.; Houdeville, R. Towards a General Strategy to Model Riblet Effects. AIAA J. 2012, 50, 708–716. [Google Scholar] [CrossRef]
- Zhao, T.; Zhang, Y.; Chen, H.; Chen, Y.; Zhang, M. Supercritical wing design based on airfoil optimization and 2.75D transformation. Aerosp. Sci. Technol. 2016, 56, 168–182. [Google Scholar] [CrossRef]























| Riblets Angle α | Flat Side Friction Drag CD,f or Total Drag CD | Riblets Side Friction Drag CD,f | Riblets Side Pressure Drag CD,p | Riblets Side Total Drag CD | Drag Reduction (%) |
|---|---|---|---|---|---|
| 0° | 0.00820 | 0.00756 | 0.00000 | 0.00756 | 7.8% |
| 15° | 0.00824 | 0.00711 | 0.00060 | 0.00771 | 6.4% |
| 30° | 0.00826 | 0.00606 | 0.00247 | 0.00853 | −3.3% |
| Computation Method | Configuration | Lift Coefficient | Total Drag | Pressure Drag | Friction Drag |
|---|---|---|---|---|---|
| Present computation | Smooth wing | 0.3812 | 0.01230 | 0.00324 | 0.00906 |
| Wing with riblets | 0.4018 | 0.01124 | 0.00400 | 0.00724 | |
| Variation (%) | 5.40% | –8.49% | 23.81% | 20.03% | |
| Estimated from 0° sweep [5] | Smooth wing | 0.4043 | 0.01099 | 0.00231 | 0.00868 |
| Wing with riblets | 0.4163 | 0.00996 | 0.00291 | 0.00705 | |
| Variation (%) | 2.96% | –9.37% | 25.97% | 18.77% |
| x/c | Local Flow Angle (°) |
|---|---|
| 0.3 | –5.7 |
| 0.4 | –3.7 |
| 0.5 | –0.3 |
| 0.6 | 4.2 |
| 0.8 | 11.9 |
| 0.9 | 17.5 |
| 0.97 | 28.8 |
© 2019 by the authors. Licensee MDPI, Basel, Switzerland. This article is an open access article distributed under the terms and conditions of the Creative Commons Attribution (CC BY) license (http://creativecommons.org/licenses/by/4.0/).
Share and Cite
Zhang, Y.; Yin, Y. Study on Riblet Drag Reduction Considering the Effect of Sweep Angle. Energies 2019, 12, 3386. https://doi.org/10.3390/en12173386
Zhang Y, Yin Y. Study on Riblet Drag Reduction Considering the Effect of Sweep Angle. Energies. 2019; 12(17):3386. https://doi.org/10.3390/en12173386
Chicago/Turabian StyleZhang, Yufei, and Yuhui Yin. 2019. "Study on Riblet Drag Reduction Considering the Effect of Sweep Angle" Energies 12, no. 17: 3386. https://doi.org/10.3390/en12173386
APA StyleZhang, Y., & Yin, Y. (2019). Study on Riblet Drag Reduction Considering the Effect of Sweep Angle. Energies, 12(17), 3386. https://doi.org/10.3390/en12173386
